15
Например, если выдвинута гипотеза о нормальном распределении, то теоретические вероятности Pi заносим в графу №10 таблицы значений:
|
|
|
|
x |
|
~ |
2 |
|
|
|
1 |
|
|
i |
|
mx* |
|
|
|
Pi |
|
|
e |
|
2 * 2 |
|
dx, |
||
* |
|
|
|
|
|||||
2 |
|
|
|||||||
|
|
|
|
xi 1 |
|
|
|
|
|
где xi 1,xi границы соответствующих интервалов; * оценка среднего квадратического отклонения; mx * оценка математического ожидания значения.
Если выдвинутая гипотеза будет отвергнута, то имеет место противоречащая гипотеза.
Нулевой (основной) называют гипотезу H0 .
Конкурирующей (альтернативной) называют гипотезу H1, которая противоречит основной гипотезе.
Выдвинутая нулевая гипотеза может быть правильной или неправильной, поэтому возникает необходимость проверки гипотезы.
В итоге статистической проверки нулевой гипотезы могут быть допущены ошибки двоякого рода:
ошибка первого рода состоит в том, что нулевая гипотеза будет отвергнута, хотя в действительности она верна.
ошибка второго рода состоит в том, что нулевая гипотеза принимается, а в действительности она неверна.
Обозначим – вероятность совершить ошибку первого рода; –
вероятность совершить ошибку второго рода.
Для проверки нулевой гипотезы пользуются специально подобранной случайной величиной, распределение которой известно. В общем случае её обозначают K – критерий согласия, устанавливающий, когда полученное в действительности указанное отклонение следует признать несущественным, а когда существенным (неслучайным).
Наблюдаемое значение Kнабл значение критерия, которое вычислено по данным выборки.
Совокупность значений критерия, при которых нулевую гипотезу отвергают, называют критической областью.
Если наблюдаемое значение критерия принадлежит критической области, то нулевую гипотезу отвергают.
Точки, отделяющие критическую область от области принятия гипотезы, называются критическими точками.
Правосторонней называется критическая область K Kкр Kкр 0 ,
Kкр K1. Левосторонней называют критическую область |
K Kкр |
Kкр 0 , Kкр K2. Двусторонняя критическая область определяется не-
16
равенствами K K1, K K2, где K2 K1.
Как найти критическую точку, чтобы отыскать правостороннюю критическую область? Для этого задаются достаточно малой вероятностью
– уравнением значимости .
Уровень значимости в математической статистике это вероятность, которой можно пренебречь в данном исследовании.
Уровень значимости обычно выбирают от 0,05 до 0,001. Критическую точку находят исходя из требования, чтобы при усло-
вии справедливости нулевой гипотезы выполнялось равенство
P K Kкр .
Когда критическая точка найдена, по данным выборки вычисляют Kнабл (наблюдаемое значение критерия). В случае если окажется, что
Kнабл Kкр , нулевую гипотезу отвергают, если Kнабл Kкр нулевую гипотезу принимают.
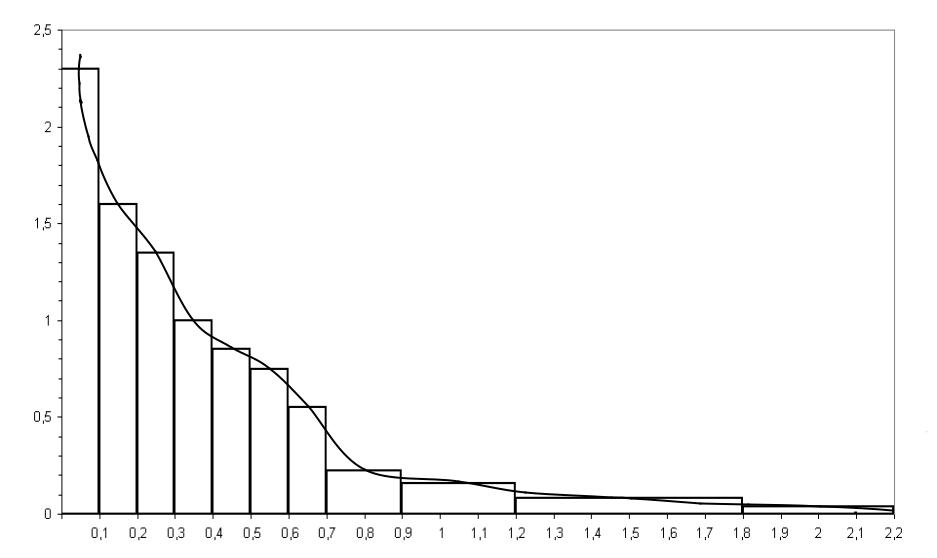
Рассмотрим всё сказанное на примере. Пусть дана выборка, содержащая 200 элементов, то есть объём выборки n 200.
