-отборе факторов, оказывающих наиболее существенное влияние на результативный признак, на основании измерения тесноты связи между ними;
-обнаружении ранее неизвестных причинных связей.
Для качественной оценки коэффициентов корреляции использовалась шкала Чеддока [98]. В зависимости от значения коэффициента корреляции связь может иметь одну из оценок:
0,1 – 0,3 – слабая;
0,3 – 0,5 – заметная;
0,5 – 0,7 – умеренная;
0,7 – 0,9 – высокая;
0,9 – 1,0 – весьма высокая.
При наличии корреляционной зависимости устанавливается тенденция изменения результативного признака при изменении величины факторного признака. Прежде чем включить факторы в модель, необходимо проверить, насколько они линейно независимы между собой (отсутствие мультиколлинеарности). Наличие мультиколлинеарности проверяется при помощи анализа матрицы коэффициентов парной корреляции. Если коэффициент парной корреляции между двумя переменными больше 0,8, то явление мультиколлинеарности считают установленным, а модель становится непригодной для анализа и прогнозирования. Поэтому перед получением итогового набора факторов необходимо устранить или уменьшить мультиколлинеарность. Только тогда отобранные факторы могут быть включены в модель.
После того как с помощью корреляционного анализа выявлено наличие статистически значимых связей между переменными, необходимо количественно оценить степень тесноты связи между независимыми переменными и результатами деятельности, а также произвести отбор наиболее важных факторов. В табл. 3.4 укажем показатели, которые были отобраны в результате корреляционного анализа, оказывающие наибольшее влияние на результаты деятельности ГАТП (в скобках указаны коэффициенты парной корреляции). В результате корреляционного анализа было исключено значительное количество ранее выбранных независимых переменных вследствие незначительности оказываемого влияния на зависимую переменную или наличия мультиколлинеарности между исследуемыми показателями.
98
Таблица 3.4
Влияние факторов внутренней и внешней среды на результаты деятельности предприятий
Наименование |
Результирующие переменные (индекс корреляции) |
|||||
предприятия |
ВПр |
ВПр+Ам |
ЧПр |
ЧПр+Ам |
||
1. ОАО |
|
|
Факторы внутренней среды |
|
||
|
Ктг (Z2) |
Ксп (Z6) |
Ксп (Z6) |
Ксп (Z6) |
||
«ТранКК» (круп- |
||||||
(0,802) |
(0,919) |
(0,808) |
(0,946) |
|||
ное предприятие) |
||||||
|
Факторы внешней среды |
|
||||
|
|
|
|
|||
|
|
СР (Х2) |
ДН (Х4) |
ДН (Х4) |
ДН (Х4) |
|
|
|
(-0,897) |
(-0,932) |
(-0,684) |
(-0,914) |
|
|
|
|
Факторы внутренней среды |
|
||
|
|
Ктг(Z2) |
Ксп (Z6) |
Коб (Z7) |
ПТ (Z3) |
|
2. ГАТП |
№6 |
(0,920) |
(0,982) |
(0,930) |
(0,909) |
|
(среднее |
пред- |
|
Факторы внешней среды |
|
||
приятие) |
|
|
|
|
|
|
|
СР (Х2) |
СР (Х2) |
СР (Х2) |
ДН (Х4) |
||
|
|
(-0,941) |
(-0,905) |
(-0,64) |
(-0,85) |
|
|
|
|
|
Ицт (Х3) |
|
|
|
|
|
|
( -0,78) |
|
|
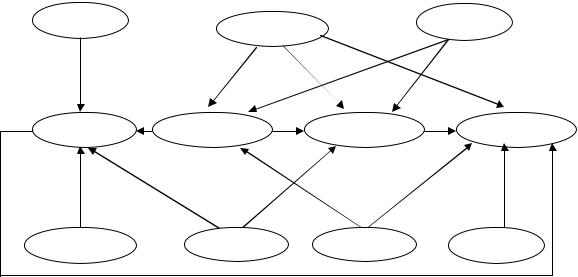
Отобраны показатели, оказывающие наибольшее влияние на зависимые переменные, теснота связи выделенных показателей определяет прогностическую силу регрессионных моделей. Сопоставив данные, приведенные в табл. 3.4, можно сделать вывод, что на результаты деятельности крупных и средних предприятий в большей степени влияют такие показатели, характеризующие внутреннюю среду, как коэффициент технической готовности, коэффициент сбалансированности денежного потока, коэффициент обеспеченности собственными средствами финансирования, производительность труда. Среди показателей, характеризующих внешнюю среду, большее влияние оказывают ставка рефинансирования ЦБ, доля налогов в общем объеме затрат предприятия, индекс цен на топливо (см. рис. 3.1).Нужно отметить, что при отборе факторов было соблюдено важное правило: число включаемых в модель факторов должно быть в 7 – 8 раз меньше объема данных, по которым строится регрессия.
