Материал: высшая математика1курс1сем

Внимание! Если размещение файла нарушает Ваши авторские права, то обязательно сообщите нам

1. i*j=k;

2. j*k=i;

3. k*i=j;

Свойства:

1)векторное произ при перестановке множителей меняет знак. ( )

2)два ненулевых вектора коллинеарны, когда их векторное произв =0.

Пункты: 1)условие коллиниарности: a//b => a*b=0;

2)нахождение S параллелограмма и S треуг. Sпар= sin . Sтр=0,5*

3)определение момента силы. |M|=|F|*|S|.

Теорема:

,

14. Смешанное произведение векторов. Определение. Вычисление. Свойства.

Смешанное произведение 3х векторов равно объёму параллелепипеда, построенного на этих векторах, взятого со знаком + (-), если эти векторы образуют правую (левую) тройку.

Свойства:

1)смешанное произв не меняется при циклической перестановке его множителей.

( .

2)смешанное произв меняет знак при перемене мест любых букв любых сомножителей

3)смешанное произ ненулевых векторов =0 тога, когда они компланарны.

Смешанное произ векторов = определителю 3-его порядка, составленного из координат перемноженных векторов.

Приложение. 1)определение взаимных ориентаций векторов в пространстве: если >0 ( <0), то правая (левая) тройка векторов

2)комплонарность векторов: компланарны, когда их произв =0.

3)Геометрический смысл: Vпараллелепипеда= . Vтр=1/6( ).

Вычисление: ,

15. Прямая на плоскости.

Простейшей из линий является прямая. Разным способам задания прямой соответствует в прямоугольной система координат разные виды ее уравнений.

  1. Уравнение прямой с угловым коэффициентом:

Пусть: tg =k, , тогда: y = kx + b.

Число tg =k называется угловым коэффициентом прямой, а уравнение – уравнением прямой с угловым коэффициентом.

2. Уравнение прямой, проходящей через данную точку в данном направлении

Пусть прямая проходит через точку М(Хо,Уо) и ее направление характеризуется угловым коэффициентом к.

Уравнение с различными значениями к называют также уравнениеми пучка прямых с центром в точке М(Хо,Уо).

3. Уравнение прямой, проходящей через две точки.

, уравнение прямой, проходящей через две точки М1(х1, у1) и М222)

4. Уравнение прямой в отрезках.

Пусть прямая пересекает ось Ох в точке М1(а,0), а ось Оу – в точке М2(0, b)

В этом случае уравнение примет вид:

  1. уравнение прямой, проходящей через данную точку перпендикулярно данному вектору.

- уравнение прямой, проходящей через заданную точку перпендикулярно заданному вектору.

5. нормальное уравнение прямой:

Угол между двумя прямыми и условия параллельности и перпендикулярности двух прямых:

Расстояние от точки до прямой:

16. Плоскость в пространстве.

Простейшей поверхностью является плоскость. Плоскость в пространстве можно задавать различными способами. Каждому из них соответствует определенный вид ее уравнения.

1. Уравнение плоскости, проходящей через данную точку перпендикулярно данному вектору:

Точка Мо(Хо, Уо), вектор

2. Уравнение плоскости, проходящей через три данные точки:

3. Нормальное уравнение плоскости: .

4. Угол между двумя плоскостями:

5. расстояние от точки до плоскости:

6. Уравнение плоскости в отрезках.

17. Прямая в пространстве.

1. Канонические уравнения прямой линии в пространстве, или уравнения прямой с направляющими коэффициентами, имеют вид:

.

где x0, y0, z0 - координаты точки, через которую проходит прямая, а m, n и p - направляющие коэффициенты прямой, которые являются проекциями на координатные оси Ox, Oy, Oz направляющего вектора прямой.

2. В параметрическом виде уравнения прямой линии в пространстве записываются так:

.

3. Общие уравнения прямой:

А1х +B1y + C1z + D1=0

A2x + B2y + C2z + D2=0

4. Векторное уравнение прямой:

5. уравнение прямой в пространстве, проходящей через две точки:

6. угол между прямыми:

18. взаимное расположение плоскостей.

Угол между двумя плоскостями. Условия параллельности и перпендикулярности двух плоскостей: пусть заданы две плоскости Q1 и Q2:

А1х +B1y + C1z + D1=0

A2x + B2y + C2z + D2=0

Под углом между плоскостями понимается один из двугранных углов, образованных этими плоскостями.

