Материал: Забарвлення та білість деревної маси

Внимание! Если размещение файла нарушает Ваши авторские права, то обязательно сообщите нам

Забарвлення та білість деревної маси

МІНІСТРЕСТВО ОСВІТИ ТА НАУКИ УКРАЇНИ

НАЦІОНАЛЬНИЙ ТЕХНІЧНИЙ УНІВЕРСИТЕТ УКРАЇНИ

«Київський політехнічний інститут»

ІНЖЕНЕРНО-ХІМІЧНИЙ ФАКУЛЬТЕТ

КАФЕДРА ЕКОЛОГІЇ ТА ТЕХНОЛОГІЇ РОСЛИННИХ ПОЛІМЕРІВ








ДОМАШНЯ КОНТРОЛЬНА РОБОТА

З дисципліни: «Технологія виробництва деревної маси»

На тему: «Забарвлення та білість деревної маси»


Виконав студент

Рудзей Ф.П.





Київ 2016

Вступ

Деревна маса - це волокнистий напівфабрикат, одержаний із деревини механічним способом. Деревна маса є найбільш дешевим напівфабрикатом для виробництва паперу й картону. В результаті механічної обробки (стирання) деревини хімічний склад її мало змінюється. А тому нецелюлозні компоненти, які залишаються в деревній масі, негативно впливають на якість паперу. За показниками механічної міцності деревна маса поступається целюлозі, її не використовують для виготовлення паперу, що довго зберігається.

Залежно від технологічного способу оброблення деревини одержують деревну масу декількох видів: білу та буру деревну масу, хімічну термомеханічну та термомеханічну.

Деревна маса має жовтувато-сірий відтінок, а тому для використання як напівфабрикату для виробництва паперу й картону високої білості її відбілюють в розчинах перекису водню, перекису натрію або інших відбілювачах.

Характерна особливість відбілювання деревної маси полягає в досягненні оптичного ефекту підвищення білизни без видалення лігніну. Це дозволяє зберегти високий вихід напівфабрикату. Негативні наслідки відбілювання: неможливість відбілювання до досягнення високої білизни, порівнянної з показниками біленої целюлози; нестабільність білизни, поступове старіння і пожовтіння напівфабрикату (реверсія білизни).

1. Деревна маса як об’єкт вибілювання

Низька білість деревної маси яка зазвичай не перевищує 65 %, обумовлена здатністю лігніну поглинати електромагнітні випромінювання у видимій області спектра. Вибілювання підвищує загальну здатність відбивати та вирівнює відносні інтенсивності відбивання видимого світла з різною довжиною хвилі.

Характерна особливість вибілювання деревної маси полягає в досягненні оптичного ефекту підвищення білості без видалення лігніну. Позитивним наслідком цієї особливості є збереження високого виходу напівфабрикату, а негативним - неможливість вибілювання до досягнення високої білості, порівняно з показниками вибіленої целюлози та нестабільність білості, поступове старіння і пожовтіння напівфабрикату (реверсія білості).

Оскільки деревна маса має сильно розвинуту зовнішню питому поверхню, то її використання в композиції паперу значно впливає на білість паперу.

Кінцевий результат вибілювання деревної маси дуже залежить від білості початкової деревної маси. Значний вплив на білість напівфабрикату мають наступні чинники;

·        порода деревини та якість сировини;

·        спосіб одержання деревної маси;

·        температура на всіх етапах технологічного процесу.

Породний склад деревної сировини є важливим чинником формування білості.

Найвищу білість мають волокнисті напівфабрикати з ялини та осики. Обидві породи, за сприятливих умов постачання та зберігання, забезпечують одержання дефібрерної деревної маси з білістю до 65 %, а термомеханічної маси - з білістю до 59 %. Приблизно з такою ж, чи трохи меншою білістю одержують напівфабрикати із тополі. Із деревини сосни та берези одержують масу значно нижчої білості. Зокрема, білість ТММ з берези становить всього 45 %.

