Материал: 755

Внимание! Если размещение файла нарушает Ваши авторские права, то обязательно сообщите нам

 

 

 

 

 

 

 

 

 

11

 

 

 

 

 

 

 

 

 

 

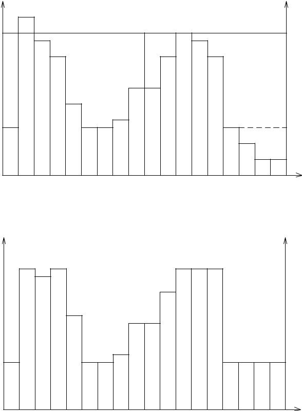
Согласно значениям Ам

строится диаграмма потребностей автобусов по

часам суток.

Строим

диаграмму

потребностей

автобусов

 

по

часам суток

(рис. 2).

 

 

 

 

 

 

 

 

 

 

 

 

 

 

 

 

 

 

 

20

 

 

 

 

 

 

 

 

 

 

 

 

 

 

 

 

 

 

 

19

 

 

 

 

 

 

 

 

 

 

 

 

 

 

 

 

 

 

 

18

 

 

 

+

 

 

 

 

 

 

 

 

+

+

 

 

 

 

2

17

 

 

 

 

 

 

 

 

 

 

 

 

 

 

 

16

 

 

 

+

 

 

 

 

 

 

 

 

 

+

 

 

 

 

4

 

 

 

+

 

 

 

 

 

 

 

 

 

+

 

 

 

 

4

15

 

 

 

 

 

 

 

 

 

 

 

 

 

 

 

 

 

 

 

 

 

 

 

 

 

 

 

 

 

 

 

 

 

 

7

14

 

 

 

 

 

 

 

 

 

 

 

 

 

 

 

 

 

 

 

 

 

 

 

 

 

 

 

 

 

 

 

 

 

 

 

 

7

13

 

 

 

 

 

 

 

 

 

 

 

 

 

 

 

 

 

 

 

 

 

 

 

 

 

 

 

 

 

 

 

 

 

 

 

 

7

12

 

 

 

 

+

 

 

 

 

 

 

 

 

 

 

 

 

 

 

 

 

 

 

 

 

 

 

 

 

 

 

 

 

 

 

7

11

 

 

 

 

 

 

 

 

 

 

 

 

 

 

 

 

 

 

 

 

 

+

 

 

 

 

 

 

 

 

 

 

 

 

 

9

10

 

 

 

 

 

 

 

 

 

 

 

 

 

 

 

 

 

 

 

 

 

+

 

 

 

 

 

 

 

 

 

 

 

 

 

9

9

 

 

 

 

 

 

 

 

 

 

 

 

 

 

 

 

 

8

 

 

 

 

 

 

 

 

 

 

 

 

 

 

 

 

 

 

10

 

 

 

 

 

 

 

 

 

 

 

 

 

 

 

 

 

 

10

7

 

 

 

 

 

 

 

 

 

 

 

 

 

 

 

 

 

 

 

 

 

 

 

 

 

 

 

 

 

 

 

 

 

 

 

 

11

6

 

 

 

 

о

 

 

 

 

 

 

 

 

о

 

+

+

+

 

 

 

 

 

 

 

 

 

 

 

 

 

18

5

 

 

 

 

 

 

 

 

 

 

 

 

 

 

 

 

 

о

 

 

 

 

 

 

 

 

о

 

+

+

+

18

4

 

 

 

 

 

 

 

 

 

 

 

 

 

 

 

 

 

о

 

 

 

 

 

 

 

 

 

 

+

+

18

3

 

 

 

 

 

 

 

 

 

 

 

 

 

 

 

 

 

о

 

 

 

 

 

 

 

 

 

 

 

+

+

18

2

 

 

 

 

 

 

 

 

 

 

 

 

 

 

 

 

 

о

 

 

 

 

 

 

 

 

 

 

 

 

 

18

1

 

 

 

 

 

 

 

 

 

 

 

 

 

 

 

 

 

 

 

о

 

 

 

 

 

 

 

 

 

 

 

 

 

18

6

7

8

9

11

12

13

14

15

16

17

18

20

21

22

 

23

10

19

 

24

 

 

Рис. 2. Диаграмма потребностей автобусов по часам суток

 

 

Строим диаграмму корректировки потребностей в автобусах (рис.3).

