Материал: 3296

Внимание! Если размещение файла нарушает Ваши авторские права, то обязательно сообщите нам

Рисунок 1 - Потоковый граф перевалки грузов с железнодорожного транспорта на автомобильный

-при перегрузке по прямому варианту - П1-3, т;

-при выгрузке груза из вагона на склад - П1-2, т;

-при погрузке груза со склада на автомобиль - П2-3, т.

Вероятность безотказной работы ПРМ - Рм (таблица 1), а вероятность того, что не потребуется перегрузка груза на склад для выполнения технологических операций - Рn (таблица 1).

Таблица 1

Исходные данные к задаче

Разряд

 

 

 

 

Цифра в разряде учебного шифра

 

 

цифры в

Параметры

 

 

 

 

 

 

 

 

 

 

 

шифре

 

1

 

2

3

4

5

6

7

8

9

0

 

 

 

 

 

 

 

 

 

 

 

 

 

 

 

 

1

Суточный грузопоток Q, т

900

 

950

1050

1100

1150

1200

1250

1300

1350

1400

 

 

 

 

 

 

 

 

 

 

 

 

 

 

 

 

 

 

 

 

 

 

 

 

2

Количество груза в одной подаче

260

 

265

270

275

280

285

290

295

300

305

QП, т

 

 

 

 

 

 

 

 

 

 

 

 

 

 

 

 

 

 

 

 

 

 

 

 

 

 

 

 

 

 

 

 

 

 

 

 

 

1

Продолжительность работы

13,5

 

14,2

14,5

14,7

14,9

15,0

13,7

13,9

15,2

15,5

автомобиля t, ч

 

 

 

 

 

 

 

 

 

 

 

 

 

 

 

 

 

 

 

 

 

 

 

 

 

 

2

Грузоподъемность одного

4,5

 

5,0

4,0

6,0

5,0

4,5

6,0

4,5

5,0

6,0

автомобиля qH, т

 

 

 

 

 

 

 

 

 

 

 

 

 

 

 

 

 

 

 

 

 

 

 

 

 

 

 

 

 

 

 

11

 

 

 

 

 

 

 

 

1

 

Перерабатывающая способность

55

57

59

61

62

63

64

62

61

63

 

ПРМ по прямому варианту П1-3, т

 

 

 

 

 

 

 

 

 

 

 

 

 

 

 

 

 

 

 

 

 

 

 

 

 

2

 

Перерабатывающая способность

64

65

66

67

68

66

67

68

65

68

 

ПРМ при выгрузке на склад П1-2, т

 

 

 

 

 

 

 

 

 

 

 

 

 

 

 

 

 

 

 

 

 

 

 

 

 

 

 

 

 

Перерабатывающая способность

50

51

52

53

50,5

52,5

51,5

50,5

53

53,5

1

 

ПРМ при погрузке груза со склада

 

 

 

 

 

 

 

 

 

 

 

 

 

на автомобиль П2-3, т

 

 

 

 

 

 

 

 

 

 

 

 

 

 

 

 

 

 

 

 

 

 

 

2

 

Объем сортировки груза на

3,0

2,5

3,5

4,0

3,7

2,7

3,3

3,8

4,1

4,2

 

складе, %

 

 

 

 

 

 

 

 

 

 

 

 

 

 

 

 

 

 

 

 

 

 

 

 

 

 

 

1

 

Вероятность безотказной работы

0,99

0,92

0,96

0,93

0,91

0,98

0,94

0,97

0,90

0,95

 

ПРМ Рм

 

 

 

 

 

 

 

 

 

 

 

 

 

 

 

 

 

 

 

 

 

 

 

 

 

 

 

Вероятность того, что не

 

 

 

 

 

 

 

 

 

 

2

 

потребуется перегрузка на склад

0,96

0,88

1,00

0,93

0,96

0,90

0,99

0,91

0,95

0,97

 

 

 

 

 

 

 

 

 

 

 

 

 

 

 

 

для выполнения технологических

 

 

 

 

 

 

 

 

 

 

 

 

операций Рп

 

 

 

 

 

 

 

 

 

 

 

 

 

 

 

 

 

 

 

 

 

 

 

 

Примечание. Разряд цифры шифра 1 соответствует последней цифре

шифра, а 2 - предпоследней.

 

 

 

 

 

 

 

 

 

 

 

Объем сортировки груза, проходящего через склад, в % приведен в

таблице 9.

 

 

 

 

 

 

 

 

 

 

 

Решение. В связи с тем, что автотранспорт работает только в течение двух

смен, необходимо установить объем перевалки с железнодорожного транспорта на автомобильный за этот период.

