е р и я в н у т р и в у з о в с к и х См е т о д и ч е с к и х у к а з а н и й С и б А Д И
иМин стерство науки высшего образования Российской Федерации
Федеральное государственное бюджетное образовательное учреждение высшего образования « ибирский государственный автомо ильно-дорожный университет (СибАДИ)»
Кафедра «Информационные технологии»
СИСТЕМЫбВТОМАТИЗАЦИИ ПРОЕКТИРОВАНИЯА
Методические указанияДк лабораторным работам
Составитель Ю.И. Привалова
И Омск ▪ 2018
УДК 681.5 ББК 32.965 С40
_____________________________
Согласно 436-ФЗ от 29.12.2010 «О защите детей от информации, причиняющей вред их здоровью и развитию» данная продукция маркировке не подлежит.
_____________________________
|
|
|
Рецензент |
|
|
|
|
|
канд. техн. наук, доц. И.М. Князев (СибАДИ) |
|
|||
СибАДИ |
||||||
|
Работа утверждена редакционно-издательским советом СибАДИ в качестве |
|||||
методическ х указан й. |
|
|
|
|
||
40 |
истемы автомат зации проектирования [Электронный ресурс] |
: |
||||
методическ е |
указан я |
к ла ораторным |
работам / сост. |
Ю.И. Привалова. |
– |
|
( ерия внутр вузовск х методических указаний СибАДИ). |
– Электрон. дан. |
– |
||||
Омск |
: |
бАДИ, |
2018. – URL: |
http://bek.sibadi.org/cgi-bin/irbis64r plus/ |
||
cgiirbis |
64 ft.exe. - Реж м доступа: для авторизованных пользователей. |
|
||||
Содержат задания к ла ораторным работам, примечания к ним, контрольные вопросы, блок-схему алгоритма расчета.
Имеют интерактивное оглавление в виде закладок.
Предназначены для выполнения лабораторных работ по системам автоматизированного проектирования аспирантами очной заочной формы обучения всех направлений подготовки.
Подготовлены на кафедре «Информационные технологии».
Текстовое (символьное) издание (3,8 МБ)
Системные требования: Intel, 3,4 GHz; 150 Мб; Windows XP/Vista/7; DVD-ROM; 1 Гб свободного места на жестком диске; программа для чтения pdf-файлов:
Adobe Acrobat Reader; Foxit Reader
Техническая подготовка Н.В. Кенжалинова Издание первое. Дата подписания к использованию 09.10.2018
Издательско-полиграфический комплекс СибАДИ. 644080, г. Омск, пр. Мира, 5 РИО ИПК СибАДИ. 644080, г. Омск, ул. 2-я Поселковая, 1
© ФГБОУ ВО «СибАДИ», 2018
Программные комплексы САПР относятся к числу наиболее сложных современных программных систем, поэтому изучение основных принципов их функционирования, умение работать со средствами САПР является основой подготовки инженераразработчика. Следует отметить, что проектирование это комплекс работ по исследованию, конструированию и расчету объекта, целью которого является получение комплекта конструкторской документации для дальнейшего его изготовлен я. Автомат з рованное проектирование – это процесс, при
котором все |
ли часть проектных решений получают с использованием |
||||||
средств |
выч сл тельной |
техники. |
Типовыми |
задачами |
|||
автоматиз рованного проектирования являются: |
|
||||||
С |
|
|
|
|
|
||
Проект рован е нач нается с разработки технического предложения |
|||||||
и (или) техн ческого задания и представления их в виде проектной |
|||||||
документац |
, |
нео ходимой |
и |
достаточной для |
последующей |
||
материальной |
реал зац |
о ъекта |
проектирования в виде изделия, |
||||
системылипроцесса. Техническое задание – это исходное (первичное) |
|||||||
описание |
|
проектирования. |
Обязательным |
документом |
|||
|
объекта |
|
|
||||
технического задания Ана техническое изделие является спецификация – конструкторский документ, определяющий состав этого изделия. В спецификации содержится подро ное перечисление деталей и узлов, входящих в состав изделия [1].
Результатом проектирования, как правило, является полный комплект документации, представляющийДсобой окончательное описание объекта или процесса и содержащий достаточные сведения для реализации объекта или процесса на данном предприятии. Можно сказать, что проектирование – это процесс получения и преобразования исходного описания объекта или процесса в окончательное описание на основе выполнения комплекса работ исследовательскогоИ, расчетного и конструкторского характера. Проектирование, при котором все проектные решения или их часть получают путем взаимодействия человека и ЭВМ, называют автоматизированным, в отличие от «ручного» (без использования ЭВМ) или автоматического (без участия человека). Автоматическое проектирование в настоящее время возможно
лишь в отдельных, хотя, быть может, очень важных частных случаях (например, в микроэлектронике) [1].