Спільне розмелювання деревини різних порід призводить до зменшення білості порівняно з показником для кожного із напівфабрикатів, одержаних у випадку окремого розмелювання сировини.

Суттєвий вплив на білість мають екстрактивні речовини: на кожні ОД % екстрактивних речовин зменшення білості деревної маси становить приблизно 3,7 %.

У разі перероблення свіжозрубаної деревини завади одержують світлішу деревну масу. Тривале зберігання деревини зменшує білість, навіть якщо відсутні признаки гниття; зрозуміло, що поява забарвленої гнилі, призводить до значного погіршення білості напівфабрикатів, які виробляються, і до ускладнень під час наступного вибілювання. Кожний місяць зберігання супроводжується втратою білості в середньому на 2 %.

Спосіб одержання напівфабрикату також значно впливає на показник білості.

Напівфабрикати, які одержані без використання хімікатів, за ступенем білості розміщуються наступним чином: ДДМ > РДМ > ДМТ > ТММ. Різниця в білості між ними становить 2-3 одиниці.

Білість ХТММ та ХММ залежить від виду та кількості реагентів, які використовуються для оброблення.

Попереднє оброблення деревини ялини сульфітом натрію підвищує білість напівфабрикатів, які виробляються. Наприклад, за витрати сульфіту 2 %, білість ХТММ з ялини збільшується на 3 одиниці порівняно з ТММ з тієї ж сировини, а збільшення витрати сульфіту вдвічі дає приріст білості на 5 одиниць.

Використання гідроксиду натрію та інших лужних реагентів у виробництві хімічних напівфабрикатів з деревини листяних порід зменшує білість.

Підвищення температури оброблення на всіх стадіях виробництва має негативний вплив на білість напівфабрикатів. Особливо сильно проявляється вплив температури від 120 °С і більше.

2. Природа забарвлення деревної маси та принципи вибілювання

Відчуття кольору виникає у разі впливу на зоровий нерв електромагнітних випромінювань з довжиною хвилі від 400 до 760 нм. Об’єкт сприймається білим, якщо він однаковою мірою відбиває світло всієї видимої області спектра; чорним - у разі повного поглинання світла у видимій області; сірим - у разі часткового, але однакового поглинання світла у всій видимій області; забарвленим - у випадку вибіркового поглинання випромінювання частини видимого спектра.

Групи атомів, які обумовлюють поглинання світла, називаються хромофорами, а речовини, що їх містять - хромогенами. Довжина хвилі випромінювання, що поглинається, визначається енергією електронного переходу (енергією збудження), а інтенсивність поглинання - вірогідністю електронного переходу, тобто вірогідністю того, що під час взаємодії з випромінюванням молекула перейде в збуджений стан. Ці електронні переходи є внутрішньомолекулярним перерозподілом електричних зарядів.

До числа хромофорів органічних сполук належать карбонільні групи, подвійні зв’язки та деякі інші структури. Найлегше здійснюються переходи за участю рухливих тг-електронів подвійних зв’язків. Делокалізація цих електронів вимагає найменших електричних витрат.

За наявності в молекулах органічних сполук лише простих або ізольованих подвійних зв’язків поглинання світла відбувається в далекій ультрафіолетовій області спектра, незалежно від кількості зв’язків. Воно зміщується в область довгих хвиль лише у разі утворення відкритих або замкнутих систем (ланцюжків) спряжених подвійних зв’язків. Це зміщення тим суттєвіше, чим довша система сполучення, тобто чим більше можливостей для деяокалізації рухливих я-електронів по ланцюжку сполучення.

Приєднання електронодонорних чи електроноакцепторних замісників, які поляризують, до спряженої системи викликає постійне, незалежне від дії світла, зміщення тс-е лектрон і в, тобто підсилює їх делокалізацію в основному стані. Внаслідок цього можливе різке збільшення інтенсивності поглинання світла. Замісники, які поляризують, підсилюють поглинання світла хромофорами, називаються ауксохромами.