Для компактности изложения сразу приводим упорядоченную выборку. Наименьшее число равно 0,004520, наибольшее 2,127258.
1.Делим наш интервал на 20 равных интервалов длиной 0,1 и найдём число элементов, входящих в каждый интервал (см. таблицу значений).
2.Поскольку начиная с 0,7 в интервалы входит малое число элементов, объединим их так, чтобы элементов в интервале было не менее 8. Уточнённые интервалы: (0,7 – 0,9); (0,9 – 1,2); (1,2 – 1,8); (1,8 – 2,2). Уточняем ni количество элементов в интервалах. Запишем результаты в гра-
фы №3, №4.
~
3. Находим середины интервалов i и записываем их в графу №5.
4. |
Находим частоту попадания в каждый интервал P* |
ni |
(графа |
||||||
|
|||||||||
№6), где n 200. |
|
|
|
|
i |
n |
|||
|
Pi * |
|
|
|
|
||||
5. |
Находим fx |
* |
, где |
i – длина соответствующего разряда |
|||||
|
|||||||||
|
|
|
|
i |
|
|
|
|
|
|
|
|
|
|
|
|
|
||
(графа №7).
6. Строим гистограмму.
~
7. В графу №7 таблицы записываем промежуточные значения i Pi *
k ~
иих сумму mx* i Pi * статистическое среднее.
i1
17
Выборка
0,004520 |
0,053904 |
0,113513 |
0,185604 |
0,268157 |
0,407319 |
0,571125 |
0,844782 |
0,010663 |
0,054405 |
0,113952 |
0,190264 |
0,277215 |
0,427128 |
0,571439 |
0,873776 |
0,011225 |
0,055075 |
0,115084 |
0,190923 |
0,279570 |
0,429601 |
0,576165 |
0,926711 |
0,011378 |
0,055242 |
0,118304 |
0,200986 |
0,282377 |
0,429955 |
0,583338 |
0,955948 |
0,011685 |
0,055522 |
0,118558 |
0,206849 |
0,298555 |
0,435181 |
0,586722 |
0,968971 |
0,013480 |
0,058042 |
0,124295 |
0,210264 |
0,302202 |
0,435539 |
0,589153 |
0,976316 |
0,013840 |
0,060124 |
0,124487 |
0,211484 |
0,303485 |
0,440221 |
0,590780 |
1,013614 |
0,019578 |
0,065054 |
0,132569 |
0,213166 |
0,304403 |
0,440945 |
0,603154 |
1,034548 |
0,023336 |
0,070379 |
0,133940 |
0,217241 |
0,305691 |
0,449348 |
0,611408 |
1,049414 |
0,023651 |
0,075353 |
0,142909 |
0,220728 |
0,314711 |
0,464055 |
0,611918 |
1,063896 |
0,025226 |
0,077217 |
0,145310 |
0,221428 |
0,320467 |
0,464815 |
0,624311 |
1,101822 |
0,025384 |
0,077217 |
0,147253 |
0,222051 |
0,322179 |
0,476996 |
0,638451 |
1,198448 |
0,025436 |
0,078678 |
0,150147 |
0,222753 |
0,322750 |
0,479860 |
0,658757 |
1,218630 |
0,031843 |
0,079088 |
0,150147 |
0,225650 |
0,336182 |
0,483003 |
0,662317 |
1,293802 |
0,032589 |
0,079088 |
0,152448 |
0,227538 |
0,339721 |
0,487490 |
0,664579 |
1,400083 |
0,034032 |
0,083204 |
0,152991 |
0,227932 |
0,344179 |
0,487622 |
0,672576 |
1,449303 |
0,034461 |
0,088190 |
0,153398 |
0,229591 |
0,352205 |
0,494700 |
0,685210 |
1,499870 |
0,034729 |
0,091361 |
0,155237 |
0,231892 |
0,367089 |
0,508056 |
0,697769 |
1,603227 |
0,038441 |
0,093044 |
0,158452 |
0,233404 |
0,372220 |
0,517115 |
0,712518 |
1,649772 |
0,040605 |
0,094069 |
0,160723 |
0,233803 |
0,373168 |
