Материал: 1210

Внимание! Если размещение файла нарушает Ваши авторские права, то обязательно сообщите нам

86

Дельта-модуляция складывается из дискретизации во времени, принцип которой поясняется ниже, квантования дискретных отсчетов, при котором каждый последующий квантованный отсчет отличается от предыдущего наa (где a — шаг шкалы квантования) и кодирования квантованных от-

счетов двоичным дельта - кодом, формирование которого подробно описано ранее (см. п. 15.2).

Квантование в случае ДМ осуществляется построением ступенчатой функции a t таким образом, что в каждый дискретный момент времени

осуществляется сравнение последней с сообщением a(t). При а a t a t

Рисунок 3.3 – Структурные схемы формирователя с импульсно-кодовой модуляцией и дельта - модуляцией

ступенчатая функция увеличивается, а при a t a t уменьшается на a (рис. 3.2, б). При этом дельта -кодирование осуществляется вычитанием предшествующего значения a t из последующего по правилам обычной

арифметики. Соответствующая схема устройства показана на рис.3.3, б. Интервал дискретизации времени t выбирают так, чтобы ступенчатая функция

a t успевала следить за изменениями сообщения a t . Если можно считать, что максимальное значение крутизны изменения сообщения составляет a t max , то для этого необходимо, чтобы выполнялось соотношение

Если практически максимальное значение сообщения составляет a t max и сообщение однополярно, то

87

4УПЛОТНЕНИЕ ЛИНИЙ ПЕРЕДАЧИ ИНФОРМАЦИИ

4.1Элементы теории разделения сигналов

Врассмотренном материале предполагалось, что передача информации осуществляется по одному каналу, в то время как на практике типовой системой передачи информации является многоканальная. Методы уплотнения линий передачи информации - это методы построения многоканальных систем.

Основная проблема теории многоканальных систем - создание методов эффективного разделения канальных сигналов. В роли канальных сигналовпереносчиков используют ортогональные сигналы: гармонические колебания, импульсные последовательности и т.д. В роли параметров селекции сигналов используют частоту, фазу, форму сигналов, время поступления сигналов и т.д.

На практике применяют частотное, временное, кодовое, фазовое, амплитудное и другие способы разделения сигналов.

4.2Частотное разделение сигналов

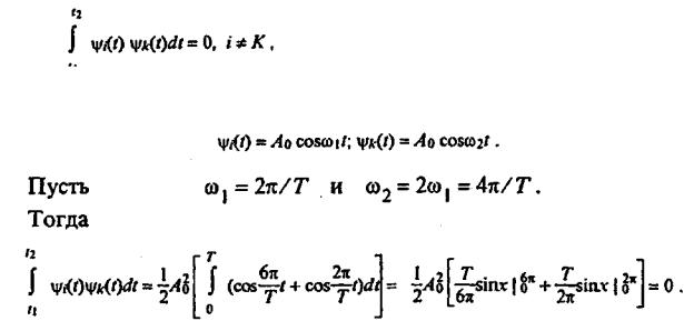
При частотном разделении канальных сигналов переносчики имеют различные частоты, поэтому модулированные сигналы занимают неперекрывающиеся полосы частот в общей полосе линии передачи и являются ортогональными. Выделение канальных сигналов в приемнике производится с помощью полосовых фильтров. Центральные частоты фильтров соответствуют частотам переносчиков, а полосы прозрачности — ширине спектров модулированных сигналов. Можно легко аналитически доказать ортогональность сигналов при частотном разделении, используя известное соотношение:

где для рассматриваемого случая интеграл существования сигнала берется от 0 до Т, а сигналы i t и k t имеют вид

88

Основные достоинства частотного разделения сигналов: простота реализации, высокая помехоустойчивость, возможность организации произвольного числа каналов; недостатки: неизбежное расширение полосы используемых частот при увеличении числа каналов, относительно низкая эффективность использования полосы частот линии из-за потерь на "расфильтровку", большое чис-

ло применяемых фильтров.

4.3 Временное разделение сигналов

Сущность временного разделения канальных сигналов заключается в том, что все каналы поочередно во времени используют одну и ту же полосу частот. Такое разделение удобно применять при импульсной модуляции, когда из-за большой скважности импульсов в одном канале образуется большой интервал времени, в течение которого можно разместить импульсы других каналов. В этом случае при форме записи сигналов в виде

зывает ортогональность выбранных сигналов.

Достоинством временного разделения сигналов является высокая помехоустойчивость; недостатки: необходимость обеспечения синхронной работы коммутаторов каналов передатчика и приемника, необходимость увеличения полосы занимаемых частот с увеличением числа каналов ввиду уменьшения длительности передаваемых импульсов.