18

 

 

 

 

 

 

 

 

 

 

 

 

 

 

 

 

 

 

17

 

 

 

 

 

 

 

 

 

 

 

 

 

 

 

 

 

 

16

 

 

 

 

 

 

 

 

 

 

 

 

 

 

 

 

 

 

15

 

 

 

 

 

 

 

 

 

 

 

 

 

 

 

 

 

 

14

 

 

 

 

 

 

 

 

 

 

 

 

 

 

 

 

 

 

13

 

 

 

 

 

 

 

 

 

 

 

 

 

 

 

 

 

 

12

 

 

 

 

 

 

 

 

 

 

 

 

 

 

 

 

 

 

11

 

 

 

 

 

 

 

 

 

 

 

 

 

 

 

 

 

 

10

 

 

 

 

 

 

 

 

 

 

 

 

 

 

 

 

 

 

9

 

 

 

 

 

 

 

 

 

 

 

 

 

 

 

 

 

 

8

 

 

 

 

 

 

 

 

 

 

 

 

 

 

 

 

 

 

7

 

 

 

 

 

 

 

 

 

 

 

 

 

 

 

 

 

 

6

 

 

 

 

о

 

 

 

 

 

 

 

 

о

 

 

 

 

5

 

 

 

 

 

 

 

 

 

 

 

 

 

 

 

 

 

 

 

 

о

 

 

 

 

 

 

 

 

о

 

 

 

 

4

 

 

 

 

 

 

 

 

 

 

 

 

 

 

 

 

 

 

 

 

о

 

 

 

 

 

 

 

 

 

 

 

 

3

 

 

 

о

 

 

 

 

 

 

 

 

 

 

 

 

 

 

 

 

 

 

 

 

 

 

 

 

 

 

 

 

2

 

 

 

 

 

 

 

 

 

 

 

 

 

 

 

 

 

 

 

о

 

 

 

 

 

 

 

 

 

 

 

 

 

1

 

 

 

 

 

 

 

 

 

 

 

 

 

 

 

 

 

 

 

о

 

 

 

 

 

 

 

 

 

 

 

 

 

6

7

8

9

 

 

 

 

 

 

 

 

 

 

 

 

 

10

11

12

13

14

15

16

17

18

19

20

21

22

23

24

 

Рис.3.

Корректированная диаграмма потребностей в автобусах

 

12

Разработка маршрутного расписания

Маршрутное расписание составляется на основании корректированной диаграммы потребности в автобусах.

 

 

 

 

Таблица 2

 

Маршрутное расписание автобусов

 

 

 

 

 

 

№ выхода

№ смены

начало

Обед (отстой)

окончание

1

1

600

900-1000

1500

2

1500

1800-1830

2400

2

1

600

900-1000

1500

2

1500

1800-1830

2400

3

1

600

900-1000

1500

2

1500

1830-1900

2400

4

1

600

1000-1100

1500

2

1500

1830-1900

2400

5

1

600

1000-1100

1500

2

1500

1900-2000

2400

6

1

600

1000-1100

1500

2

1500

1900-2000

2400

7

1

700

1100-1300

1500

2

1500

-

2000

 

8

1

700

1100-1400

1500

2

1500

-

2000

9

1

700

1100-1400

1500

2

1500

-

2000

10

1

700

1100-1400

1500

2

1500

-

2000

11

1

700

1100-1400

1500

2

1500

-

2000

12

1

700

-

1100

13

1

700

-

1000

14

1

700

-

1000

15

1

700

-

1000

16

1

700

-

1000

17

1

700

-

1000

18

1

700

800-900

1000

13

Минимальное количество автобусов на маршруте определится

Ам min = tоб·60/Jдоп,

где Jдоп – максимальный интервал между автобусами обусловленный временем ожидания гражданина на остановке, Jдоп= 0,33 ч (20 мин);

Ам min = 2,03·60/20 = 6,09;

принимается Ам min = 6 ед. автобусов.

Максимальное количество автобусов на маршруте обуславливается коэффициентом дефицита Kд равным 0,9.

