Материал: 3879

Внимание! Если размещение файла нарушает Ваши авторские права, то обязательно сообщите нам

6

1.Непосредственно в процессе аудиторных занятий – на лекциях, практических и семинарских занятиях, при выполнении лабораторных работ.

2.В контакте с преподавателем вне рамок расписания – на консультациях по учебным вопросам, в ходе творческих контактов, при ликвидации задолженностей, при выполнении студентом учебных и творческих задач.

Методическое обеспечение самостоятельной работы студентов по дисциплине «Экономическая оценка последствий дорожно-транспортных происшествий» составлено в виде методических указаний, определяющих состав, объем, задания и темы для самостоятельного изучения дисциплины, методические указания по выполнению всех видов самостоятельной работы, предусмотренных в данной дисциплине.

Студентам рекомендуется перед выполнением каждой практической работы изучить теоретические сведения по тематике работы, с целью закрепления понятийного аппарата и методологических основ дисциплины.

Самостоятельная работа студента предусматривает:

- самостоятельное изучение теоретического материала. Используются тексты лекций и рекомендуемая литература. Способствует развитию общекультурных компетенций, в частности, самостоятельному приобретению новых знаний с использованием современных информационных технологий;

- находить и перерабатывать информацию, умению осуществлять литературный поиск в данной области знаний;

- оформление отчетов, подготовку к практическим работам и их за-

щите.

При самостоятельном изучении теоретического материала студентам рекомендуется использовать тексты лекций, основную литература и дополнительную литературу. Данный вид СРС способствует самостоятельному приобретению новых знаний с использованием современных информационных технологий; развитию способности находить и перерабатывать информацию; умению осуществлять литературный поиск в данной области знаний, умению излагать изученный материал в лаконичном виде в форме отчетов, представлять и докладывать результаты работы, умению проводить расчеты и делать выводы

1.2 РЕКОМЕНДАЦИИ ПО ПРИМЕНЕНИЮ УЧЕБНОЙ И УЧЕБНО-МЕТОДИЧЕСКОЙ ЛИТЕРАТУРЫ

Одним из условий успешного обучения в ВУЗе является умение студентов быстро подобрать соответствующую литературу для выполнения учебных заданий и научной работы. Самостоятельная работа с учебниками и книгами (а также самостоятельное теоретическое исследование проблем, обозначенных преподавателем на лекциях) – это важнейшее условие формирования у себя научного способа познания в области изучаемой темы по дисциплине. Основные советы здесь можно свести к следующим:

Составить перечень книг, с которыми Вам следует познакомиться.

Такой перечень должен быть систематизированным (что необходимо для семинаров, что для экзаменов, что пригодится для написания курсовых и

7

дипломных работ, а что Вас интересует за рамками официальной учебной деятельности, то есть что может расширить Вашу общую культуру...).

Обязательно выписывать все выходные данные по каждой книге (при написании курсовых и дипломных работ это позволит очень сэкономить время).

Разобраться для себя, какие книги (или какие главы книг) следует прочитать более внимательно, а какие – просто просмотреть.

При составлении перечней литературы следует посоветоваться с преподавателями и научными руководителями (или даже с более подготовленными и эрудированными сокурсниками), которые помогут Вам лучше сориентироваться, на что стоит обратить большее внимание, а на что вообще не стоит тратить время...

Естественно, все прочитанные книги, учебники и статьи следует конспектировать, но это не означает, что надо конспектировать «все подряд»: можно выписывать кратко основные идеи автора и иногда приводить наиболее яркие и показательные цитаты (с указанием страниц).

Если книга – Ваша собственная, то допускается делать на полях книги краткие пометки или же в конце книги, на пустых страницах просто сделать свой «предметный указатель», где отмечаются наиболее интересные для Вас мысли и обязательно указываются страницы в тексте автора (это очень хороший совет, позволяющий экономить время и быстро находить «избранные» места в самых разных книгах).