.

Если плоскости перпендикулярны, то таковы же их нормали, т.е. . Но тогда ,т.е.

A1A2 + B1B2 + C1C2 = 0. Полученное равенство есть условие перпендикулярности двух плоскостей.

Если плоскости параллельны, то будут параллельны и их нормали. Но тогда, как известно, координаты векторов пропорциональны: . Это и есть условие параллельности двух плоскостей.

19. Взаимное расположение прямых.

Угол между прямыми. Условия параллельности и перпендикулярности прямых.

Пол углом между этими прямыми понимают угол между направляющими векторами S1 и S2.

Для нахождения острого угла между прямыми L1 и L2 числитель правой части формулы следует взять по модулю.

Если прямые L1 и L2 перпендикулярны, то в этом и только в этом случае имеем cos =0. следовательно, числитель дроби = 0, т.е. =0.

Если прямые L1 и L2 параллельны, то параллельны их направляющие векторы S1 и S2. следовательно, координаты этих векторов пропорциональны: .

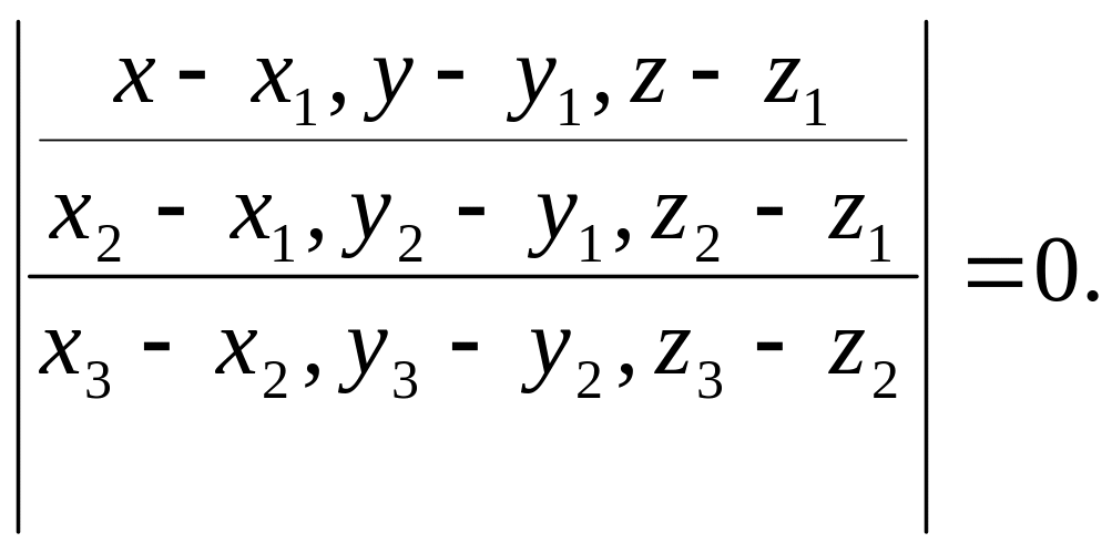
Условие, при котором две прямые лежат в одной плоскости:

=0.

При выполнении этого условия прямые либо лежат в одной плоскости, то есть либо пересекаются.

20. Взаимное расположение прямой и плоскости.

Угол между прямой и плоскостью. Условия параллельности и перпендикулярности прямой и плоскости.

Пусть плоскость задана уравнением Ах +By + Cz + D=0, а прямая L уравнениями . Углом между прямой и плоскостью называется любой из двух смежных углов, образованных прямой и ее проекцией на плоскость. Обозначим через угол между плоскостью и прямой.

.

Если прямая L параллельна плоскости Q, то векторы n и S перпендикулярны, а потому , т.е.

=0 является условием параллельности прямой и плоскости.

Если прямая L перпендикулярна плоскости Q, то векторы n и S параллельны. Поэтому равенства

являются условиями перпендикулярности прямой и плоскости.

Пересечение прямой с плоскостью. Условие принадлежности прямой плоскости:

Рассмотрим прямую и плоскость Ах +By + Cz + D=0.

Одновременное выполнение равенств:

Аm +Bn+ Cp =0

Ах0+By0 + Cz0 + D=0 являются условием принадлежности прямой плоскости.