Материал: 3892

Внимание! Если размещение файла нарушает Ваши авторские права, то обязательно сообщите нам

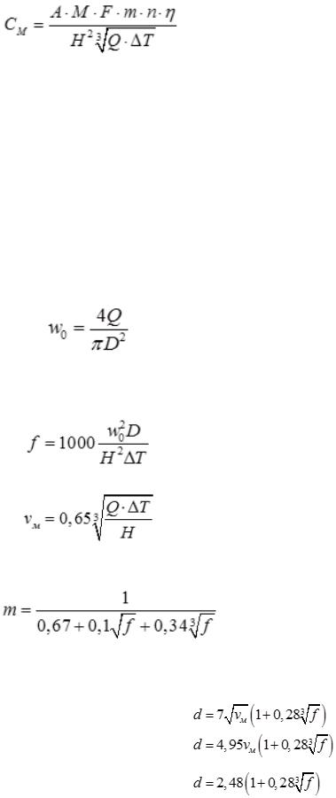
где А ˗ коэффициент, зависящий от температурной стратификации атмосферы и определяющий условия вертикального и горизонтального рассеивания вредных веществ в атмосферном воздухе (для Московского региона равен 140);

F ˗ безразмерный коэффициент, учитывающий скорость оседания вредных веществ в атмосферном воздухе (для газообразных вредных веществ

F = 1);

η ˗ безразмерный коэффициент, учитывающий влияние рельефа местности (в случае ровной местности η=1);

m, n ˗ безразмерные коэффициенты; Для определения См необходимо:

а) рассчитать среднюю линейную скорость w0, м/с, выхода газовоздушной смеси из устья источника выброса:

.

б) значения коэффициентов m и n определить в зависимости от параметров f и Vм:

,

.

в) коэффициент m определить в зависимости от f по формуле:

.

г) коэффициенты n и d для п.2 определить в зависимости от величины

Vм:

при Vм> 2

n = 1

при 0,5 <Vм< 2

n = 0,532 Vм 2 - 2,13 Vм +

 

3,13

при Vм< 0,5

n = 4,4 Vм

16

2. При неблагоприятных метеорологических условиях максимальная приземная концентрация вредных веществ достигается на расстоянии от источника выброса:

Хм = (5 – F) · d · H / 4 м.

Вышеприведенные формулы для расчета СМ и ХМ справедливы при опасной скорости ветра:

uм = 0,5м/с, если Vм<= 0,5 uм = Vм , если 0,5 <vм<= 2

uм = Vм (1+0,12 f ) для нагретых выбросов при Vм> 2.

3. Значения приземных концентраций вредных веществ СХ в атмосфере по оси факела выброса на различных расстояниях от источника выброса при опасной скорости ветра определяется по формуле СХ=S1·CМ, где S1 – безразмерная величина, определяемая в зависимости от соотношения X/XМ.

ПРИ Х/ХМ <=1 S1= 3(Х/ХМ)4 - 8(Х/ХМ)3 + 6(Х/ХМ)2

ПРИ 1<=Х/ХМ <=8 S1 = 1,13 / (0,13(Х/ХМ)2 + 1).

4. Расчет предельно допустимого выброса нагретого вредного вещества (ПДВ) производится по формуле:

Таблица 5 Предельно допустимая концентрация вредного вещества

Наименование

Класс опасности

ПДК, мг/м3

вещества

 

 

 

Азота оксид NO

3

0,6

0,06

Углерода оксид CO

4

5,0

3,0

Азота диоксид NO2

2

0,085

0,04

Серы диоксид SO2

3

0,5

0,05

ПРАКТИЧЕСКАЯ РАБОТА № 4 РАСЧЕТ ПЛАТЫ ЗА ЗАГРЯЗНЕНИЕ АТМОСФЕРЫ

Цель работы: изучить экономические механизмы охраны окружающей среды.