Если Вы раньше мало работали с научной литературой, то следует выработать в себе способность «воспринимать» сложные тексты; для этого лучший прием – научиться «читать медленно», когда Вам понятно каждое прочитанное слово (а если слово незнакомое, то либо с помощью словаря, либо с помощью преподавателя обязательно его узнать), и это может занять немалое время (у кого-то – до нескольких недель и даже месяцев); опыт показывает, что после этого студент каким-то «чудом» начинает буквально заглатывать книги и чуть ли не видеть «сквозь обложку», стоящая это работа или нет...

Чтение научного текста является частью познавательной деятельности. Ее цель – извлечение из текста необходимой информации. От того на сколько осознанна читающим собственная внутренняя установка при обращении к печатному слову (найти нужные сведения, усвоить информацию полностью или частично, критически проанализировать материал и т.п.) во многом зависит эффективность осуществляемого действия.

8

2. СОДЕРЖАНИЕ ТЕМ САМОСТОЯТЕЛЬНОЙ РАБОТЫ СТУДЕНТОВ ПО ОСВОЕНИЮ ПРАКТИЧЕСКИХ ЗАНЯТИЙ ДИСЦИПЛИНЫ «ЭКОНОМИКА ДОРОЖНОГО ДВИЖЕНИЯ»

Раздел I . Теоретико-методологические основы экономики дорожного движения

ТЕМА 1. ОСНОВЫ ЭКОНОМИЧЕСКОЙ ОЦЕНКИ ПОСЛЕДСТВИЙ ДОРОЖНО-ТРАНСПОРТНЫХ ПРОИСШЕСТВИЙ

1.Вопросы для самостоятельного изучения темы:

1.Особенности экономики дорожного хозяйства.

2.Система управления дорожным хозяйством.

3.Затраты в сфере организации дорожного движения.

4.Себестоимость автомобильных перевозок

2. Практические задания Задание 1. Технико-экономический расчет по оценке мероприятий с

использованием коэффициента эффективности

Для проведения мероприятий по снижению народнохозяйственных потерь от аварийности по области выделено Sm млн. р. Определить ожидаемое снижение народнохозяйственных потерь по области и эффективность проведения мероприятий, если эти средства (в млн р.) будут распределены следующим образом:

Установка светофорных объектов…………………………..……S1 Установка пешеходных ограждений……………………….….…S2 Строительство подземного пешеходного перехода……….……S3 Строительство пешеходной дорожки или тротуара……………S4 Устройство автобусных остановок типа «карман»…………..…S5 Срок проведения мероприятия Т = 3 года.

Средства по годам распределяются равномерно.

Задание 2. Для разработки более совершенного производства двигателей требуется Кр тыс. руб. Производственные единовременные затраты составят Кпр тыс. руб. Срок службы нового оборудования 5 лет. Удельные текущие издержки неизменны во времени и составляют Ит тыс. руб. Ежегодно завод будет выпускать N тыс. единиц продукции по цене Цтыс. руб.

Необходимо произвести расчет экономических показателей внедрения новой технологии (ЧДД, срок окупаемости, индекс доходности).

По результатам расчетов необходимо сделать вывод.

Пример вывода: Внедрение новой технологии экономически целесообразно. Чистый дисконтированный доход за расчетный период составит 100 тыс. рублей. Срок окупаемости капитальных вложений три года.

3.Рекомендуемая литература по изучению темы дисциплины из списка: 1, 2, 3.

4.Форма контроля практической работы №1 – проверка заданий рабо-

ты

9

ТЕМА 2. ПОТЕРИ ОТ ДТП

1. Вопросы для самостоятельного изучения темы:

1.Структура потерь от дорожно-транспортных происшествий.

2.Потери от вовлечения одного человека в дорожно-транспортное происшествие.

3.Стоимость ущерба от дорожно-транспортных происшествий.

4.Метод непосредственного суммирования потерь от каждого дорожнотранспортного происшествия.

5.Метод, основанный на использовании графиков коэффициентов аварийности.

6.Учет потерь от дорожно-транспортных происшествий через себестоимость автомобильных перевозок.

7.Учет потерь от дорожно-транспортных происшествий при обосновании обходов городов.

