СПБГУАП | Институт 4 группа 4736
введенных в разработку балансовых запасов нефти, должны определяться отдельно и целиком относиться к методу гидродинамического воздействия. Использование характеристик вытеснения по отдельным скважинам для оценки эффективности гидродинамических методов увеличения нефтеотдачи является весьма условным из-за существенных изменений режима работы каждой из них в течение периода эксплуатации и взаимовлияния работы окружающих скважин. В связи с этим использование скважинных характеристик вытеснения для оценки технологической эффективности гидродинамического воздействия не рекомендуется. Для методов гидродинамического воздействия, предусматривающих вовлечение в активную разработку недренируемых запасов нефти, в начальный период разработки объекта рекомендуется применение дифференциальных характеристик вытеснения ввиду низкой обводненности продукции. Для определения количественной эффективности гидродинамических методов увеличения текущей и конечной нефтеотдачи могут использоваться характеристики вытеснения различного вида, основными из которых являются следующие:
1.
(предложена Назаровым С.Н. и Сипачевым Н.В.)
2.
(предложена Камбаровым Г.С. и др.)
3.
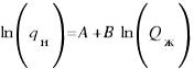
(предложена Пирвердяном A.M. и др.)
4.
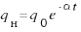
(предложена Казаковым А.А.)
5.
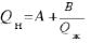
(предложена Черепахиным Н.А. и Мовмыгой Г.Т.)
6.
(предложена Сазоновым Б.Ф.)
Контакты | https://new.guap.ru/i03/contacts
СПБГУАП | Институт 4 группа 4736
7.
(предложена Максимовым М.И.)
8.
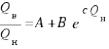
(предложена Гарбом Ф.А. и Циммерманом Э.Х.)
9.
(предложена Французским институтом)
10.
11.
12.
13.
14.
,
где:
- накопленная с начала разработки добыча нефти,
воды, жидкости соответственно;
- добыча нефти, воды, жидкости по годам разработки
соответственно;
- коэффициенты, определяемые статистической
обработкой фактических данных;
- среднегодовая доля нефти в добываемой жидкости;
- годовая добыча нефти за первый год рассматриваемого
периода;
- время, годы;
- балансовые запасы нефти в пластовых условиях;
Контакты | https://new.guap.ru/i03/contacts
СПБГУАП | Институт 4 группа 4736
- коэффициент извлечения нефти.
Интегральные характеристики вытеснения видов (2), (3), (6), (13) и дифференциальные характеристики вытеснения видов (10), (11), (12) и (14) являются наиболее простыми и удобными при «ручной» обработке данных для определения эффективности гидродинамического воздействия. Остальные виды характеристик вытеснения при «ручной» обработке фактических данных для количественной оценки эффекта от ГМПН требуют гораздо больших объемов вычислений или использования методов подбора различных величин и коэффициентов.
В этих случаях рекомендуется «машинная» обработка исходных данных с использованием ЭВМ, для чего необходимо составить для компьютера программу для выбора наилучшего вида характеристики вытеснения. Дифференциальные характеристики вытеснения вида (11) и (12) для построения базового варианта и определения эффективности гидродинамического воздействия рекомендуется применять в период безводной добычи нефти. Коэффициенты
и
для этих характеристик вытеснения целесообразно определять с учетом сложившегося коэффициента падения дебитов нефти по рассматриваемому объекту до начала гидродинамического воздействия. В некоторых случаях коэффициент
для характеристики вытеснения вида (11) определяется как отношение средней начальной годовой добычи нефти одной скважины к извлекаемым запасам нефти на одну скважину. Физически содержательная математическая модель (геолого-технологическая модель) процесса разработки пласта представляет собой систему дифференциальных уравнений, отражающих фундаментальные законы сохранения массы, импульса, энергии, которые с наибольшей полнотой на сегодня описывают изучаемый процесс. Система уравнений дополняется начальными и граничными условиями, включающими управляющие воздействия на скважинах. Особо следует отметить, что система уравнений с дополнительными условиями описывает фильтрационный процесс в области, которая, в свою очередь, является
Контакты | https://new.guap.ru/i03/contacts
СПБГУАП | Институт 4 группа 4736
моделью реального геологического объекта, отличающегося, как правило, сложным строением. Эту модель называют геолого-математической моделью объекта разработки.
Контакты | https://new.guap.ru/i03/contacts
СПБГУАП | Институт 4 группа 4736
5. Безопасность и экологичность проекта
5.1 Охрана труда, техника безопасности и противопожарные мероприятия
На предприятиях нефтепродуктообеспечения проводятся операции по хранению, отпуску и приему нефтепродуктов, многие из которых токсичны, хорошо испаряются, способны электризоваться, пожаро- и взрывоопасны. При работе на предприятиях отрасли возможны следующие основные опасности: возникновение пожара и взрыва при разгерметизации технологического оборудования или трубопроводов, а также при нарушении правил их безопасной эксплуатации и ремонта; отравление работников вследствие токсичности многих нефтепродуктов и их паров, особенно этилированных бензинов; травмирование работников вращающимися и движущимися частями насосов, компрессоров и других механизмов в случае отсутствия или неисправности ограждения; поражение электрическим током в случае нарушения изоляции токоведущих частей электрооборудования, неисправности заземления, неприменения средств индивидуальной защиты; повышенная или пониженная температура поверхности оборудования или воздуха рабочей зоны; повышенный уровень вибрации; недостаточная освещенность рабочей зоны; возможность падения при обслуживании оборудования, расположенного на высоте. При обслуживании оборудования и проведении его ремонта запрещается: применение открытого огня для подогрева нефтепродуктов, отогревания арматуры и т. п.; эксплуатация неисправного оборудования; эксплуатация и ремонт оборудования, трубопроводов и арматуры с нарушением правил техники безопасности, при наличии утечек нефтепродуктов через неплотности в соединениях и уплотнениях или в результате износа металла; применение для открытия и закрытия запорной арматуры каких-либо рычагов (ломов, труб и т. п.); ремонт электрооборудования, не отключенного от электросети; чистка
Контакты | https://new.guap.ru/i03/contacts