В случае частотно-временного разделения канальных сигналов соче-

тают методы частотного и временного разделения каналов. Сначала сигналы разделяют во времени, затем образовавшиеся группы каналов подают на вход системы с частотным разделением, в котором каждая группа работает на своем несущем колебании.

4.4 Кодовое разделение сигналов

При таком разделении для передачи информации используется одна и та же полоса частот в одни и те же интервалы времени. В каналах при этом используются различные кодовые комбинации. В качестве сигналовпереносчиков используют ансамбль сигналов, обладающих хорошими корреляционными свойствами, прежде всего малыми значениями взаимно-

89

корреляционной функции. Однако нахождение таких ансамблей сигналов является достаточно сложной задачей, поэтому при кодовом разделении сигналов трудно достичь истинной ортогональности сигналов. В результате возникают значительные межканальные помехи.

Таким образом, каждый из вариантов разделения каналов обладает определенными достоинствами и недостатками, поэтому в зависимости от предъявляемых к многоканальным системам передачи требований выбирают тот или иной вариант.

5СПИСОК РЕКОМЕНДУЕМОЙ ЛИТЕРАТУРЫ

1.Радиопередающие устройства /Под ред. В.В. Шахгильдяна. - М.: Радио и связь,2003.-560с.

2.Криницин В.В., Логвин А.И. Формирование и передача сигналов в авиационных радиоустройствах – М.: Транспорт,1998. – 247 с.

3.Генераторы высоких и сверхвысоких частот: Учеб. пособие / О.В. Алексеев, А.А. Головков, А.В. Митрофанов и др. – М.: Высш. шк., 2003. – 326 с.

4.Каганов В.И., Битюгов В.К. Основы радиоэлектроники и связи: учебное пособие для вузов. – М: Горячая линия – Телеком, 2006. – 542 с.

5.Дегтярь Г.А. Устройства генерирования и формирования сигналов: Учебное пособие в 2 –х частях: – Новосибирск: НГТУ, 2005.

6.Петров Б.Е., Романюк В.А. Радиопередающие устройства на полупроводниковых приборах. - М.: Высшая школа, 1989.- 232 с.

7.Устройства генерирования и формирования радиосигналов / Под ред. Г.М.Уткина, В.Н.Кулешова, М.В.Благовещенского. - М.: Радио и связь,

1994-416 с.

8.Функциональные устройства формирования сигналов / Под ред. С.А. Баруздина, Ю.В.Егорова, Б.А. Калиникос и др. - М.: Радио и связь, 1995-

288 с.

9.Проектирование радиопередатчиков / Под ред. В.В. Шахгильдяна. - М.: Радио и связь, 2000. - 656 с.

10.Ильин А.Г. Устройства формирования сигналов Часть 1. Генераторы с внешним возбуждением. Автогенераторы: Учебное пособие. - Томск: Томский межвузовский центр дистанционного образования, 2001. - 92 с.

90

11.Бордус А.Д. Устройства формирования сигналов. Часть 2. Модуляция: Учебное пособие. - Томск: Томский межвузовский центр дистанционного образования, 2001.

12.Радиопередающие устройства / Под ред М. В. Благовещенского, Г. М. Уткина, - М.: Радио и связь, 1982. - 407 с.

13.Волин М. Л. Паразитные процессы в радиоэлектронной аппаратуре. — М.: Сов.радио. 1972. — 279 с.

14.Козлов Б. А., Ушаков И. А. Справочник по расчету надежности аппаратуры радиоэлектроники и автоматики. — М.: Сов.радио. 1975. — 470 с.

15.Теория и надежность радиоэлектронных систем / Под ред. Г. В. Дружинина. — М.: Энергия, 1976. — 455 с.

16.Каннингхем К., Кокс В. Методы обеспечения ремонтопригодности: Пер. с англ. — М.: Сов.радио, 1978. — 310 с.

17.Надежность и живучесть систем связи / Б. Я. Дудник, В. Ф.Овчаренко, В. К. Орлов и др.; Под ред. Б. Я. Дудника. — М.: Радио и связь, 1984. — 213с.

18.Тараненко А. Д. Требования к надежности радиопередающих устройств //Электросвязь. — 1975. — №6. — С. 27 — 32.

19.ГОСТ 27.002 – 89. Надежность в технике. Термины и определения. 20.ГОСТ 25359 – 82. Изделия электронной техники. Общие требования по

надежности и методы испытаний.