Відбивання світла невибіленою деревною масою дещо більше в червоній області спектра (600 - 700 нм), воно поступово зменшується в напрямку синьої та фіолетової областей. Тому колір невибіленої деревної маси має явно виражений жовтий відтінок.

Основні (за масовою часткою) компоненти деревини - полісахариди - майже не поглинають видимого світла, вони практично безбарвні. Забарвлення деревних матеріалів обумовлене наявністю хромофорних і ауксохромних угруповань в структурі лігніну та деяких екстрактивних речовин.

Найсуттєвіший вплив на поглинання світла лігніном мають сполучені з ароматичним ядром карбонільні групи і подвійні зв’язки бічного пропанового ланцюга (структури типу І, II, III, IV). Ауксохромний ефект підсилюється фенольними гідроксилами, які є в нативному лігніні, а також хромогенними групами вторинного походження типу о-хінону (V), семихінону (VI), хінонметиду (VII). Хіноїдні структури можуть утворюватися в лігніні під час нагрівання, а також внаслідок дії хімічних реагентів, особливо лугів.

До екстрактивних речовин деревини, які містять сильні хромофорні системи, належать поліфеноли, зокрема флавоноїди (кверцетин, дигідро- кверцетин, аромадендрин, таксифолін та інші), які мають інтенсивне жовте забарвлення.

Основна мета вибілювання механічної маси - надання їй стабільного білого забарвлення завдяки знебарвленню компонентів, зокрема екстрактивних речовин та лігніну, без його розпаду на низькомолекулярні фракції і видалення із напівфабрикату. Одночасно мають зберігатися високий вихід і відносно невелика забрудненість стічної води. Однак, вибілювання волокнистих напівфабрикатів високого виходу із збереженням лігніну має і негативні наслідки:

неможливість вибілювання волокнистих напівфабрикатів високого виходу до високого ступеня білості, спів ставного з вибіленою целюлозою;

низька стабільність білості та пожовтіння паперу, який містить в композиції механічну масу.

Рис. 1.1

Вибілювання деревної маси зводиться до руйнування або модифікації хромофорних та ауксохромних структур з таким розрахунком, щоб смуга поглинання світла змістилась в ультрафіолетову невидиму область спектра. Цього можна досягти такими способами:

·        руйнуванням спряжених зв’язків між окремими хромогенами;

·        зміною хімічної структури хромогенів;

·        видаленням ауксохромів;

·        руйнуванням зв’язків ауксохромів з хромогенами.

Найпростішими і найдоступнішими для використання в промисловості реагентами, які дозволяють здійснювати реакції вибілювання, є відновники (днтіоніти, діоксид сірки, сірчиста кислота та її кислі та середні солі, боргідрид натрію) і окисники (гіпохлорите, пероксиди, надкислоте).

Приклади модифікації хромофорів під дією вибілювальних реагентів показано на рис. 1.2

Рис. 1.2 Приклади модифікації хромофорів під дією пероксиду водню та дитіоніту натрію

Сучасні системи вибілювання волокнистих напівфабрикатів високого виходу дозволяють одержувати напівфабрикати з білістю 80 - 82 % із хвойних та 85 - 87 % із листяних порід деревини.

. Реверсія білості

Одним з недоліків деревної маси є поступове зменшення білості та пожовтіння під час зберігання. Під впливом зовнішніх чинників (світла, вологи, тепла, хімічних реагентів) відбувається старіння паперу, до складу якого входить як вибілена, так і невибілена деревна маса. Внаслідок цього папір жовтіє і темнішає, становиться крихким і ламким.

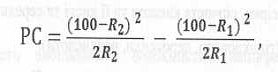
Кількісною характеристикою стійкості білості волокнистих напівфабрикатів є показник реверсії білості PC (postcolor number) в умовах штучного прискореного старіння в лабораторних умовах, %:


де R1 і R2 - ступінь білості відповідно до і після штучного старіння, %.