3
Комплекс программно-технических средств вычислительной техники, необходимых и достаточных для проектирования конкретного изделия, называют системой автоматизированного проектирования (САПР). Часто название АПР включает в себя предметную область, на которую ориентирована эта система. Так, различают системы ECAD (Electronic Computer Aided Design) для проектных работ в электронике,
микроэлектрон ке |
выч |
слительной технике; MCAD (Mechanical CAD) – |
||||||
принимаются |
|
|
|
|
||||
ориентированные на машиностроительные отрасли и др. [1].Выделяют |
||||||||
Сследующ е стад проектирования: |
|
|
|
|||||
1 стад я. Научносследовательские работы (НИР). Выполняется в |
||||||||
Научносследовательск х институтах (НИИ). На этой стадии изучаются |
||||||||
бА |
|
|||||||
существующ е |
протот пы |
удущего |
изделия, патенты, лицензии и |
|||||
|
пр нц п альные решения о технических параметрах |
|||||||
будущего здел я. |
На |
завершении |
научно-исследовательских |
работ |
||||
разрабатывается научно-исследовательский отчет, который содержит |
||||||||
техническое задание и технические предложения. Для автоматизации на |
||||||||
этой стадии используются автоматизированные системы научных |
||||||||
исследований (АСНИ). |
|
|
|
|
|
|
||
2 стадия. Опытно-конструкторские работы (ОКР). Выполняется в |
||||||||
конструкторских бюро |
(КБ). |
На этой стадии выполняется детальная |
||||||
|
|
|
|
|
Д |
|
||
проработка проекта, ориентированная на конкретные заводы |
||||||||
изготовители. |
По |
завершении |
опытно-конструкторских |
работ |
||||
формируется |
комплект |
конструкторской |
документации. |
Для |
||||
автоматизации |
используются |
|
системы |
автоматизированного |
||||
проектирования (САПР). |
|
|
|
|
|
|
||
3 стадия. Производство образца. Выполняется на заводах- |
||||||||
изготовителях. На этой стадии разрабатывается технологический процесс |
||||||||
изготовления всех деталей изделия, сборка в конечное изделие и |
|||
производство опытного образца. Для автоматизации используются |
|||
автоматизированные системы управления технологическими процессами |
|||
(АСУТП), |
автоматизированные |
системы |
управленияИпроизводством |
(АСУПр), |
автоматизированные |
системы |
управления предприятием |
(АСУП).
4 стадия. Опытное испытание. Выполняется на специализированных полигонах. На этой стадии происходит обработка и анализ данных об испытании и составляется акт о запуске в серийное производство.
При переходе от одной стадии к другой степень детальности проработки проекта возрастает, так что рабочий проект должен быть достаточным для изготовления опытных или серийных образцов [1].
4
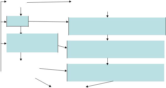
Стадии процесса проектирования разбивают на этапы, которые более детально характеризуют разработку проектируемого объекта (Рис. 1).
Стадии проектирования |
|
Этапы проектирования |
|
|
|
|
|
|
|
1. |
Согласование технического задания. |
|
1. НИР |
|
|
||
|
|
|
2. |
Формирование технических предложений. |
|
|
|
|
|
3.Инженерный анализ и оптимизация. |
|
С |
|
|
|||
|
|
||||
|
2. ОКР |
|
|
|
|
4. Эскизное проектирование |
|||||
5.Техническое проектирование
6.Разработка конструкторской документации.
|
|
|
|
|
|
|
|
|
|
|
|||
|
и |
|
|
|
|
|
|
|
|
||||
|
|
|
|
|
|
|
|||||||
|
3. Про зводство |
|
|
|
|
|
|
|
|
||||
|
образца |
|
|
|
7. |
Технологическое проектирование. |
|
||||||
|
Отработка |
|
|
|
|
||||||||
|
|
|
|
|
|
|
8. |
Разработка технологической документации |
|
||||
|
|
|
|
|
|
|
9. |
Изготовление опытного образца. |
|
||||
|
4. Опытное |
|
|
|
|
10. Испытание. |
|
|
|||||
|
испытан е |
|
А |
|
|
||||||||
|
|
|
|||||||||||
|
|
|
|
|
|
|
11. |
|
конструкторской документации |
|
|||
|
|
|
|
|
|
|
|
|
|
|
|
|
|
|
|
|
|
|
|
|
|
|
|
|
|
|
|
|
|
Серийное производство |
|
|
|
||||||||
|
|
|
|
|
|
|
|
|
|
|
|
|
|
|
|
|
|
|
|
|
|
|
Д |
||||
Рисунок 1. Стадии и этапы проектирования
Этапы разделяют на составные части, называемые проектными процедурами. Примерами проектных процедур являются подготовка чертежей, анализ кинематики изделия или его части, моделирование переходных процессов, оптимизация параметровИи структур. Таким образом, процесс проектирования представляет собой выполнение некоторых последовательностей типовых проектных процедур.
Основными направлениями типовых процедур проектирования являются:
1. Расчет (Одновариантный анализ). Определение выходных параметров и характеристик объекта проектирования при неизменных значениях его внутренних параметров и постоянной структуре.
2. Анализ (Многовариантный анализ). Определение изменения выходных параметров и характеристик объекта в зависимости от изменения его внутренних параметров.
3. Оптимизация. Определение наилучших (оптимальных) значений выходных параметров и характеристик путем целенаправленного
5