Запишіть систему кінетичних рівнянь для будь-якої
трьох-рівневої схеми.
Квантовi переходи мiж енергетичними станами в першо- му наближеннi теорiї збурень можуть описуватися кiнетичними рiвняннями [17]. Також вони отримали назву швидкiсних рiв- нянь, або рiвнянь балансу. За допомогою методу кiнетичних рiвнянь можна вирiшити цiлий ряд завдань: накачування речо- вини в стацiонарному режимi; визначення типiв коливань ла- зерного випромiнювання уздовж поздовжньої осi резонатора; розрахунок ширини лiнiї лазерного випромiнювання; отриман- ня умов для генерацiї лазерiв та динамiку генерацiї гiгантського iмпульсу та iншi. Потрiбно вiдмiтити, що кiнетичнi рiвняння описують змiну в часi середнiх значень кiлькостi квантiв та заселеностей станiв квантових рiвнiв. При аналiзi умов отримання iнверсiйної засе- леностi розглядаються тiльки початковi та кiнцевi стани основ- них квантових переходiв. Кожна зi схем, що розглядається, є спрощенням, яке дозволяє враховувати лише основнi явища.

У трирiвневiй системi можна досягти iнверсiй- ну заселенiсть мiж рiвнями 2 та 1 за умови, що ω32 > ω21 та гу- стина випромiнювання накачування перевищить порогове зна- чення, при якому N2 = N1.
Запишіть систему кінетичних рівнянь для чотирьох рівневої схеми.
У чотирирiвневiй схемi канали генерацiї та накачування повнiстю роздiленi, що дозволяє отримати iнверсiйну заселенiсть при мiнiмальних рiвнях накачування.

Iнверсiйна заселенiсть мiж E3 i E2 досягається, коли ω21ω43 > [ω42(ω31 + ω32) + ω32ω43] g3 g2
За рахунок iнтенсивних вимушених переходiв з випромiнюванням у каналi генерацiї 3 ↔ 2 значення N3 буде зменшуватися, а N2 – зростати, приводячи до насичення коефiцiєнта пiдсилення. Необхiдно зазначити деякi моменти, що належать як до три- рiвневих схем, так i до чотирирiвневих. 1. Для виключення термiчного виродження необхiдно, щоб енергетичнi вiдстанi мiж рiвнями E4 − E3 i E2 − E1 були бiльшi за kT. Однак вони не повиннi бути занадто великими, оскiльки в протилежному випадку бiльша частина енергiї накачування ви- трачатиметься даремно. Це призведе до зменшення ККД у межах η < E3−E2 E4−E1 i розiгрiвання активної речовини, або до випадку коли надлишкова енергiя при релаксацiйних процесах видiлятиметься у виглядi тепла. 2. При оптичному накачуваннi, коли джерело накачування випромiнює в широкiй областi спектра, необхiдно, щоб верхнiй рiвень E4 був достатньо широким. Це необхiдно для бiльш повного використання енергiї накачування. 3. Для виключення самопоглинання, що призводить до переходiв E1 → E2 i E3 → E2, бажано, щоб релаксацiйнi процеси вiдбувалися за рахунок неоптичних безвипромiнювальних переходiв. 4. Час життя на верхньому лазерному рiвнi E3 повинен визначатися випромiнювальними процесами, а ймовiрнiсть безвипромiнювальних переходiв iз цього рiвня має бути мiнiмальною.
Монохроматичнiсть характеризує ступiнь концентрацiї випромiнювання за спектром, або здатнiсть лазера випромiнювати у вузькому дiапазонi частот. Реальне випромiнювання, як правило, є сумою деякої кiлькостi монохроматичних хвиль. Чим вужчий iнтервал, до якого належать частоти спостережуваного випромiнювання, тим воно бiльш монохроматичне.
Для кiлькiсної характеристики ступеня монохроматичностi користуються параметрами, загальною рисою яких є залежнiсть вiд добротностi спектральної моди, що збуджується в резонаторi.
Теоретично межа ширини спектральної лінії визначається :
шумами за рахунок теплового випромінювання в резонаторі (менш суттєві);
шумами за рахунок спонтанного випромінювання активної речовини.
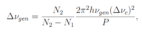
Спектр вихідного випромінювання має лоренцевий контур, а його напівширина визначається формулою Шавалова і Таунса:

Затягування частоти та спектр вихідного випромінювання в одномодовому лазері

Високий ступінь монохроматичності лазерного випромінювання визначає високу спектральну щільність енергії -- високий ступінь концентрації світлової енергії в дуже малому спектральному інтервалі.
Висока монохроматичність полегшує фокусування лазерного випромінювання, оскільки при цьому хроматична аберація лінзи стає неістотною.
Задачі, які вирішуються засобами монохроматичного випромінювання:
дослідження властивостей атмосфери; визначення монохроматичних коефіцієнтів поглинання та розсіювання; спектральний аналіз по спектрам поглинання, аналіз структури та визначення концентрації поглинання речовини; аналіз спектрів поглинання для вивчення будови поглинаючих центрів та природу процесу поглинання; вивчення процесів фотолюмінесценції, фотоефекту, вивчення спектральної залежності виходу цих процесів; вивчення фотохімічних явищ; вивчення щільності плазми.
Спрямованiсть визначає розходження свiтлового пучка в просторi, що характеризується плоским або тiлесним кутом, у якому поширюється велика частина 109 випромiнювання. Розходження пучка є мiрою його вiдхилення вiд паралельностi. Лазерне випромiнювання за своєю природою має високий ступiнь спрямованостi. Визначення кута дифракційного розходження:


Теорія дифракції вказує на існування трьох просторових областей зі своїми відмінностями, які потрібно враховувати при вимірюванні параметрів випромінювання:
![]()
![]()
![]()
На спрямованість впливають: тип резонатора, який формує структуру поля та модовий склад випромінювання.
Діаграма
спрямованості випромінювання круглої
площадки в декартовій (а) та полярній
(б) системах координат.
Гауссове розподілення поля дає майже у двічі менше розходження пучка ніж рівномірне. Причиною цього є більш швидке спадання інтенсивності поля на краях пучка і , відповідно, менші дифракційні ефекти.
Вузько спрямоване випромінювання може використовуватись :
- для передачі енергії та інформації на великі відстані,
- для оптичної локації віддалених об‘єктів,
- в системах наведення по променю і т.д.
Електромагнітна хвиля називається когерентною якщо її амплітуда, частота, фаза, напрям розповсюдження і поляризація постійні або змінюються з часом згідно деякого закону (упорядковано). Найвищу когерентність має ідеально монохроматична лінійно поляризована хвиля, яка є абстракцією і в природі не існує. Найбільш близькі характеристики до такої хвилі має лазерне випромінювання.
Якщо ввести відносно світлового пучка нормовану кореляційну функцію, то у випадку стаціонарності поля світлового пучка можна записати як:

- комплексний ступень когерентності, завжди має задовольняти нерівності:
![]()
Під просторовою когерентністю розуміють кореляцію фаз електромагнітних хвиль, випущених з двох різних точок джерела в однакові моменти часу.
Під часовою когерентністю розуміють кореляцію фаз електромагнітних хвиль, випущених з однієї і тієї ж точки джерела в різні моменти часу.
Часова когерентність тісно пов’язана з монохроматичністю випромінювання: чим вища монохроматичність, тим вища ступінь часової когерентності.
З поняттям просторової когерентності пов’язана спрямованість випромінювання: чим більш спрямований пучок, тим більша просторова когерентність.
Часова когерентність використовується:
для передачі інформації на оптичних частотах; дефектоскопії;
вимірювання відстаней, лінійних та кутових швидкостей, малих зсувів;
для оптичного гетеродинного приймання когерентних оптичних сигналів.
Просторова когерентність є основою для створення лазерних пучків високої спрямованості з можливістю його фокусування в пляму дуже малого діаметру.
Інтерферометр
Юнга
Яскравість джерела електромагнітних хвиль характеризує потужність випромінювання, що випромінюється з одиниці поверхні в одиничному тілесному куті в напрямку, перпендикулярному поверхні, що випромінює.
Має
розмірність (Вт/(м2ср)
і називається енергетичною
яскравістю, або
випромінювальною здатністю.
Енергетична яскравість є об'єктивною фізичною характеристикою електромагнітного випромінювання.
Поляризованим називають світло, яке можна представити електричним вектором, модуль і напрямок якого в точці простору змінюються в часі закономірно.
За напрямок поляризації як правило приймають напрям вектора електричного поля. Площину, що проходить скрізь напрям випромінювання та ортогональну до площини коливання векторів, називають площиною поляризації. В залежності від траєкторії, яку описує результуючий вектор, розрізняють лінійну, сферичну та еліптичну поляризації. А напрям обертання визначає ліву або праву поляризації.
Лазерне випромінювання, без використання спеціальних засобів, визначально не є поляризованим, що іноді приводить до нестабільності генерації лазера.
В якості цих засобів використовуються, наприклад, прозорі пластини розташовані до оптичної вісі під кутом Брюстера, що дозволяє отримати майже повністю поляризоване випромінювання. Також на ступінь та вид поляризації впливає орієнтація оптичної вісі кристала відносно оптичної вісі лазера.
Ступінь поляризації може суттєво впливати на ефективність технологічних процесів де відбиття відіграє важливу роль (розрізання товстих металевих матеріалів).
Поляризоване випромінювання використовується при вивченні фото пружності, мікроскопії, контролю технічних та фізичних величин.

Потужність оптичного випромінювання – це енергія, що переноситься випромінюванням за проміжок часу. Якщо енергія випромінюється імпульсом, то користуються поняттям імпульсної і середньої потужності.

Потужність віднесена до одиничного спектрального інтервалу випромінювання має назву спектральної інтенсивності або спектральної щільності потужності.
Вихідна
потужність Рі,
віднесена до одиничного об‘єму активного
середовища дорівнює W.
![]()
Для лазера, який працює по трьохрівневій схемі в безперервному режимі, потужність що випромінюється скрізь напівпрозоре дзеркало при r1 = 1

Залежність потужності випромінювання від довжини активного елементу та коефіцієнта віддзеркалення


Мінімальна довжина, яка відповідає існуванню генерації.
Коефіцієнт корисної дії (ККД) лазера – є важливим енергетичним показником, який визначається відношенням потужності або енергії випромінювання до електричної потужності або енергії джерела накачки.
Квантовий
ККД
кв
визначається відношенням енергії кванту
який генерується до енергії збудження
більш високого рівня Ев, що задіяний в
створенні інверсійної населеності.
ККД
резонатора р
визначає частину усіх збуджених на
верхньому лазерному рівні частинок,
які переходять на нижчий рівень з
випромінюванням когерентного кванту
(р
=0,3-0,7). ККД
системи збудження активного середовища
характеризує ефективність трансформації
енергії накачки в енергію збудження
верхнього лазерного рівня активного
середовища (зб
=0,1-0,7).
Резонатор є одним з важливих елементів будь-якого квантового приладу - мазера або лазера. Резонатор має забезпечити позитивний зворотній зв'язка за рахунок поверненої назад, у робочу речовину, частини індукованого випромінювання, яке поширюється між поверхнями дзеркал, що відбивають. Резонатор у значній мірі визначає спектральний склад, когерентність, спрямованість, потужність випромінювання.
Основне призначення резонатора - створення збудженої квантової системи з електромагнітним полем, тобто таких умов, при яких індуковане випромінювання, що виникає у квантовій системі під дією поля резонатора в результаті відбиттів, багаторазово проходить скрізь систему.
Мода резонатора являє собою стаціонарну конфігурацію електромагнітного поля, що задовольняє як рівнянням Максвелла, так граничним умовам.

Для об’ємного резонатора відмінністю є невеликі значення m,n,q.

Вiдкритий резонатор – це система, яка складається iз декiлькох поверхонь, що повнiстю або частково вiдбивають хвилю, i яка має резонанснi властивостi.