Материал: 3879

Внимание! Если размещение файла нарушает Ваши авторские права, то обязательно сообщите нам

11

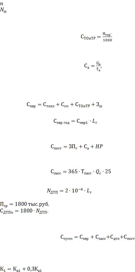
Где: - стоимость одного комплекта шин;

-количество колес на одном автомобиле(без учета запасных);

-норма затрат на восстановление износа и ремонта шин в % от стоимости комплекта шин на 1000 км пробега (для большинства автомобилей составляет

0,89%);

6 Расходы на ТО и ТР (формула 16)

(16)

Расходы на 1 км пробега по амортизации на восстановление подвижного состава определяется по формуле 17.

(17)

где:Hвост – норма отчислений на восстановление автобусов на 1000км пробега в процентах от балансовой стоимости автобуса:

Ца – балансовая стоимость автобуса, руб.

Сумма переменных расходов, . (Формула 18):

(18)

Величина переменных годовых расходов, тыс. руб. (формула 19):

(19)

Постоянные затраты складываются из заработной платы водителей, амортизационных отчислений и накладных расходов (формула 20):

(20)

Стоимость годовых затрат времени пассажиров при стоимости одного пасс-ч в размере 25 руб. определяется по формуле 21.

(21)

Количество ДТП из расчета 2 ДТП на 1 млн. авт. км (формула 22).:

(22)

Потери от ДТП при средней величине удельных потерь от одного ДТП

3) Определяем суммарные эксплуатационные затраты Суммарные эксплуатационные затраты (тыс. руб.) находятся по формуле 23.

(23)

Инвестиции в производственную базу принимаются в размере 30% от стоимости подвижного состава.

Тогда суммарные капитальные затраты составят:

Для Газ 322131:

12

Для ПАЗ 3205:

Приведенные затраты (формула 24):

(24)

4) Определяем годовую экономию приведенных затрат.

Годовая экономия приведенных затрат при эксплуатации автобусов ПАЗ 3205:

Произведенные расчеты отображены в таблице 1:

Таблица 1 – Показатели экономической целесообразности замены микроавтобуса Газ 322132 на автобус ПАЗ 3205

Показатели

Значения показателей для автобусов

п/п

Газ 322131

ПАЗ 3205

 

1

Количество пассажиров перевозимых за сутки, чел.

 

 

2

Вместимость автобусов, чел.

 

 

3

Время работы автобусов на маршруте, ч

 

 

4

Средняя дальность поездки пассажиров на маршруте, км.

 

 

5

Эксплуатационная скорость, км/ч.

 

 

6

Длина рейса, км

 

 

7

Цена автобуса, тыс.руб.

 

 

8

Время оборота автобуса, ч

 

 

9

Количество автобусов на маршруте

 

 

10

Среднее количество пассажиров, перевозимых за сутки

 

 

одним автобусом, чел

 

 

 

 

 

11

Время перемещения пассажиров по маршруту, мин

 

 

12

Интервал движения автобусов, мин

 

 

13

Суммарное время, затрачиваемое пассажирами на поезд-

 

 

ку, мин

 

 

 

 

 

14

Годовой фонд рабочего времени, час

 

 

15

Величина переменных расходов, руб/км

 

 

16

Годовая величина постоянных расходов с учетом зара-

 

 

ботной платы водителей, тыс. р.

 

 

 

 

 

17

Годовой суммарный пробег автобусов, км

 

 

18

Переменные расходы за год, тыс. руб.

 

 

19

Количество дорожно-транспортных происшествий

 

 

20

Потери от ДТП, тыс.руб.

 

 

21

Суммарные эксплуатационные затраты, тыс. руб.

 

 

22

Списочное количество автобусов

 

 

23

Инвестиции в подвижной состав, тыс. руб.

 

 

24

Инвестиции в производственную базу, тыс. руб.

 

 

25

Приведенные затраты, тыс.руб.

 

 

26

Годовая экономия приведенных затрат, тыс. руб.

 

 

На основании произведенных расчетов можно сделать вывод, что использование подвижного состава средней вместимости оптимально скажется на улучшении качества обслуживания пассажиров перевозками, в отличие от подвижного состава малой вместимости. Значительно снижается потребное количество автобусов, водителей, а так же затраты на заработную плату водителей, затраты на топливо, ремонт и эксплуатацию подвижного состава.

Следует отметить, что снижается общая интенсивность движения в горо-

13

де, увеличивается пропускная способность, время сообщения и уменьшаются задержки.

3.Рекомендуемая литература по изучению темы дисциплины из списка: 1, 2, 3.

4.Форма контроля практической работы №2 – проверка заданий само-

стоятельной работы.

5.Форма контроля раздела I – контрольная работа.

