11
Разработка реляционной базы данных в СУБД MS Access
Освоение этапов создания многотабличной базы данных «Учебный Центр».
Создание файла базы данных «Учебный Центр». Создание таблиц «Слушатели» и «Специализации» с помощью конструктора таблиц. Конструирование таблицы «Преподаватели» с использованием мастера. Создание таблицы «Группы» с помощью конструктора таблиц.
Создание логической схемы данных (ER-диаграммы). Установление связей между таблицами.
Определение подстановок для полей таблиц базы данных. Ввод и импорт данных в таблицы БД «Учебный Центр».
Создание простого запроса «Машинопись». Создание параметрических запросов «Слушатели по специализации» и «Справка». Работа с построителем выражений в конструкторе запросов. Создание каскадных запросов. Создание запросов с группировками. Создание перекрестных запросов.
Использование форм и отчетов в СУБД MS Access
Разработка формы для регистрации слушателей при помощи мастера форм. Доработка формы в режиме конструктора, использование в форме специальных управляющих элементов.
Операции над записями в формах. Ввод, копирование, перемещение и удаление записей в форме. Сортировка, поиск и фильтрация данных в форме.
Создание и использование отчетов в базе данных. Автоматическое создание отчета «Машинопись». Автоматическое создание отчета с параметром на основе запроса с параметром «СлушателиПоСпециализации». Создание отчета «Справка» на основе одноименного запроса с помощью конструктора отчетов.
Подготовка сложных отчетов. Создание запросов «СпискиГрупп», «ЧисленностьГрупп», «ДляПриказа» и отчета «Приказ» на их основе. Создание отчета «Приказ» слиянием документа Word с данными из БД «Учебный-Центр», извлеченными запросом «ДляПриказа».
Вариант 1 Разработка реляционной базы данных в СУБД MS Access создания многотабличной базы данных «Учебный Центр ВГЛТА».
Вариант 2. Разработка реляционной базы данных в СУБД MS Access создания многотабличной базы данных «Школьный учебный центр»
Вариант 3. Разработка реляционной базы данных в СУБД MS Access создания многотабличной базы данных «Учебный центр «Рынок труда»
Вариант 4. Разработка реляционной базы данных в СУБД MS Access создания многотабличной базы данных «Банковский учебный центр»
Вариант 5. Разработка реляционной базы данных в СУБД MS Access создания многотабличной базы данных «Учебный центр «Охрана труда»
Вариант 6. Разработка реляционной базы данных в СУБД MS Access создания многотабличной базы данных «Учебный центр «Главный бухгалтер»
12
Вариант 7. Разработка реляционной базы данных в СУБД MS Access создания многотабличной базы данных «Учебный центр «Строительство»
Вариант 8. Разработка реляционной базы данных в СУБД MS Access создания многотабличной базы данных «Учебный центр «Компьютер для начинающих»
Вариант 9. Разработка реляционной базы данных в СУБД MS Access создания многотабличной базы данных «Учебный центр изучения иностранных языков»
Вариант 10. Разработка реляционной базы данных в СУБД MS Access создания многотабличной базы данных «Учебный центр «1-С Предприятие»
6.3. Студентам предлагается следующая тематика эссе:
1.Основные методы количественного моделирования в процессе принятия решений.
2.Инструментальные средства решения типовых задач обработки экономических данных
3.Подготовка материалов для презентации в электронной форме.
4.Средства создания и публикации мультимедийных данных в Интернет.
5.Интернет как среда корпоративного взаимодействия.
7. Рекомендуемая литература по изучению темы дисциплины из списка: 1, 2, 3, 4, 5.
Форма контроля практической работы – индивидуальное задание, эссе.
Практическая работа № 3
Инструментальные методы моделирования задач экономического анализа методами условной и безусловной оптимизации.
1.Целью данной работы является формирование у обучающегося следующих общекультурных компетенций:
- способностью совершенствовать и развивать свой интеллектуальный и общекультурный уровень (ОК-1); - способностью к самостоятельному освоению новых методов
исследования, к изменению научного и научно-производственного профиля своей профессиональной деятельности (ОК-2); - способностью самостоятельно приобретать (в том числе с помощью
информационных технологий) и использовать в практической деятельности новые знания и умения, включая новые области знаний, непосредственно не связанных со сферой деятельности (ОК-3)
2.В результате освоения данной работы студент должен знать задачи, основные направления, информационное обеспечение анализа и
управления затратами и себестоимостью продукции и |
владеть |
13
практическими навыками выявления резервов снижения себестоимости. Для этого он должен анализировать себестоимость по следующим направлениям:
динамика обобщающих показателей; себестоимость единицы продукции; структура затрат и ее динамика; себестоимость продукции по статьям затрат; факторный анализ себестоимости; выявление резервов снижения себестоимости.
3.Основные понятия: издержки, объемы производства и прибыли; прямые и косвенные, переменные и постоянные затраты.
4.Вопросы для обсуждения:
5.Вопросы для самоконтроля:
14
6. Методические указания и практические задания для выполнения самостоятельной работы студентов
6.1 Методические указания к выполнению практической работы
15
6.2 Практические задания для выполнения самостоятельной работы студентов
Вариант 1.
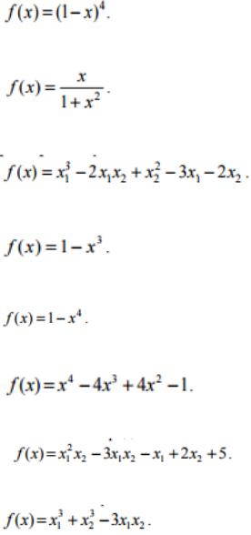
Определить точки локальных и глобальных экстремумов функции
.
Вариант 2.
Определить точки локальных и глобальных экстремумов функции
Вариант 3.
Определить точки локальных и глобальных экстремумов функции
Вариант 4. |
|
|
|
|
Определить |
точки |
локальных |
экстремумов |
функции |
Вариант 5.
Определить точки локальных и глобальных экстремумов функции
Вариант 6.
Определить точки локальных и глобальных экстремумов функции
Вариант 7
Определить точки локальных и глобальных экстремумов функции
Вариант 8. |
|
|
|
|
Определить |
точки |
локальных |
экстремумов |
функции |
Вариант 9. |
|
|
|
|
Определить |
точки |
локальных |
экстремумов |
функции |
Вариант 10. |
|
|
|
|
Определить |
точки |
локальных |
экстремумов |
функции |
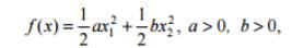
при ограничении 
6.3Студентам предлагается следующая тематика эссе:
1.Моделирование задач экономического анализа методами условной и безусловной оптимизации.