Материал: 4804

Внимание! Если размещение файла нарушает Ваши авторские права, то обязательно сообщите нам

11

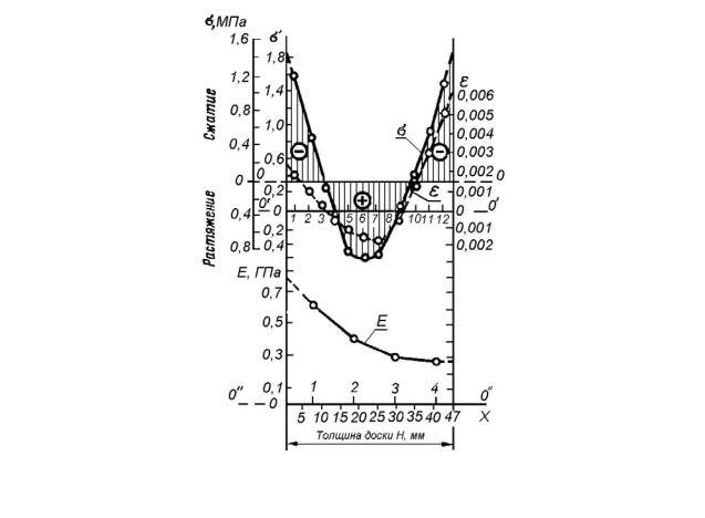
Масштаб принимают следующий: 1 см ординаты соответствует деформации, равной 0,001. Величины деформации со знаком плюс (+) откладывают вниз, а со знаком минус (–) – вверх от горизонтальной оси О'—О'. По полученным точкам строят кривую ε = f1(x).

а

б

Рис. 3. Эпюра напряжений: а – кривые напряжений σ и деформаций ε; б – кривая модуля упругости Е

4.3.2.В нижней части графика (рис. 3, б) на участке горизонтальной оси О"—О", также равном величине Н в масштабе 2 : 1, откладывают значения высоты образцов секции 6, учитывая при этом ширину пропилов. На ординатах, проходящих через точки, соответствующие середине высоты каждого образца (рис. 3,б цифры 1; 2; 3; 4 на оси О" — О"), откладывают значения модуля упру-

гости в масштабе: 1 см соответствует 1·108 Па (1·103 кгс/см2). По полученным точкам строят кривую Е = f2 (x).

4.3.3.По точке пересечения ординаты каждого слоя секции 5 с кривой модуля упругости Е = f2 (x) определяют значение Е для данного слоя. Полу-

ченные значения Е для всех слоев секции 5 заносят в соответствующую графу табл. 2.

4.3.4. Напряжение (σ') в Па (кгс/см2) вычисляют по формуле

12

 

σ′= Е ε , МПа,

(7)

где Е – модуль упругости данного слоя, Па (кгс/см2); ε – деформация слоя.

Вычисление производят с погрешностью не более 5·103 Па (0,05 кгс/см2). Знак напряжений σ' соответствует знаку деформации.

Полученные значения напряжений заносят в табл. 2.

4.3.5. Значения напряжений σ' откладывают (рис. 3, а) на ординатах каждого слоя в зависимости от их знака вверх или вниз от оси О'—О' в масштабе: 1 см соответствует 2·105 Па (2 кгс/см2). По нанесенным на графике точкам строят кривую σ′= f3 (x).

4.3.6. Исходя из условий равновесия напряжений, нулевую линию эпюры переносят из положения О'О' в положение О—О с таким расчетом, чтобы площади эпюры с разными знаками были равны. Площади эпюры измеряют планиметрированием или другим способом с погрешностью не более 1 мм2. Соответственно новому положению нулевой линии переносят и шкалу напряжений. Окончательно величину напряжений а определяют по второй левой шкале (рис. 3, а). Для определения максимальных напряжений по ширине доски необходимо напряжения σ увеличить в 1,3 раза.

4.4.7.Надпись к графику с эпюрой напряжений должна содержать марку пробы, название породы, влажность W1 в момент взятия пробы и влажность W2 после выдерживания.

4.4.8.Допустимая величина остаточных напряжений определяется по

формуле

σдоп = 0,7 σ ,

(8)

где σ – предел прочности на разрыв поперек волокон, МПа.

Выводы

По внешнему виду доски, по значению влажности пиломатериала, измеренному для секции 1, по перепаду влажности по толщине секции 2, а также по величине остаточных внутренних напряжений секции 4 определить категорию качества сушки исследуемого пиломатериала. По эпюре напряжений дать характеристику напряженного состояния древесины.

