Си б А Д Рис. 4. Приложение «Проектировочный расчет клиноременнойИпередачи»
(Вторая страница элемента управления MultiPage)
31
3. Данные для расчета: |
|
|
|
140мм; q 5 |
|
p |
|
0,18кг/м ; |
||||
P 7,5кВт ; |
n 950об/мин; |
d |
1 |
; |
l |
|||||||
1 |
|
|
1 |
|
|
|
|
|
|
|
||
А 138мм2; |
v 6,964м/с; 1 |
161,828 . |
|
|
|
|
|
|||||
С |
Контрольные вопросы |
|
|
|
|
|||||||
|
|
|
|
|
|
|
|
|
||||
1. Что понимают под пользовательским интерфейсом в VBA? |
||||||||||||
2. Какие основные типы данных используются в VBA? |
|
|
|
|||||||||
3. |
Назов те элементы управления, их свойства и методы. |
|
||||||||||
4. |
Назов те основные параметры клиноременной передачи. |
|||||||||||
и |
|
|
|
|
|
|
|
|
||||
|
|
|
|
Ла ораторная работа № 2 |
|
|
|
|
||||
|
|
ОЗДАНИЕ АВТОМАТИЗИРОВАННОГО РАСЧЕТА |
||||||||||
|
|
работы |
|
|
|
|
|
|||||
|
ДЛЯ ПРОЕКТИРОВАНИЯ. «ПРОВЕРОЧНЫЙ РАСЧЕТ» |
|||||||||||
|
|
С ПОМОЩЬЮ РЕДАКТОРА VISUAL BASIC |
||||||||||
Цель |
|
. Изучение |
основных расчетных |
зависимостей и |
||||||||
получен е навыков определения параметров проверочного расчета для |
||||||||||||
|
|
|
|
А |
|
|
|
|
||||
определения силы, которую нео ходимо приложить к стандартному |
||||||||||||
ключу при завинчивании гайки на ПК в среде программирования VBA. |
||||||||||||
Задание. Создать приложение «Проверочный расчет» для |
||||||||||||
определения силы, которую нео ходимо приложить к стандартному |
||||||||||||
ключу при |
завинчивании гайки |
до появления |
в |
стержне болта |
||||||||
|
|
|
|
|
Д |
|||||||
напряжений, равных пределу текучести |
|
(сталь 10). Расчет |
||||||||||
выполнить для болтов М6, М12, М24, М36. |
|
|
|
|
|
|||||||
Исходные данные. |
|
|
|
И |
||||||||
|
– наружный диаметр резьбы, мм ; |
|||||||||||
|
– внутренний диаметр резьбы, мм ; |
|||||||||||
|
– средний диаметр резьбы, мм ; |
|||||||||||
|
– высота профиля, мм ; |
|
|
|
||||||||
|
– высота гайки, мм ; |
|
|
|
||||||||
|
– число витков гайки, мм ; |
|
|
|
||||||||
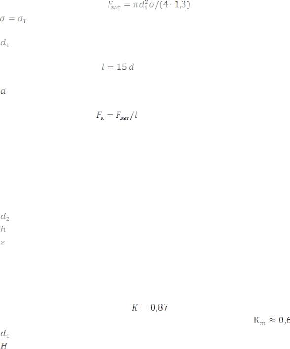
Т – предел текучести, МПа.
Результаты расчета.
Результатом работы приложения является расчет параметров для болтов М6, М12, М24, М36: сила затяжки; сила, приложенная к ключу; напряжение смятия в резьбе; напряжение среза в резьбе.
