Материал: 3746

Внимание! Если размещение файла нарушает Ваши авторские права, то обязательно сообщите нам

1.Основные вопросы, которые возникают при описании бизнес-

процессов.

2.Назовите аспекты, которые необходимо учитывать при рациональном выборе методик описания процессов.

3.С какой целью проводится описание бизнес-процессов?

4.Какие вопросы должна освещать модель (нотация) бизнес-

процесса?

5.В чем заключается предназначение нотации ARISеЕРС?

6.Дайте описание объектам, используемым в рамках нотации

ARISеЕРС.

7.Как выглядит простейшая модель ARISеЕРС?

8.Правила описания нотации ARISеЕРС?

9.С какой целью были разработаны нотации IDEFO, IDEF3?

10.Охарактеризуйте объекты нотации IDEFO, IDEF3.

11.Как выглядит модель бизнес процесса в нотациях IDEFO, IDEF3?

12.Проведите сравнительный анализ нотаций ARIS и IDEF.

13.Недостатки описания бизнес-процессов в ARISеЕРС?

14.Проведите сравнение функциональных возможностей систем

ARIS и BPWin.

15.Какие затраты необходимо оценивать при принятии решения о выборе программного продукта для описания бизнес-процессов?

6. Методические указания и практические задания для выполнения деловой игры

6.1 Методические указания для выполнения деловой игры Цель деловой игры: провести моделирование бизнес-процесса.

Задача деловой игры: проанализировать процесс, сформировать укрупненную схему процесса, предложить мероприятия по реорганизации бизнес-процесса, составить перечень показателей оценки процесса, составить перечень контрольных точек, необходимых для измерения показателей.

Состав участников деловой игры:

1.Деловая игра выполняется творческими группами, каждая из которых должна состоять не менее чем из четырех студентов.

2.Состав творческих групп: консультанты по определению показателей бизнес-процессов компании.

В зависимости от общего количества студентов в учебном классе разрешается творческую группу увеличивать или уменьшать не более и не менее чем на одного студента.

6.2 Практические задания для выполнения деловой игры

Подготовительная работа

Студентам предлагается проделать самостоятельную работу по описанию и анализу некоторого процесса, информация о котором представлена ниже.

Для выполнения данного задания требуется:

26

внимательно ознакомиться с описанием процесса, представленным ниже;

последовательно выполнить предлагаемые задания.

Описание процесса

Название процесса: «Процесс изготовления А» (далее — Изделие). УПП выпускается в соответствии с ТУ 12340102035478-01 Конструкция изделия:

1)часть 1 (полуфабрикат);

2)часть 2 (полуфабрикат);

3)часть 3 (полуфабрикат).

Часть 1 крепится к части 3 посредством соединительной части 2 и четырех болтов М2.

Подразделение: Цех № 1 по производству УПП. Численность1: 6 человек, в том числе:

начальник цеха;

4 рабочих;

1 упаковщик.

Численность сотрудников в данном примере не влияет на дальнейшее рассмотрение. Вы можете представить себе, что сотрудников больше, например 250 человек.

Технологический процесс

Технологический процесс изготовления Изделия состоит из следующих операций:

1)получение на складе полуфабрикатов (рабочий 1, 2);

2)изготовление части 1 (рабочий 1);

3)изготовления соединительной части 2 (рабочий 2);

4)изготовления части 3 (рабочий 3);

5)сборки готового Изделия (рабочий 4);

6)контроль продукции в ОТ К (участвует упаковщик);

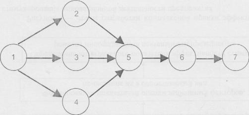
7)сдача готовых изделий на склад готовой продукции (упаковщик). На рисунке 1 показана схема операций технологического процесса.

Рисунок 1 - Схема операций технологического процесса

27

Описание одного типичного рабочего дня Представьте себе, что один из менеджеров предприятия рассказал Вам о процессе на примере описания одного типового рабочего дня. Далее приводится его рассказ.

«...По идее, рабочие должны выходить на работу к 8.00 утра. Однако, поскольку вахтеры являются друзьями данной бригады и часто вместе играют в волейбол, то небольшие опоздания на проходной завода не фиксируются. В среднем, рабочий день начинается в 8.30 утра. Начальник Цеха № 1 появляется на рабочем месте около 9.00 из-за периодически проводимых планерок у руководства, участия в совещании рабочих групп по внедрению стандартов ИСО 9000, моделированию бизнес-процессов, прохождению аттестаций и тому подобных мероприятий.

Далее Начальник идет в ПДУ и получает заявку на производство на текущий день. (Поскольку организация является ориентированной на клиентов, то заявки на производство Изделий корректируются каждый день.)

Далее Начальник Цеха № 1 сверяет данные заявки с журналом, в котором зафиксирован объем производства Изделий, и месячным планом производства, рассчитывает объем производства на текущий день и планирует выпуск Изделий на несколько дней вперед. После этого Начальник Цеха проводит планерку, на которой доводит задание на день до рабочих. В 10.30 утра рабочие приступают к работе.

Рабочие 1—4 получают полуфабрикаты и метизы на складе. Пропускная возможность склада ограничена, поэтому рабочие вынуждены получить полуфабрикаты по очереди. Случаются ситуации, когда на складе отсутствуют полуфабрикаты в нужном количестве, В этом случае рабочие уведомляют Начальника Цеха, который решает вопрос с сотрудниками Отдела снабжения. В случае возникновения каких-либо серьезных проблем с наличием полуфабрикатов Начальник Цеха уведомляет об этом Директора по производству.

