Материал: 134

Внимание! Если размещение файла нарушает Ваши авторские права, то обязательно сообщите нам

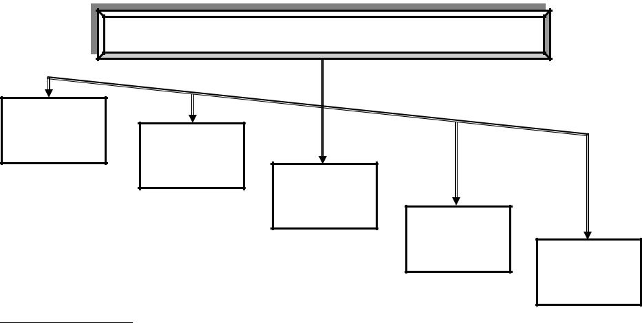
Схема 37

ОСНОВНЫЕ ПРИЁМЫ УСТАНОВЛЕНИЯ ПСИХОЛОГИЧЕСКОГО КОНТАКТА С ДОПРАШИВАЕМЫМ (ПРИ ДОПРОСЕ В КОНФЛИКТНОЙ СИТУАЦИИ)

Убедить допрашиваемого в объективности следователя

(внушить ему уважение к следователю)

Проявлять заботу о соблюдении прав допрашиваемого и об удовлетворении

его законных интересов

Создать и поддерживать в ходе допроса спокойную деловую обстановку, без излишней напряжённости

Вызвать у допрашиваемого интерес к даче показаний,

кпроцессу общения со следователем

Проявлять при допросе тактичность, выдержанность, соблюдать культуру речи и т. д.

41

Схема 38

ПРИЁМЫ УСТАНОВЛЕНИЯ ВИНОВНОЙ ОСВЕДОМЛЁННОСТИ ДОПРАШИВАЕМОГО ОБ ОБСТОЯТЕЛЬСТВАХ ПРЕСТУПЛЕНИЯ (ПРИ ДОПРОСЕ В КОНФЛИКТНОЙ СИТУАЦИИ)

Создание у допрашиваемого преувеличенного представления об осведомлённости следователя

Сокрытие следователем до определённого момента своей осведомлённости

о событиях, связанных с преступлением

Постановка вопросов, отвечая на которые допрашиваемый незаметно для себя выдаёт свою виновную осведомлённость

42

Схема 39

ПОРЯДОК ОЧНОЙ СТАВКИ

Предупреждение свидетеля или потерпевшего об уголовной ответственности за уклонение или отказ от дачи показаний и за дачу заведомо ложных показаний

Вопрос обоим участникам – знают ли они друг друга, с какого времени и какие у них взаимоотношения

Предложение лицу, дающему, по мнению следователя, правдивые показания, рассказать о событии, в отношении которого в показаниях участников очной ставки имеются противоречия

Вопрос другому участнику – подтверждает ли он показания первого участника очной ставки

Вопрос первому участнику – настаивает ли он на своих показаниях (при отрицательном ответе на предыдущий вопрос)

Вопрос обоим участникам – имеют ли они вопросы друг к другу, хотят ли дополнить свои показания

Фиксация хода и результатов очной ставки

Примечание: фиксация может осуществляться с самого начала очной ставки, по мере получения соответствующей информации

43

ТАКТИКА ПРЕДЪЯВЛЕНИЯ ДЛЯ ОПОЗНАНИЯ

Схема 401

ВИДЫ ПРЕДЪЯВЛЕНИЯ ДЛЯ ОПОЗНАНИЯ1

Людей

Трупа

Предметов

Животных

и их трупов

Помещений и участков местности

1 Любой объект для опознания может предъявляться как в натуре, так и в виде фотоизображения.

44

Схема 41

ПОДГОТОВКА К ПРЕДЪЯВЛЕНИЮ ДЛЯ ОПОЗНАНИЯ

Предварительный допрос опознающего и лица, которое будет предъявлено для опознания

Подбор объектов, при необходимости – их реконструкция

Определение времени и места предъявления для опознания, подготовка места проведения следственного действия

Подбор понятых, при необходимости – подбор специалиста

Подготовка средств фиксации хода и результатов предъявления для опознания

При необходимости – обеспечение охраны (если предъявляемый находится под стражей)

45