ФЕДЕРАЛЬНОЕ АГЕНТСТВО ЖЕЛЕЗНОДОРОЖНОГО
ТРАНСПОРТА
Федеральное государственное бюджетное образовательное учреждение
высшего образования
«Петербургский государственный университет путей сообщения
Императора Александра I»
(ФГБОУ ВО ПГУПС)
Факультет «Транспортное строительство»
Кафедра «Изыскания и проектирование железных дорог»
Специальность - 23.05.06 «Строительство железных дорог, мостов и транспортных тоннелей»
Специализация – «Строительство магистральных железных дорог»
ТИПОВАЯ ЗАДАЧА
тема: «Расчет длины переходной кривой»
Форма обучения – очная
Выполнил обучающийся
Курс 5
Группа СЖД-504 _______________________ Р.В. Руденко
подпись, дата И.О.Ф.
Руководитель _______________________ Н.С. Бушуев
подпись, дата И.О.Ф.
Санкт-Петербург
2019
Расчеты
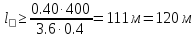
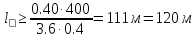
Расчет параметров при aн = -0,3 м/с2 (h=71 мм, R=14800 м) при условии равномерного износа рельсовых нитей
Длина переходной кривой, должна удовлетворять следующим условиям:
|
|
(1) |
|
|
(2) |


Vmax – максимальная скорость, км/ч
f- скорость подъема колеса по возвышению
ψ - скорости нарастания непогашенного поперечного ускорения.
Максимально допускаемая скорость нарастания непогашенного ускорения ψ в пределах переходной кривой с учетом отечественного опыта не должна превышать 0,4 м/с3
aн – фактическое значение соответственно непогашенного ускорения для высокоскоростного поезда м/с2.
Принимаем величину переходной кривой l=290 м.
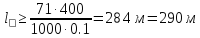
Расчет параметров при aн = -0,6 м/с2 (h=129 мм, R=10400 м)
Длина переходной кривой, должна удовлетворять следующим условиям:
|
|
(1) |
|
|
(2) |


Принимаем величину переходной кривой l=520 м.
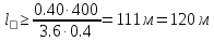
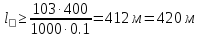
Расчет параметров при aн = -0,6 м/с2 (h=103 мм, R=12000 м) при условии равномерного износа рельсовых нитей.
Длина переходной кривой, должна удовлетворять следующим условиям:
|
|
(1) |
|
|
(2) |


Принимаем величину переходной кривой l=420 м.
Вывод
Рекомендовано для разработки вариантов проектных решений:
При aн = -0,3 м/с2 (при условии равномерного износа рельсовых нитей) длина переходной кривой l=290 м, возвышение наружного рельса h=71 мм, радиус круговой кривой R=14800 м.
При aн = -0,6 м/с2 (без учета равномерного износа рельсовых нитей)
длина переходной кривой l=520 м, возвышение наружного рельса h=129 мм, радиус круговой кривой R=10400 м.
При aн = -0,6 м/с2 (при условии равномерного износа рельсовых нитей)
длина переходной кривой l=420 м, возвышение наружного рельса h=103 мм, радиус круговой кривой R=12000 м.