13

ПРАКТИЧЕСКАЯ РАБОТА № 2

НАГРЕВАНИЕ ДРЕВЕСИНЫ В РАЗЛИЧНЫХ СРЕДАХ

1. Цель работы

Определение температуры в заданных точках нагреваемого сортимента (пластины, цилиндра, куба) и построение расчетных температурных кривых в зависимости от времени нагревания, построения графиков распределения температурного поля по толщине прогреваемого сортимента.

2.Общие положения

Косновным технологическим целям тепловой обработки относятся: снижение твердости древесины (для улучшения качества её механической обработки); повышение податливости древесины (для облегчения её гнутья или прессования) и ускорение процессов склеивания древесины.

Способы тепловой обработки древесины различаются по используемым для этой цели видам теплообмена и по применяемым агентам обработки. Средой для нагревания древесных сортиментов могут служить воздух или его смесь с топочными газами, насыщенный водяной пар, вода. Насыщенный пар и вода имеют при тепловой обработке древесины преимущественное применение. Их использование характеризуется весьма интенсивным поверхностным теплообменом.

Основная задача расчета процессов нагревания древесных сортиментов – установить продолжительность доведения их до заданной температуры или, наоборот, установить температуру материала после обработки в течение заданного времени.

Процессы теплообмена сложны и определяются состоянием среды и характером нагреваемого материала (порода, влажность, температура, направление теплового потока и др.).

Условия нагревания древесины по температурным режимам, размерам и свойствам материала разнообразны. Для унификации решения подобных задач разработаны и применяются обобщенные теплофизические комплексы, называемые критериями теплового подобия.

14

3.Содержание работы

3.1.Теоретическое определение температуры пиломатериалов в заданных точках при нагревании их в горячей воде, воздухом и паром графоаналитическим методом.

3.3.Построение теоретических (расчетных) температурных кривых для заданных точек нагреваемого сортимента в зависимости от времени нагревания

ипостроение графиков (опытных и расчетных) распределения температурного поля по толщине нагреваемого сортимента.

3.4.Сравнение температурных кривых и определение наибольшего отклонения между расчетными данными при нагревании в горячей воде, воздухом и паром.

3.5.Выводы по результатам работы.

4.Исходные данные

Исходные данные для выполнения расчетов:

-порода;

-размеры пиломатериалов (толщина × ширина × длина), размеры круглых лесоматериалов (диаметр, длина);

-начальная влажность W, %;

-продолжительность нагрева, ч;

-координаты расчетных точек;

-температура нагревающей среды, °С;

-начальная температура древесины, °С.

Исходные данные для выполнения расчетов принимают по заданию преподавателя.

5. Определение температуры древесины графоаналитическим методом при нагревании в воде

Нагревание древесины представляет собой типичный нестационарный процесс, при котором температурное поле изменяется во времени.

Задачи расчета процесса нагревания тела сводятся обычно к одной из

15

двух задач:

-определение температуры t, которую будет иметь тело в заданной точке по прошествии времени τ;

-определение времени, необходимого для нагревания тела в точке до заданной температуры.

Связи между искомыми переменными заложены в дифференциальном уравнении теплопроводности.

На практике расчеты нагревания материалов, в том числе и древесины, проводятся графическими методами, основанными на связях между безразмерными величинами (критериями, числами), характерными для данного процесса, вытекающими из решений уравнений теплопроводности.

В условиях интенсивного теплообмена, характерного для нагревания в воде и насыщенном паре, когда (tn = tc) задача по определению температуры по

заданному времени tx = f (τ; x) преобразуется в задачу

 

 

x

 

 

 

x

F = f θ;

 

 

и θ = f F

;

 

 

 

 

o

 

R

 

o

 

R

F =

a τ

, (9)

θ =

tc t x

,

(10)

 

 

o

R2

 

 

tc to

 

 

 

 

 

где F0 критерий Фурье;

θ безразмерная температура;

Rx безразмерная координата точки, в которой определяется темпе-

ратура; х расстояние точки от поверхности сортимента, м;

R радиус цилиндра или половина толщины пластины, м; τ продолжительность нагревания, с;

tо; tc; tx соответственно температура среды, начальная и искомая температура тела, °С.

Для практического решения задачи необходимо располагать данными о теплофизических характеристиках материала, которые связаны между собой соотношением

а =

λ

, м2/с,

(11)

 

 

С ρw