32
Расчетные зависимости. |
|
|
|
|
|
||
1. |
Сила затяжки. |
|
|
|
, |
|
|
|
|
|
|
|
|
|
|
где |
по условию задачи; |
|
|
|
|
||
Fзат – сила затяжки, Н; |
|
|
|
|
|
||
– внутренний диаметр резьбы, мм . |
|
|
|||||
С |
|
|
|
|
|
||
2. Длина ручки стандартного ключа. |
|
||||||
|
|
|
|
, |
|
|
|
где l – дл на ручки стандартного ключа, мм; |
|
|
|||||
– наружный д аметр резьбы, мм. |
|
|
|||||
ручки d2 |
h z , |
|
|
||||
3. |
|
ла, пр ложенная к ключу. |
|
|
|||
где l – дл на |
|
|
|
, |
|
|
|
стандартного ключа, мм; |
|
|
|||||
Fзат – с ла затяжки, Н. |
|
|
|
|
|
||
4. |
|
резьбе |
|
|
|||
Напряжен е смятия в |
|
. |
|
|
|||
|
|
см |
|
FЗ Т |
|
|
|
|
|
|
|
|
|
||
где см – напряжен е смятия в резь е, МПа; |
|
|
|||||
|
|
А |
|
||||
Fзат – сила затяжки, Н; |
|
|
|
|
|
||
– средний диаметр резь ы, мм; |
|
|
|||||
– высота профиля, мм; |
|
Д |
|
||||
– число витков гайки, мм. |
|
||||||
5. Напряжение среза в резьбе. |
|
|
|||||
|
|
|
FЗ Т |
|
|
|
|
|
|
d1 H K Km , |
|
|
|||
где – напряжение среза в резьбе, МПа; |
|
|
|||||
коэффициент полноты резьбы |
|
, |
|
|
|||
коэффициент неравномерности нагрузки по виткам резьбы |
; |
||||||
– внутренний диаметр резьбы, мм; |
И |
||||||
– высота гайки, мм; |
|
|
|
||||
Fзат – сила затяжки, Н. |
|
|
|
||||
Порядок выполнения работы. |
|
||||||
1.Все данные, которые используются в приложении (рис. 5, 6), необходимо разместить на элементе управления MultiPage.
2.Для выбора стандартного размера болтов использовать элемент управления переключатель OptionButton. Для каждого переключателя OptionButton написать процедуру. Для этого необходимо дважды щелкнуть по элементу управления и в открывшемся модуле записать текст. Например, для переключателя OptionButton1, который отражает значения для резьбы болта М6 (табл. 5):
33
|
Private Sub OptionButton1_Click() |
|
|
|
|
|
|
|
|||
|
d = 6 : d1 = 4.918 : d2 = 5.35 : h1 = 0.541 : h2 = 5 : z = 5 |
|
|
|
|
||||||
|
TextBox1.Value = d |
|
|
|
|
|
|
|
|
|
|
|
TextBox2.Value = d1 |
|
|
|
|
|
|
|
|
||
|
TextBox3.Value = d2 |
|
|
|
|
|
|
|
|
||
|
TextBox4.Value = h1 |
|
|
|
|
|
|
|
|
||
|
TextBox5.Value = h2 |
|
|
|
|
|
|
|
|
||
С |
|
|
|
|
|
|
|
|
|
||
|
TextBox6.Value = z |
|
|
|
|
|
|
|
|
|
|
|
End Sub |
|
|
|
|
|
|
|
|
|
|
|
3. Для вывода результатов расчетов использовать ‘элемент ListBox. |
||||||||||
|
4. Данные для расчета: |
|
|
|
|
|
|
|
|
||
|
и |
|
|
|
|
|
Таблица 5 |
||||
|
|
|
Стандартные размеры болтов |
|
|
|
|
||||
|
|
бА |
М12 |
|
М24 |
|
М36 |
|
|||
|
Размеры олта, мм |
М6 |
|
|
|
|
|||||
|
Наружный д аметр резь ы |
6 |
|
12 |
|
24 |
|
36 |
|
||
|
Внутренн й д аметр резь ы |
4,918 |
|
10,106 |
|
20,752 |
|
31,670 |
|
||
|
Средний д аметр резь ы |
|
5,350 |
|
10,863 |
|
22,051 |
|
33,402 |
|
|
|
Высота проф ля |
|
0,541 |
|
0,947 |
|
1,624 |
|
2,165 |
|
|
|
Высота гайки |
|
|
5 |
|
10 |
|
19 |
|
29 |
|
|
Число витков гайки |
|
5 |
|
5,7 |
|
6,35 |
|
7 |
|
|
|
|
|
|
|
|
|
|
|
|
||
|
|
|
|
|
|
|
|
|
|||
|
|
|
|
Д |
|||||||
|
|
|
|
|
И |
||||||
34
Си
бАРис. 5. ПриложениеД«Проверочный расчет»
(Начальная страница элемента управления MultiPage) И
35