Теперь перейдем к математическому описанию конкретного вида зависимостей с использованием регрессионного анализа, другими словами, проведем регрессионный анализ, основная задача которого – в исследовании зависимости изучаемой переменной от различных факторов и отображении их взаимосвязи в форме регрессионной модели.
99
|
Факторы внешней среды |
|
|
|
ИЦТ (X3) |
ДН (X4) |
|
СР (X2) |
|
|
|
|
||
|
|
- - |
|
|
- |
- |
- |
|
- |
ЧПр |
ВПр |
ВПр+Ам |
|
ЧПр+Ам |
|
+ |
+ |
+ |
+ |
+ |
|
|||
|
|
|
|
|
Коб (Z7) |
Ксп (Z6) |
Ктг (Z2) |
|
ПТ (Z3) |
__________________________________________________________________________________________________________________________________________
Факторы внутренней среды
Рис. 3.1. Схема влияния решающих факторов бизнес-среды на результирующие переменные
Связь между показателями, характеризующими финансовые результаты переменными (Y1, Y2, Y3, Y4 и k) независимыми факторами Z можно охарактеризовать функцией регрессии Yi = f (Z1, Z2, Z3, …, Zk), которая показывает, каково будет в среднем значение переменной Yi, если переменные Zi примут конкретные значения. Данные обстоятельства позволяют использовать модель регрессии не только для анализа, но и для прогнозирования экономических явлений. В результате расчетов были получены пять уравнений регрессии по каждому предпри-
ятию (табл. 3.5, 3.6).
После построения моделей регрессии необходимо провести оценку их качества. На первом этапе проверки качества уравнений регрессии рассчитаем коэффициент множественной корреляции R и коэффициент детерминации R2. Чем ближе к единице значение этих характеристик, тем выше качество модели. Расчетные и табличные значения этих коэффициентов приводятся в табл. 3.5, 3.6. Так, коэффициент детерминации первого уравнения Y1 по крупному предприятию показывает, что около 95% вариации зависимой переменной учтено в модели и обусловлено влиянием включенных факторов. Коэффициент множественной корреляции равен 0,98, что означает наличие высокой тесноты связи между зависимой переменной Y1 (ВПр) и тремя включенными в модель факторами. По другим уравнениям регрессии аналогичная ситуация (табл. 3.6, 3.7). Так, по первому уравнению
100
регрессии было получено Fрас =362, а Fтаб=2,77, т.е. Fрас Fтаб, это значит, что уравнение регрессии следует признать адекватным. При анализе значимости остальных уравнений регрессии были получены аналогичные результаты.
Таблица 3.5
Уравнения регрессии, характеризующие влияние внутренних факторов на результаты деятельности ГАТП
Пред- |
Результи- |
|
Коэф- |
t- |
Мно- |
R- |
при- |
рующая |
Уравнение регрессии |
фиц. |
критерий |
жес- |
квад- |
ятие |
переменная |
|
Фише- |
(таблич.) |
твен- |
рат |
|
|
|
ра Fтаб |
|
ный R |
|
» |
ВПр |
Y1= -1771+2663,293*Z2 |
4,047 |
2,0117 |
0,858 |
0,736 |
ТранКК |
|
|
|
|
|
|
ВПр+Ам |
Y2 = 2531,12 + 2744,53 * |
4,047 |
2,0117 |
0,926 |
0,858 |
|
|
*ln(Z6) |
|
|
|
|
|
ЧПр |
Y3 = -137,27 + |
4,047 |
2,0117 |
0,786 |
0,618 |
|
« |
|
+1128,17*ln(Z6) |
|
|
|
|
ОАО |
|
|
|
|
|
|
ЧПр+Ам |
Y4 = 2485,43 + 6451,38 |
4,047 |
2,0117 |
0,948 |
0,898 |
|
|
*ln(Z6) |
|
|
|
|
|
|
|
|
|
|
|
|
|
ВПр |
Y1 = 3484,199 + |
4,047 |
2,0117 |
0,935 |
0,875 |
№6 |
|
4176,882 * ln(Z2) |
|
|
|
|
ВПр+Ам |
Y2 = -6440,35 + |
4,047 |
2,0117 |
0,982 |
0,964 |
|
ГАТП |
|
11043,78 *Z6 |
|
|
|
|
ЧПр |
Y3 = -134,179 + |
4,047 |
2,0117 |
0,931 |
0,866 |
|
|
3018,735 * Z7 |
|
|
|
|
|
|
|
|
|
|
|
|
|
ЧПр+Ам |
Y4 = 1978,74+1066* Z3 |
3,1996 |
2,0129 |
0,840 |
0,71 |
На третьем этапе оценим с помощью t-критерия Стьюдента статистическую значимость коэффициентов уравнения множественной регрессии. Все коэффициенты признаны значимыми, так как выполняется неравенство t расч tтаб. Таким образом, построенные уравнения рег-
рессии являются качественными и значимыми и могут быть использованы в дальнейшей деятельности ГАТП и при принятии управленческих решений. Теперь, зная прогноз значений показателей независимых переменных Х (внешних факторов), можно определить значение результатов деятельности предприятий в будущем. Принимая соответствующие управленческие решения по увеличению тех или иных значений показателей, характеризующих внутренние факторы, можно получить желаемый уровень результирующей переменной.