Экономический механизм охраны окружающей среды ˗ совокупность предусмотренных экономических мер обеспечения охраны окружающей среды и рационального природопользования. Основы правового регулирования экономического механизма охраны окружающей среды установлены Законом «Об охране окружающей среды».

17

MЛi˗

Задание 1.Определить размер платежей за загрязнение атмосферного воздуха при сжигании топлива (угля) в котельной, расположенной в городе Центрального экономического района РФ.

Методика расчета платы за загрязнение атмосферного воздуха

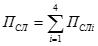
1.Общая плата за выбросы загрязняющих веществ в атмосферу от стационарных источников П, руб./год, определяется по формуле П = (ПН + ПЛ + ПСЛ) ·КИ, где ПН – плата за выбросы загрязняющих веществ в размерах, не превышающих установленных пользователю предельно допустимых нормативов выбросов (ПДВ), руб./год; ПЛ – плата за выбросы загрязняющих веществ в пределах установленных лимитов (временно согласованных выбросов – ВСВ), руб./год; ПСЛ – плата за сверхлимитный выброс ЗВ, руб./год; КИ - коэффициент индексации.

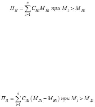
2.Плата за выбросы загрязняющих веществ в размерах, не превышающих ПДВ рассчитывается по формуле:

,

где i - вид загрязняющего вещества (i=1,2, ... , n); MНi˗ предельно допустимый выброс i-гозагрязняющего вещества, т/год; Mi˗ фактический выброс i- гозагрязняющего вещества, т/год; СНi˗ ставка платы за выброс 1 тонны i- гозагрязняющего вещества в пределах ПДВ, руб./т, СНi = Нбi · КЭ · КГ, где НбНi˗ норматив платы за выброс 1 тонны i-гозагрязняющего вещества в пределах ПДВ, руб./т; КЭ – коэффициент экологической ситуации и экологической значимости атмосферы в данном регионе (для Центрального экономического района РФ – 1,9);КГ = 1,2, т.к. выбросы производятся в атмосферный воздух города.

3. Плата за выбросы загрязняющих веществ в пределах установленных лимитов (ВСВ):

,

где выброс i-гозагрязняющего вещества в пределах установленного лимита, т/год; СЛi˗ ставка платы за выброс 1 тонны i- гозагрязняющего вещества в пределах установленного лимита, руб./т, СЛi = НбЛi · КЭ · КГ, где НбЛi˗ норматив платы за выброс 1 тонны i- гозагрязняющего вещества в пределах установленного лимита, руб./т.

4. Плата за сверхлимитный выброс загрязняющих веществ:

.

5. Базовые нормативы платы за негативное воздействие на окружающую среду, утвержденные постановлением Правительства РФ № 410 от 01.07.2005 г., применяются с коэффициентом, учитывающим уровень инфляции (на 2012 год установлен КИ = 1,67).

18

 

 

 

 

 

Таблица 6

Варианты для выполнения задания

 

 

Исходные данные

 

№ варианта к заданию

 

 

 

1

 

2

3

 

4

Масса сожженного топлива,

100

 

150

200

 

250

т/год

 

 

 

 

 

 

Зольность топлива qт, %

39

 

31

11

 

7

Масса загрязняющих

 

 

 

 

 

 

веществ, образующихся при

 

 

 

 

 

 

сгорании 1 т угля, di, кг/т,

 

 

 

 

 

 

d2 - оксидов углерода

19

 

20

21

 

22

d3 - оксидов азота

2,2

 

2,4

2,6

 

2,8

d4 - оксидов серы

48

 

47

46

 

45

Коэффициент k1

0,3

 

0,4

0,5

 

0,6

Коэффициент k2

0,5

 

0,7

0,9

 

0,9

Методика расчетов

1.Учитываемыми загрязняющими веществами при определении размера платежей за загрязнение атмосферного воздуха являются: твердые частицы (сажа), оксид углерода (CO), диоксиды азота (NO2) и серы (SO2).