Раздел II. Оценка эффективности мероприятий по совершенствованию дорожного движения

ТЕМА 3. ЭКОНОМИЧЕСКАЯ ЭФФЕКТИВНОСТЬ ИНВЕСТИЦИЙ В МЕРОПРИЯТИЯ ПО ПОВЫШЕНИЮ БЕЗОПАСНОСТИ ДОРОЖНОГО ДВИЖЕНИЯ

1. Вопросы для самостоятельного изучения темы

1.Основные понятия об инвестиционной деятельности.

2.Основные принципы определения эффективности инвестиций.

3.Оценка эффективности инвестиционного проекта.

4.Лизинг как вид инвестиционной деятельности.

5.Инновационная деятельность и ее направления в организации дорожного движения.

2. Методические указания и задания для выполнения практической работы

Задание 1. Определение экономической эффективности увеличения

радиуса кривой в плане Исходные данные

На участке автомобильной дороги имелась кривая радиусом R и длиной К (рис. 2). В результате реконструкции радиус кривой был увеличен до Rр, а длина кривой до Кр. Реконструируемый участок дороги имеет протяжность Lp, включая подходы к кривой.

Ширина проезжей части равна 7,5 м. Данных о дорожно-транспортных происшествиях нет. Итоговый коэффициент аварийности был меньше 10. Интенсивность движения в год реконструкции составлял N0 авт/сутки, а ежегодный ее прирост прогнозируется в размере q. Капитальные вложения в реконструкцию участка дороги составили S млн р.

Решение

Экономический эффект может быть получен только в результате снижения потерь от дорожно-транспортных происшествий. Ввиду малого уменьшения общей протяженности дороги текущие транспортные затраты, а также те-

14

кущие затраты ,связанные с затратами времени пассажиров в пути, почти не изменяются и ими можно пренебречь при экономических расчетах.

1.Вычисляем ежегодную интенсивность движения в t-ый год эксплуатации дороги

Nt=N0(1+q)t ,

где t-год эксплуатации дороги (t=1,2,…,n); n-продолжительность расчетного периода.

2. Определяем ежегодные потери от дорожно-транспортных происшествий при влиянии на безопасность движения только расходной ставки потерь от

ДТП для существующего и проектного варианта

 

Ct=365KNtCnt ,

(24)

где K-длина участка дороги в пределах кривой, км;

 

Cnt-расходная ставка потерь от ДТП в первом году эксплуатации дороги (табл.1)

Таблица 1 Значение расходных ставок потерь в зависимости от радиуса кривой

R

100

200

300

400

500

600

700

800

900

1000

Cnt,р/авт·км

1,68

1,08

0,8

0,56

0,4

0,34

0,28

0,22

0,16

0,12

3.Аналогично определяем потери от ДТП на участках подхода к кривой :

L p K

p L p K p

Ct 365 Cnt

Значения расходных ставок при ширине проезжей части 7,5 м для двухполосной дороги равны 0,09 р/авт·км.

Рис. 1. Схема существующего и проектируемого закруглений

4.Определяем ежегодные потери от ДТП на всем протяжении дороги, путем суммирования соответствующих ежегодных потерь на кривой с потерями на подходах к кривой.

5.Рассчитываем для первого года эксплуатации дороги условную годовую экономию (приток денежных средств) :

15

 

Эt=C1 - C2 ,

(25)

где C1 и C2-суммарные потери от ДТП в t-ый год до и после реконструкции участка дороги.

Полученную в первый год эксплуатации дороги годовую экономию необходимо в каждые последующие годы умножать на коэффициент роста (1+0,06)t для учета инфляции в размере 6 % и на (1+q)t для учета роста интенсивности движения.

Расчет показателей эффективности проекта производим в табличной форме (табл. 6) без учета амортизационных отчислений. Дисконтирующий множитель определяется исходя из нормы дисконта =0,15.

3.Рекомендуемая литература по изучению темы дисциплины из списка: 1, 2, 3.

4.Форма контроля практической работы №3 – проверка заданий практической работы.

Практическая работа № 4

ОЦЕНКА ЭФФЕКТИВНОСТИ МЕРОПРИЯТИЙ ПО ПОВЫШЕНИЮ БЕЗОПАСНОСТИ ДОРОЖНОГО ДВИЖЕНИЯ

1. Вопросы для самостоятельного изучения темы

1.Классификация участков концентрации дорожно-транспортных происшествий.

2.Планирование мероприятий по устранению и профилактике возникновения участков концентрации ДТП.

3.Рекомендации по выбору вариантов совершенствования дорожных условий на участках концентрации ДТП, необходимых по критериям безопасности движения для их ликвидации.

4.Выбор мероприятий по устранению и профилактике возникновения мест концентрации ДТП.

Приоритетные мероприятия по профилактике возникновения мест концентрации ДТП на характерных участках дорог.

2. Методические указания и задания для выполнения практической работы

Задание 1. Определение годового экономического эффекта от внедре-

ния автоматизированной системы управления дорожным движением (АСУД)

Исходные данные

В городе установлена автоматизированная система управления дорожным движением, которая обеспечивает регулирование перекрестков. За базу сравнения