Как правило, к 1 1.00 утра рабочие приступают к работе. Рабочий 1 изготавливает части I и передает их Рабочему 4. Рабочий 2 изготавливает соединительные части 2 и передает их Рабочему 4. Рабочий 3 изготавливает части 3 и передает их Рабочему 4. Рабочий 4 осуществляет сборку готовых изделий, укладывает их в коробки и передает упаковщику. Упаковщик вызывает представителей ОТК для отбора выборки и приемки партии изделий.

В процессе работы периодически выходит из строя инструмент. Рабочие сообщают об этом начальнику цеха, который проверяет состояние инструмента, подготавливает и передает заявку на заточку инструмента во вспомогательное подразделение,

ОТК проверяет выборку на соответствие ТУ и готовит сертификат на продукцию, после чего проставляет штамп ОТК в сопроводител ьной документации и разрешает передачу партии Изделий на склад готовой продукции. Получив разрешение от ОТК, упаковщик упаковывает продукцию, оформляет накладные и сдает продукцию на склад. В конце

28

рабочего дня упаковщик отмечает в журнале объем произведенных и сданных на склад изделий.

Впроцессе работы Начальник периодически проверяет расход масла, ветоши и мыла, которые используют рабочие. В случае перерасхода масла или ветоши начальник берет объяснительную с соответствующего рабочего, оформляет дополнительную заявку в Отдел Снабжения, получает визу Директора по производству, получает визу начальника Отдела Снабжения и передает заявку на склад материалов. Рабочие получают дополнительное масло и ветошь на складе. В случае перерасхода мыла дополнительная заявка не требуется. Рабочие получают дополнительное мыло на складе.

Вслучае, если ОТК обнаруживает в выборке отклонения, выходящие за браковочные границы, партия готовых изделий признается несоответствующей и, после специальной маркировки, сдается на склад. Далее Отдел сбыта осуществляет реал изацию этой продукции по сниженным ценам.

Один раз в неделю начальник Цеха №1 отчитывается в устной форме на планерке перед Директором по производству.

Раз в месяц Начальник Цеха № 1 отчитывается перед Директором по производству в письменной форме по следующим показателям:

объем производства изделий за месяц;

общий процент несоответствующих изделий;

количество прогулов.

По итогам отчета Начальника Цеха № 1, Директор по производству принимает решение премировать/депремировать сотрудников Цеха № 1 и дает указание экономисту производства оформить ведомость на начисление заработной платы цеху.

Недавно, в рамках проекта создания процессной модели предприятия, группой консультантов была создана модель процесса, представленная на рисунках 2, 3.

 

Заявка

 

 

Г Л

 

Регламентирующиедокументы

 

напроизводство

 

 

 

 

 

 

 

 

 

Полуфабрикаты

 

 

 

 

 

 

 

 

 

Изделие«А»

 

Процесспроизводстваизделия«А»

 

 

 

 

 

 

 

 

 

 

 

 

...... .......

- ...........................................

 

 

 

 

 

 

 

 

 

Накладные

 

 

 

 

 

 

 

 

 

 

 

Метизы

 

 

 

 

 

 

 

 

 

АО

 

 

 

 

 

 

 

 

 

 

 

 

 

 

 

 

 

 

 

 

 

 

 

 

----------------

 

 

 

 

 

 

 

 

 

Отчетзамесяц

 

 

 

 

 

 

 

 

 

Ь.

 

 

 

 

 

 

 

 

 

 

 

 

^

 

 

 

 

 

 

 

 

 

 

Расходныематериалы

 

 

 

 

 

 

 

 

 

 

- ...............................

 

 

 

 

 

 

 

 

 

 

 

 

 

 

 

 

 

 

 

 

 

 

 

 

 

 

t

k i

 

к J

L J

 

ь.

 

 

 

Начальникцеха

 

 

 

 

 

 

 

Оборудование

 

 

 

 

 

 

 

 

 

 

Рабочие Упаковщик

Рисунок 2 – Контекстная диаграмма процесса

29

Рисунок 3 – Диаграмма процесса в нотации IDEF0

Содержание аналитической записки консультантов

Консультанты решают следующие вопросы:

1.Проанализируйте процесс. Сформируйте укрупненную схему процесса (в MS Word, Visio, BPWin). Составьте перечень возможных проблем, связанных с существующей организацией процесса.

2.Сформулируйте недостатки графической схемы процесса, представленной на рисунках 2, 3.

3.Используя методики процессного управления, предложите мероприятия по реорганизации бизнес-процесса.

4.Составьте перечень показателей оценки процесса, показателей продукта процессами показателей удовлетворенности клиентов процесса.

5.Составьте перечень контрольных точек, необходимых для измерения показателей.

Организационная работа

Преподаватель из числа работников аппарата управления компании (студентов) создает комитет (до 5 человек), который рассматривает на своем заседании аналитическую записку и решает:

а) принять работу консультантов, б) по причине отсутствия важной информации в аналитической записке

отложить рассмотрение вопроса о принятии работы до получения дополнительных сведений от консультантов;

в) отказать в принятии работы, мотивировав отказ. Данная работа рассчитана на 6 часов творческой работы:

-2 часов аудиторных занятий под наблюдением преподавателя,

-4 часа самостоятельной домашней работы.

30