Материал: 4456

Внимание! Если размещение файла нарушает Ваши авторские права, то обязательно сообщите нам

Министерство образования и науки Российской Федерации

Федеральное государственное бюджетное образовательное учреждение высшего образования

«Воронежский государственный лесотехнический университет имени Г.Ф. Морозова»

Научные исследования в автоматизации технологических

процессов и производств

Методические указания

к лабораторным работам для студентов по направлению подготовки

15.04.04 Автоматизация технологических процессов и производств

Воронеж 2018

2

УДК Грибанов, А. А. Научные исследования в автоматизации технологических процес-

сов и производств [Электронный ресурс]: методические указания к лабораторным работам для студентов по направлению подготовки 15.04.04 Автоматизация тех-

нологических процессов и производств / А. А. Грибанов; М-во образования и нау-

ки РФ, ФГБОУ ВО «ВГЛТУ». – Воронеж, 2018. – 28 с.

Печатается по решению учебно-методического совета ФГБОУ ВО «ВГЛТУ»

Рецензент заведующий кафедрой электротехники и автоматики ФГБОУ ВО Воронежский ГАУ д-р техн. наук, проф. Д.Н. Афоничев

Научный редактор д-р техн. наук

Лабораторная работа № 1

Методы описательной статистики в программно-статистическом комплексе Microsoft Excel

3

Цель работы: изучить методы описательной статистики в программно-

статистическом комплексе Microsoft Excel

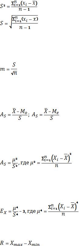
Кописательной статистике могут быть отнесены меры центральной тенденции

имеры вариации.

Выделяют следующие меры центральной тенденции:

Среднее арифметическое:

где i-ое выборочное значение, n – объем выборки.

Медиана является еще одним часто применяемым видом средней. Она особен-

но подходит для описания асимметрично распределенных данных. Медиана бук-

вально означает середину. Медианой будет являться среднее значение набора дан-

ных, упорядоченных по возрастанию. Точнее, медиана это значение, делящее набор данных на две половины, одна из которых состоит из наблюдений больше значения медианы, а другая - из значений меньших медианы.

Если число наблюдений (n) нечетно, средним по порядку будет одно из наблю-

дений.

Если n четно, среднее по порядку попадает между двумя наблюдениями.

Номер среднего по порядку = (n+1)/2/

Мода – значение признака, имеющее наибольшую частоту в статистическом ряду распределения.

Выделяют следующие меры вариации:

Дисперсия и среднее квадратическое отклонение(стандартное отклонение).

Дисперсия и среднее квадратическое отклонение (стандартное отклонение) яв-

ляются показателями разнообразия или разброса значений отдельных наблюдений вокруг среднего значения. Дисперсия представляет собой среднюю суммы квадра-

тов разностей значений каждого наблюдения и средней арифметической. Обычно в формулах она обозначается как s2. Средним квадратическим отклонением (Стан-

дартным отклонением) называется квадратный корень дисперсии. Обычно в форму-

4

лах оно обозначается s. Эти показатели разнообразия подсчитываются по следую-

щим формулам:

Стандартная ошибка (среднего). Стандартная ошибка среднего арифметиче-

ского измеряет изменчивость или отклонение средних значений выборок от средне-

го арифметического генеральной совокупности.

Для характеристики степени асимметрии двух или нескольких рядов пользуют-

ся коэффициентом асимметрии.

Для одновершинных распределений:

Более точным является коэффициент асимметрии, рассчитанный как отноше-

ние центрального момента третьего порядка (μ3) к среднеквадратическому отклоне-

нию в 3-й степени (S3):

Для оценки «крутизны» (островершинности) распределения пользуются харак-

теристикой – эксцессом.

Коэффициент эксцесса:

Размах – разность между максимальным и минимальным значениями выбо-

рочной совокупности.

ИНСТРУМЕНТ АНАЛИЗА «ОПИСАТЕЛЬНАЯ СТАТИСТИКА»

5

Инструмент анализа «Описательная статистика» применяется для создания од-

номерного статистического отчета, содержащего информацию о центральной тен-

денции и изменчивости входных данных.

Рисунок 1 – Анализ данных

Для использования инструмента «Описательная статистика» необходимо в MS Excel, на вкладке «Данные» выбрать «Анализ данных» (см. рисунок 1).

Воткрывшемся окне выбрать Описательная статистика и нажать «Ok».

Воткрывшемся диалоговом окне «Описательная статистика» представлены следующие поля (рисунок 2):

Рисунок 2 – Диалоговое окно «Описательная статитстика»

Входной интервал Введите ссылку на диапазон, содержащий анализируемые данные. Ссылка должна состоять из двух или более смежных диапазонов данных, в

которых данные расположены по строкам или столбцам.

Группирование В зависимости от расположения данных во входном диапазоне