2.Определение размера платежей за загрязнение окружающей природной среды начинается с расчета массы валового выброса каждого из загрязняющих веществ (Mi).

Расчет массы валового выброса твердых частиц в дымовых газах котельной, т/год: M1 = qт ·m· f· (1 - ε/100 ),

где qт - зольность топлива, %;

m - масса сожженного топлива, т/год;

f - безразмерный коэффициент (в расчетах принять f = 0,002);

ε - эффективность золоуловителя, % (в расчетах принять ε = 85%).

Для остальных загрязняющих веществ массы выбросов CO, NO2, SO2, образующихся при сгорании 1 т топлива, приведены в таблице исходных

данных.

Валовой выброс i-го загрязняющего вещества, т/год: Mi = di · m · 10-3 , где di – выброс i-гозагрязняющего вещества при сгорании 1 т топлива,

кг/т;

m – масса сожженного топлива, т/год.

3.Нормативы ПДВ рассчитываются по соответствующим методикам. В случае, если значения ПДВ не могут быть достигнуты, предусматривается по согласованию с местными органами охраны природы и санитарного надзора поэтапное снижение выбросов. На каждом этапе устанавливаются временно согласованные выбросы (ВСВ).

В задании для полного выполнения расчета платежей значения ПДВ и ВСВ заданы, исходя из фактических выбросов Mi и коэффициентов k1 и k2: MНi = k1 · Mi, MЛi = k2 · Mi.

19

Расчет платы за выбросы ЗВ свести в таблицу, начерченную согласно образцу.

 

 

 

 

 

 

 

Таблица 7

 

 

 

Загрязняющие вещества

 

 

Сажа

 

CO

 

NO2

 

SO2

Валовый выброс ЗВ Mi, т/год

 

 

 

 

 

 

 

Норматив предельно

 

 

 

 

 

 

 

 

допустимого выброса ПДВ

MHi

 

 

 

 

 

 

 

= k1 · Mi , т/год

 

 

 

 

 

 

 

 

Выброс в пределах

 

 

 

 

 

 

 

 

установленных лимитов MЛi =

 

 

 

 

 

 

 

k2 · Mi , т/год

 

 

 

 

 

 

 

 

Выбросы, не превышающие ПДВ

 

 

 

Базовый норматив платы за 1 т

 

 

 

 

 

 

 

ЗВ HбНi, руб./т

 

 

 

 

 

 

 

 

Ставка платы за выброс 1 т ЗВ

 

 

 

 

 

 

 

СНi = НбНi · КЭ · КГ, руб./т

 

 

 

 

 

 

 

Плата за выброс ПНi = CHi ·

 

 

 

 

 

 

 

MНi, руб./год

 

 

 

 

 

 

 

 

Плата за выброс

 

 

 

 

 

 

 

 

руб./г.

 

 

 

 

 

 

 

 

Выброс в пределах установленных лимитов

 

 

 

Базовый норматив платы за 1 т

 

 

 

 

 

 

 

ЗВ HбЛi, руб./т

 

 

 

 

 

 

 

 

Ставка платы за выброс 1 т ЗВ

 

 

 

 

 

 

 

СЛi = НбЛi · КЭ · КГ, руб./т

 

 

 

 

 

 

 

(МЛi - MНi), т/год

 

 

 

 

 

 

 

 

Плата за выброс ПЛi = CЛi

·

 

 

 

 

 

 

 

(МЛi - MНi), руб./год

 

 

 

 

 

 

 

 

Плата за выброс

 

 

 

 

 

 

 

 

, руб./год

 

 

 

 

 

 

 

 

Сверхлимитный выброс

(Мi - МЛi), т/год

Плата за выброс ПСЛi = 5 СЛi · (Мi - МЛi), руб./год

Плата за выброс руб./год

Общая плата

П = (ПН+ПЛ+ПСЛ)·КИ, руб./год

20