Ам max = Ap max· Kд = 20·0,9 = 18 ед. автобусов.

Площадь диаграммы определяет объем транспортной работы ∑Тм в авто- бусо-часах

∑Тм= 18+18+18+18+18+18+11+10+10+9+9+7+7+7+4+4+2=188 ед.;

Общее количество автобусо-смен по маршруту определится

d = (tоб· Ам max+∑Тм)/Дt,

где Дt – средняя продолжительность автобусо-смены, Дt = 8 ч;

d = (2,03·18+188)/8 = 28,06;

принимается d = 29 ед.

Определение сменности работы автобусов на маршруте

ДАм = d 2·Ам max = 29 2·18 = 7ед.;

Из расчета следует, что

2·Ам max d = 36 – 29 = 7 ед.;

7 автобусов односменные, а 11 автобусов двусменные.

Коррективное значение количества автобусов Ам в часы суток заносится в таблицу 1.

Интервал движения между автобусами по маршруту Ip определяется по формуле

Ip = (tобм)·60, мин.

Коррективные данные Ip заносятся в таблицу 1.

14

Определение основных показателей работы автобусов на маршруте

Коэффициент неравномерности Kt пассажиропотока по часам суток определится

Kt = Qmax/Qср,

где Qmax – максимальное количество пассажиров перевезенных в час пик, чел; Qср – среднее количество пассажиров перевозимых в каждый час суток,

чел;

Qср= Qсущр, чел;

где Qсущ – максимальный объем перевозок за время работы маршрутного автобуса по направлениям, чел;

Тр – время работы маршрутного автобуса, Тр=18 ч; QсрАБ =10000/18=555 чел; QсрБА =8000/18=444 чел;

КtАБ = 1100/555=1,98; КtБА = 880/444=1,98.

Коэффициент неравномерности Кн пассажиропотока по направлениям маршрута определится

Кн = Qсрmax/Qсрmin = ( Qmaxр)/(Qminр) = = (10000/18)/(8000/18) = 1,25;

Эксплуатационная скорость Vэ маршрутного автобуса определится

Vэ = 2·lм/tоб = 2·14/2,03 = 13,79 км/ч.

Скорость сообщения Vс определится

Vс = 2·lм(Tдв+Tоп) = 2·14/(2·14/20+2·0,5·28/60) = 15 км/ч.

Задача 4. Подготовкарефератапопредставленнымтемам

Реферативная работа включает два вопроса.

Номер варианта реферативной контрольной работы определяется по сумме двух последних цифр номера зачетной книжки.

Вариант 1

Вопрос 1. Технико-эксплуатационные показатели работы пассажирского автотранспортного предприятия.

Вопрос 2. Билетная система на автобусном транспорте.

15

Вариант 2

Вопрос 1. Классификация и характеристика пассажирских автомобильных перевозок.

Вопрос 2. Услуги пассажирского транспорта в России.

Вариант 3

Вопрос 1. Преимущества пассажирского автомобильного транспорта. Вопрос 2. Тарифы на автобусном транспорте.

Вариант 4

Вопрос 1. Факторы, определяющие условия эксплуатации подвижного состава.

Вопрос 2. Диспетчерское управление движением легковых таксомоторов.

Вариант 5

Вопрос 1. Требования к водителям (кондукторам). Вопрос 2. Регулярность движения автобусов.

Вариант 6

Вопрос 1. Организация труда водителей (кондукторов).

Вопрос 2. Основы диспетчерского управления движением автобусов.

Вариант 7

Вопрос 1. Характеристика показателей парка автобусов.

Вопрос 2. Особенности работы маршрутных таксомоторов. Таксомоторные стоянки.

Вариант 8

Вопрос 1. График работы водителей.

Вопрос 2. Технико-эксплуатационные показатели работы таксомоторов.

Вариант 9

Вопрос 1. Классификация автобусов.

Вопрос 2. Основные правила пользования автобусами междугородных сообщений.

Вариант 10

Вопрос 1. Классификация городских автобусных маршрутов. Вопрос 2. Международные перевозки пассажиров.

Вариант 11

Вопрос 1. Определение потребного числа автобусов.

Вопрос 2. Основные правила перевозки пассажиров в автомобилях-такси.