По результатам проведенных исследований предложим алгоритм диагностического анализа результатов деятельности ГАТП (рис.3.2).
101
Таблица 3.6
Уравнение регрессии, характеризующие влияние внешних факторов на результаты деятельности ГАТП
Пред- |
|
Результи- |
|
|
|
Коэф- |
t- |
Мно- |
|
R- |
|||
при- |
|
рующая пе- |
Уравнения регрессии |
|
фиц. |
крите- |
жес- |
|
квад |
||||
ятие |
|
ременная |
|
|
|
Фише- |
рий |
твен- |
|
рат |
|||
|
|
|
|
|
|
|
|
ра Fтаб. |
(таблич.) |
ный R |
|
|
|
|
|
|
ВПр |
Y1= 3015,189 - 247,616 |
|
4,047 |
2,0117 |
0,897 |
|
0,804 |
|||
» |
|
|
|
*Х2 |
|
|
|
|
|
|
|
||
ОАО ТранкКК |
|
ВПр+Ам |
*Х4 |
|
4,047 |
2,0117 |
0,932 |
|
0,869 |
||||
|
|
|
Y2 = 3598,474 - 22159,2 |
|
|||||||||
|
|
|
|
|
* Х4 |
|
|
|
|
|
|
|
|
|
|
|
ЧПр |
Y3 = 156,6953 - 5555,15 |
4,047 |
2,0117 |
0,807 |
|
0,689 |
||||
« |
|
|
|
|
|
|
|
|
|
|
|
|
|
|
ЧПр+Ам |
Y4 = 4903,67 - 49855,1 |
|
4,047 |
2,0117 |
0,913 |
|
0,834 |
|||||
|
|
|
|
|
|||||||||
|
|
|
|
|
*Х4 |
|
|
|
|
|
|
|
|
|
|
|
ВПр |
Y1 = 6512,439-440,73 |
|
4,047 |
2,0117 |
0,936 |
|
0,877 |
|||
|
ГАТПОАО №6 |
|
|
|
*Х2 |
|
|
|
|
|
|
|
|
|
|
ВПр+Ам |
Y2 = 6865,556-307,373* |
4,047 |
2,0117 |
0,902 |
|
0,813 |
|||||
|
|
|
|
|
Х2 |
|
|
|
|
|
|
|
|
|
|
|
ЧПр |
Y3 = 4337,507-36,658 * |
|
3,1996 |
2,0129 |
0,826 |
|
0,683 |
|||
|
|
|
|
|
Х2 - 37,707 * Х3 |
|
|
|
|
|
|
|
|
|
|
|
ЧПр+Ам |
Y4 = 2399,829 – |
|
4,047 |
2,0117 |
0,856 |
|
0,732 |
|||
|
|
|
|
|
7350,059 * Х4 |
|
|
|
|
|
|
|
|
|
|
|
|
|
|
|
|
|
|
|
Таблица 3.7 |
||
|
|
|
Прогноз показателя «Коэффициент технической готовности» для |
||||||||||
|
|
|
|
|
крупных и средних ГАТП |
|
|
|
|||||
|
|
|
|
|
|
|
|
|
|||||
|
|
Для крупных предприятий |
|
|
Для средних предприятий |
|
|||||||
|
|
|
|
|
|
|
|
||||||
|
упреждение |
|
прогноз (Z2) |
|
упреждение |
|
прогноз(Z2) |
||||||
|
|
1 |
|
0,697 |
|
|
1 |
|
|
0,606 |
|
||
|
|
2 |
|
0,702 |
|
|
2 |
|
|
0,610 |
|
||
|
|
3 |
|
0,707 |
|
|
3 |
|
|
0,613 |
|
||
|
|
4 |
|
0,712 |
|
|
4 |
|
|
0,617 |
|
||
|
|
5 |
|
0,717 |
|
|
5 |
|
|
0,620 |
|
||
|
|
6 |
|
0,722 |
|
|
6 |
|
|
0,624 |
|
||
|
|
7 |
|
0,727 |
|
|
7 |
|
|
0,628 |
|
||
|
|
8 |
|
0,732 |
|
|
8 |
|
|
0,631 |
|
||
|
|
9 |
|
0,738 |
|
|
9 |
|
|
0,635 |
|
||
|
|
10 |
|
0,743 |
|
|
10 |
|
|
0,638 |
|
||
|
|
11 |
|
0,748 |
|
|
11 |
|
|
0,642 |
|
||
|
|
12 |
|
0,753 |
|
|
12 |
|
|
0,646 |
|
||
102