Средняя интенсивность потока подач составляет

λв=Q/QП·Т

(1)

где Т=24 ч - продолжительность работы узла перегрузки.

Средняя интенсивность потока автомобилей определяется по формуле

λа=Q/qн·t (2)

Принятые в формуле обозначения объяснены выше.

Перерабатывающая способность грузового фронта по связям 1-3, 1-2, 2-3 в соответствии с потоковым графом, показанном на рисунке 1, также рассчитываются с учетом продолжительности периода работы автомобильного транспорта.

П'1-3= П1-3·t; П'1-2= П1-2·t; П'2-3= П2-3·t;

где П1-3, П1-2, П2-3 и t даны в задании.

Количество груза, которая поступает на грузовой фронт за время t,

12

Q'= Q· t/Т

Объем перевалки тарно-штучных грузов по прямому варианту в этот период составляет

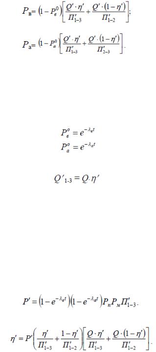
Q'1-3В·Ра·Рп·Рм· П'1-3

где РВ - вероятность нахождения вагонов у грузового фронта; Ра - вероятность нахождения автомобилей у грузового фронта.

Вероятность нахождения вагонов и автомобилей у грузового фронта можно определить по следующим формулам:

В этих формулах η' - доля груза, следующего по прямому варианту за время работы автотранспорта, а Рв и Ра - вероятности того, что на узел перегрузки груза за сутки не прибудет ни одной подачи вагонов, ни одного автомобиля соответственно.

При Пуассоновском потоке подач вагонов и автомобилей

По прямому варианту с железнодорожного транспорта перегружается

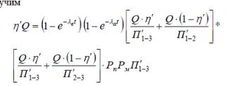
Если в формулу определения объема перевалки тарно-штучных грузов подставить приведенные выше значения Q'1-3 , Рв и Ра, то получим

(3)

Обозначим

Разделим обе части уравнения (3) на Q тогда

13

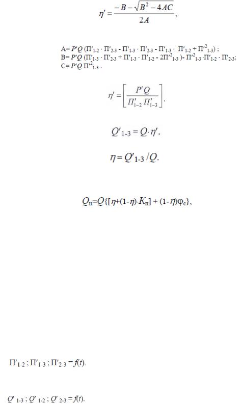
Решив уравнение относительно η' , определим долю грузопереработки по прямому варианту

где А, В, С - коэффициенты, значения которых можно рассчитать:

В частном случае, когда А=0

Таким образом, по прямому варианту будет перегружено

Доля груза, перегружаемая с вагонов в автомобили по прямому варианту

Объем грузопереработки грузового фронта в узле перегрузки грузов с железнодорожного транспорта на автомобильный:

где Кп - количество повторных переработок груза ПРМ при перегрузках его через склад (в данном случае Кп=2).

φс - коэффициент, учитывающий дополнительный объем грузопереработки, вызванный сортировкой, взвешиванием и другими операциями, выполненными с грузом на складе (берется из исходных данных по объему сортировки груза на складе, например: при объеме сортировки груза на складе 3,0%, φс = 0,03 и при 4,2% - φс = 0,042).

По результатам расчета на миллиметровой бумаге в масштабе 1см:100т строятся два потоковых графа:

1.Граф перерабатывающей способности грузового фронта за время работы автомобильного транспорта t

2.Граф грузопереработки грузового фронта в узле перегрузки за то же время t

14

СПИСОК ИСПОЛЬЗУЕМОЙ ЛИТЕРАТУРЫ

Основная литература

1Сервис на транспорте [Текст] : доп. УМО по образованию в обл. трансп. машин и трансп.-технол. комплексов в качестве учеб. пособия / под ред. В. М. Николашина. - 3-е изд., испр. - М. : Академия, 2008. - 272 с.

2Сильянов В. В. Транспортно-эксплуатационные качества автомобильных дорог и городских улиц [Текст] : доп. М-вом образования и науки Рос. Федерации в качестве учеб. / В. В. Сильянов, Э. Р. Домке. - М. :

Академия, 2007. - 352 с.

Дополнительная литература

3 Инженерные сооружения в транспортном строительстве [Текст] : доп.

М-вом образования и науки Рос. Федерации в качестве учеб.: в 2 кн. Кн. 1 /

под ред. П. М. Саламахина;. - М. : Академия, 2007. - 352 с.

4 Инженерные сооружения в транспортном строительстве [Текст] : доп.

М-вом образования и науки Рос. Федерации в качестве учеб. : в 2 кн. Кн. 2 /

под ред. П. М. Саламахина;. - М. : Академия, 2007. - 272 с.

15