8.Определение стоимости ремонта транспортных средств.

2. Практические задания Задание 1. Рассчитать экономическую целесообразность замены подвиж-

ного состава микроавтобусов Газ 322131на ПАЗ 3205. Порядок выполнения работы.

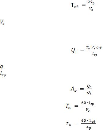
1) Определяем основные показатели по формулам 1-10. Время оборота автобуса находится по формуле 1.

(1)

Где: – длина рейса, км,

– эксплуатационная скорость движения, км/ч Определяем среднее количество пассажиров (формула 2), перевозимых за сутки

одним автобусом при коэффициенте наполнения для автобуса ПАЗ 3205 и 0,8 для микроавтобуса Газ 322131:

(2)

Где: – время работы автобусов на маршруте,

вместимость автобусов, чел.,

средняя дальность поездки пассажира на маршруте, км

Потребное количество автобусов определяется по формуле 3.

(3)

Время перемещения пассажиров по маршруту определяется по формуле 4.

(4)

Интервал движения автобусов (формула 5):

(5)

Суммарное время, затрачиваемое пассажирами на поездку (формула 6):

10

(6)

Годовой фонд рабочего времени рассчитывается по формуле 7.

(7)

Годовой суммарный пробег автобусов определяется по формуле 8.

(8)

Списочное количество автобусов находится по формуле 9.

(9)

Автомобиле – часы за год (формула 10):

(10)

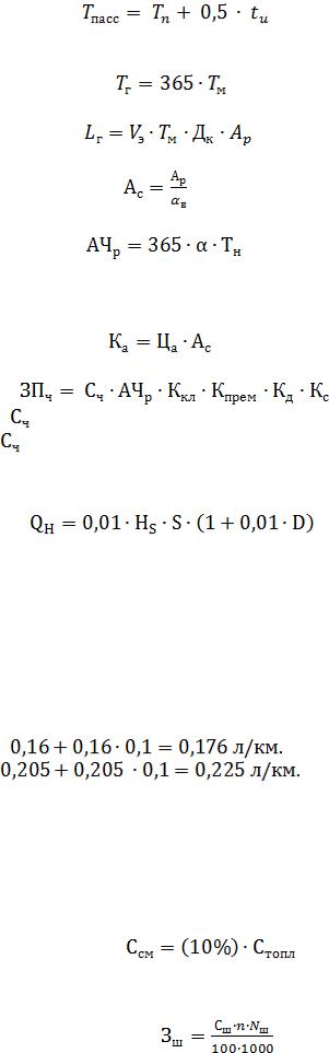
2) Определяем расходы, связанные с эксплуатацией подвижного состава 1 Затраты на покупку подвижного состава определяются по формуле 11:

(11)

2 Заработная плата водителей определяется по тарифным ставкам (формула 12):

(12)

Для Газ 322132: = 69 р. Для ПАЗ 3205: = 77 р.

3 Расходы, затрачиваемые на топливо. Нормативный расход топлива (формула

13):

(13)

где:HS – базовая норма расхода топлива на пробег автобуса, л/100 км;

D – нормативный коэффициент к норме расхода,%; принимается D=10%; S – пробег автобуса, км.

Базовая норма расхода топлива для транспортных средств используемых на маршрутах: марки Газ 322131 составляет 16 л /100 км, а автобусов марки ПАЗ 3205 составляет 20,5 л /100 км бензина соответственно, так как подвижной состав работает в условиях города, то норма расхода топлива увеличивается на

10%.

Для Газ 322131:

Для ПАЗ 3205:

Нормативный расход топлива (л) на 1км:

Расходы, затрачиваемые на топливо за 1 км пробега определим, произведением количества затрат бензина на 1 км , на стоимость 1 литра топлива, руб.

4 Затраты на смазочные и прочие эксплуатационные материалы Затраты на смазочные и прочие эксплуатационные материалы составляют 10% от стоимости топлива, руб.:

(14)

5 Затраты на восстановление и ремонт шин Затраты на восстановление и ремонт шин рассчитываются по формуле 15.

(15)