Материал: 3. Лекция. Биохимические закономерности переваривание и всасывания липидов

Внимание! Если размещение файла нарушает Ваши авторские права, то обязательно сообщите нам

Гидролиз фосфолипидов осуществляют фосфолипазы А1, А2, С, Д,

выделяемые с панкреатическим соком, которые расщепляют сложно-

эфирные связи фосфолипидов в строго определенных положениях:

Фосфолипаза А1 гидролизует эфирную связь в положении 1.

Фосфолипаза А2 гидролизует эфирную связь в положении 2.

Фосфолипаза С вызывает гидролиз связи между фосфорной кислотой и глицеролом.

Фосфолипаза Д расщепляет эфирную связь между аминоспиртом и фосфорной кислотой.

Места ферментативной атаки различными фосфолипазами (в качестве примера изображена структура фосфатидилхолина – лецитина)

При полном гидролизе фосфатидилхолина образуются глицерол, 2

ВЖК, Н3РО4, аминоспирт.

В поджелудочной железе синтезируется в основном профосфолипаза А2,

которая активируется в полости кишечника путём ограниченного протеолиза, осуществляемого трипсином.

Происходит отщепление от профосфолипазы А2 гептапептида с образованием фосфолипазы А2. Для реакции необходимы соли желчных кислот и Са2+.

Активация профермента фосфолипазы А2 в тонкой кишке трипсином за счет ковалентной модификации путем частичного протеолиза

Фермент отщепляет от ФХ жирную кислоту в β-положении и образуется

поверхностно активное вещество (ПАВ) – лизофосфатидилхолин

(лизолецитин).

Структура лизофосфатидилхолина (лизолецитина)

Существует также фосфолипаза В, которая способна гидролизовать сложно-эфирные связи фосфолипидов как в 1-ом, так и во 2-ом положениях.

Гидролиз эфиров ХС.

Эфиры ХСа (ЭХС) расщепляются на свободный ХС и ВЖК под действием фермента – холестеролэстеразы панкреатического и кишечного соков:

Гидролиз эфиров ХСа

III этап: мицеллообразование

Жёлчные мицеллы (первичные мицеллы) образуются в жёлчном пузыре.

Первичная или простая жёлчная мицелла – это коллоидная частица,

представляющая собой сложный ассоциат, состоящий из желчных кислот,

ФЛ и ХС в соотношении 12,5: 2,5: 1. ХС образует ядро жёлчной мицеллы.

Ядро окружено оболочкой, состоящей из желчных кислот и ФЛ. Своей гидрофобной частью амфифильные жёлчные кислоты и фосфолипиды обращены к ядру, а гидрофильной в окружающую среду.

ФЛ,

ХС

Жёлчные к-ты

Структура первичной желчной мицеллы (простой)

Растворимую форму мицеллы обеспечивают жёлчные кислоты.

Гидрофобные продукты гидролиза (ВЖК, β-МАГ, ДАГ, ХС,

лизофосфолипиды, витамины А, D, Е, К) постепенно поглощаются мицеллами желчи. В результате формируется смешанная мицелла (другое название сложная или вторичная).

ЭХС

ТАГ

ФЛ

 

ВЖК,

Лизо-ФЛ

Хс

β-МАГ,

 

 

ДАГ

 

Схема образования смешанной мицеллы

Структура смешанной мицеллы представляет собой гидрофобное ядро из липидных компонентов: ВЖК, β-МАГ, ДАГ, ХС и жирорастворимых витаминов А, D, Е, К, окруженное гидрофильной оболочкой, состоящей из желчных кислот, лизо-ФЛ и ФЛ. Размер смешанной мицеллы в 100 раз мньше самых мелких эмульгированных жировых капель.

IV этап. Всасывание

Крупные молекулы в полости тонкого кишечника деградируют до более мелких, которые могут проникать в энтероцит. Проникновение мицелл в энтероцит регулируется гликокаликсом, покрывающим апикальную мембрану энтероцитов. Гликокаликс работает по типу кондуктора:

отбрасывает назад в полость крупные гидрофобные молекулы и пропускает мелкие гидрофильные. Продукты ферментативного гидролиза липидов,

которые хорошо растворимы в воде, такие как глицерол, аминоспирты,

фосфорная кислота, жирные кислоты с короткой углеродной цепью (менее 10

атомов углерода), которые свободно всасываются в кишечнике, попадая в энтероцит, а оттуда поступают в кровь воротной вены, а с ней в печень.

Сложная мицелла способна проникать в энтероцит путем мицеллярной простой диффузии без затраты энергии. В энтероците происходит распад сложной мицеллы, при этом желчные кислоты сразу же поступают в кровь и через воротную вену в печень, где снова переходят в состав желчи

(энтерогепатическая циркуляция желчных кислот).

V этап. Процессы, протекающие в энтероците

а) ресинтез липидов в слизистой оболочке тонкой кишки

Процесс синтеза жира в энтероцитах из компонентов мицелл называется ресинтезом жира. В процессе ресинтеза происходит образование липидов,

близких по составу к липидам организма. Ресинтез ТАГ в энтероцитах происходит по β-моноацилглицерольному пути (гладкий эндоплазматический ретикулум) и α-глицерофосфатному пути (шероховатый эндоплазматический ретикулум).

Спирт глицерол в 1-ой и 3-ей позициях этерифицируется преимущественно насыщенными экзогенными ЖК (С8:0 – С24:0), а по 2-ой – моноеновыми ЖК

18:1, С16:1).

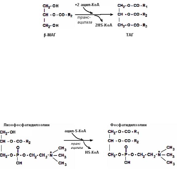
Ресинтез ТАГ по моноацилглицеридному пути

Жирные кислоты приобретают активную форму ацил-КоА и при участии трансацилаз переносятся на β-МАГ.

Ресинтез фосфолипидов

В энтероцитах эссенциальные полиненасыщенные ВЖК преимущественно включаются в ресинтез полярных ФЛ по 2-му положению.

В энтероцит поступают преимущественно лизо-ФЛ, где они этерифицируются эссенциальными полиненасыщенными ВЖК.

Ресинтез фосфолипидов в энтероците (на примере фосфатидилхолина)