Для штучного старіння використовують різні способи впливу; опромінення у видимій та ультрафіолетовій області спектра (сонячним світлом, ртутною, дуговою, ксеноновою лампами), нагрівання в сухій або вологій атмосфері та інше. У країнах СНД стандартним методом є витримування зразка в кліматичній камері за температури 105 °С протягом 72 годин.

Вибілювання деревної маси не усуває її здатності старіти під час зберігання і не завжди підвищує стабільність білості. Вибілена механічна маса значно легше піддається впливу тепла та світла порівняно з вибіленою целюлозою, оскільки під час вибілювання пероксидом, дитіонітом та іншими вибілювальними реагентами лігнін не видаляється і не змінюється. Це один із основних недоліків волокнистих напівфабрикатів високого виходу, який перешкоджає використанню їх у багатьох видах паперу.

Вуглеводна частина волокнистих напівфабрикатів високого виходу під час опромінення зазнає деяких хімічних перетворень: підвищується мідне число внаслідок руйнування вуглеводів, збільшується їх розчинність в лугах. Опромінення ультрафіолетовим світлом руйнує зв’язки між геміцелюлозами та лігніном, внаслідок чого з’являються забарвлені речовини із фракції лігніну, відбувається часткова деградація вуглеводів. Можна припустити, що геміцелюлози є захисним середовищем для лігніну від дії світла та повітря. Якщо волокна механічної маси захистити вуглеводами, то ефект пожовтіння маси значно зменшиться.

Слід враховувати і вплив екстрактивних речовин на пожовтіння вибілених волокнистих напівфабрикатів високого виходу. Встановлено, що механічна маса жовтіє значно більше, ніж лігнін. Отже, екстрактивні речовини навіть значно більше, ніж лігнін, можуть викликати пожовтіння вибіленої маси, якщо врахувати їх незначний вміст в напівфабрикаті.

Найменша стабільність білості притаманна напівфабрикатам, вибіленим із застосуванням відновників. У присутності кисню відновлені хромофорні структури знову окиснюються І набувають забарвлення. Зменшенню білості сприяє вплив електромагнітного випромінювання (особливо ультрафіолетового) та присутність навіть незначної кількості іонів заліза, міді, марганцю, деяких інших металів.


. Вплив іонів металів на білість деревної маси

І деревна маса, і обігова вода містять значну кількість іонів металів, переважно заліза, міді, марганцю, свинцю, цинку, лужних і лужноземельних металів. Деякі з них помітно впливають на вибілювання, величину та стабільність білості. Основними джерелами іонів металів в масі є:

·  зольні компоненти деревини;

·        конструкційні матеріали обладнання та трубопроводів;

·        виробнича вода та хімічні реагенти, що використовуються.

Завдяки наявності слабо кислих груп (головним чином, фенольних гідроксилів лігніну) деревна маса виявляє катіоиообмінні властивості з невеликою обмінною ємністю і з явно вираженою спорідненістю до тривалентних металів, менше вираженою спорідненістю до двовалентних важких металів і з незначною спорідненістю до лужних і лужноземельних металів.

Іони заліза сприяють значному потемнінню деревної маси. Вони можуть гідролізуватися з утворенням забарвлених гідроксидів. Крім того, залізо утворює темнозабарвдені комплекси за участю фенольних компонентів деревної маси. Введення всього лише 5 мг заліза (в формі тривалентного катіона) на 1 кг волокна здатне призвести до зменшення білості деревної маси на 2 одиниці. Білість, яка втрачена під впливом солей заліза, практично не піддається відновленню вибілюванням.

Іони марганцю не призводять до помітного зменшення білості деревної маси, оскільки, його комплекси з компонентами деревини менш забарвлені. Однак марганець є сильним каталізатором розкладання пероксиду водню на воду і кисень і є головною причиною високої витрати реагентів під час пероксидного вибілювання.