0,525340 |
0,714392 |
1,689229 |
0,050629 |
0,098373 |
0,162242 |
0,240714 |
0,376661 |
0,545173 |
0,718794 |
1,728884 |
0,051570 |
0,105175 |
0,162934 |
0,242173 |
0,380178 |
0,550859 |
0,735491 |
1,787775 |
0,052181 |
0,105607 |
0,163766 |
0,244532 |
0,384474 |
0,557371 |
0,741843 |
1,809677 |
0,052181 |
0,109825 |
0,167736 |
0,255580 |
0,387396 |
0,566447 |
0,758657 |
1,873255 |
0,052736 |
0,111447 |
0,176413 |
0,257584 |
0,393399 |
0,569249 |
0,805970 |
2,127258 |
18
Таблица значений
№ |
1 |
2 |
3 |
4 |
5 |
|
6 |
7 |
|
8 |
|
|
9 |
|
10 |
|
|
11 |
|
|
ni |
Уточненные |
ni |
~ |
|
Pi * |
fi * |
P |
~ |
|
|
~ |
2 |
Pi |
|
ni nPi 2 |
|
||
n/n |
Разряды |
|
|
i |
* |
i |
P |
* |
i |
|
|
|
|
||||||
|
|
|
|
||||||||||||||||
|
|
|
разряды |
|
|
|
|
i |
|
i |
|
|
|
|
nPi |
|
|||
|
|
|
|
|
|
|
|
|
|
|
|
|
|
|
|
|
|
||
1 |
0,00-0,10 |
46 |
0,00-0,10 |
46 |
0,050 |
0,2300 |
2,300 |
0,01150 |
0,0005750 |
0,2134 |
|
|
0,1232 |
|
|||||
2 |
0,10-0,20 |
32 |
0,10-0,20 |
32 |
0,150 |
0,1600 |
1,600 |
0,02400 |
0,0003600 |
0,1688 |
|
|
0,0917 |
|
|||||
3 |
0,20-0,30 |
27 |
0,20-0,30 |
27 |
0,250 |
0,1350 |
1,350 |
0,03375 |
0,0084375 |
0,1332 |
|
|
0,0048 |
|
|||||
4 |
0,30-0,40 |
20 |
0,30-0,40 |
20 |
0,350 |
0,1000 |
1,000 |
0,03500 |
0,0122500 |
0,1068 |
|
|
0,0036 |
|
|||||
5 |
0,40-0,50 |
17 |
0,40-0,50 |
17 |
0,450 |
0,0850 |
0,850 |
0,03825 |
0,0172125 |
0,0844 |
|
|
0,0045 |
|
|||||
6 |
0,50-0,60 |
15 |
0,50-0,60 |
15 |
0,550 |
0,0750 |
0,750 |
0,04125 |
0,0226875 |
0,0636 |
|
|
0,2325 |
|
|||||
7 |
0,60-0,70 |
11 |
0,60-0,70 |
11 |
0,650 |
0,0550 |
0,550 |
0,03575 |
0,0232375 |
0,0550 |
|
|
0,1000 |
|
|||||
8 |
0,70-0,80 |
6 |
|
|
|
|
|
|
|
|
|
|
|
|
|
|
|
|
|
9 |
0,80-0,90 |
3 |
0,70-0,90 |
9 |
0,800 |
0,0450 |
0,2250 |
0,03600 |
0,0288000 |
0,0729 |
|
|
1,4587 |
|
|||||
10 |
0,90-1,00 |
4 |
|
|
|
|
|
|
|
|
|
|
|
|
|
|
|
|
|
11 |
1,00-1,10 |
4 |
|
|
|
|
|
|
|
|
|
|
|
|
|
|
|
|
|
12 |
1,10-1,20 |
2 |
0,90-1,20 |
10 |
1,050 |
0,0500 |
0,1560 |
0,05250 |
0,0551250 |
0,0591 |
|
|
0,2802 |
|
|||||
13 |
1,20-1,30 |
2 |
|
|
|
|
|
|
|
|
|
|
|
|
|
|
|
|
|
14 |
1,30-1,40 |
|
|
|
|
|
|
|
|
|
|
|
|
|
|
|
|
|
|
15 |
1,40-1,50 |
3 |
|
|
|
|
|
|
|
|
|
|
|
|
|
|
|
|
|
16 |
1,50-1,60 |
|
|
|
|
|
|
|
|
|
|
|
|
|
|
|
|
|
|
17 |
1,60-1,70 |
3 |
|
|
|
|
|
|
|
|
|
|
|
|
|
|
|
|
|
18 |
1,70-1,80 |
2 |
1,20-1,80 |
10 |
1,500 |
0,0500 |
0,0830 |
0,07500 |
0,1125000 |
0,0430 |
|
|
0,2279 |
|
|||||
19 |
1,80-1,90 |
2 |
|
|
|
|
|
|
|
|
|
|
|
|
|
|
|
|
|
20 |
1,90-2,20 |
1 |
1,80-2,20 |
3 |
2,000 |
0,0150 |
0,0375 |
0,03600 |
0,0600000 |
0,0078 |
|
|
1,3292 |
|
|||||
|
|
|
|
|
|
|
11 |
|
mx* 0,413 |
|
|
|
|
|
|
|
|
||
|
|
200 |
|
200 |
|
|
Pi 1 |
|
|
|
|
|
2 |
3,9163 |
|
||||
|
|
|
|
|
|
|
i 1 |
|
|
|
|
|
|
|
|
|
|
|
|
19
Рис. 2. Гистограмма