Материал: высшая математика1курс1сем

Внимание! Если размещение файла нарушает Ваши авторские права, то обязательно сообщите нам

или, если существуют производные (t), (t), f(t), то .

Это выражение – вектор производная вектора . ; . Если имеется уравнение кривой: x = (t); y = (t); z = f(t); то в произвольной точке кривой А(xА, yА, zА) с радиус- вектором

можно провести прямую с уравнением . Т.к. производная - вектор, направленный по касательной к кривой, то . Уравнение нормальной плоскости к кривой будет иметь вид: .

Определение: Линия, которую опишет в пространстве переменный радиус – вектор при изменении параметра S, называется годографом этого вектора. , тогда - вектор, направленный по касательной к кривой в точке А(x, y, z). Но т.к. , то - единичный вектор, направленный по касательной. Если принять , то .

Причем . Рассмотрим вторую производную

Определение: Прямая, имеющая направление вектора называется главной нормалью к кривой. Ее единичный вектор обозначается . , где К – кривизна кривой.

54. Кривизна и кручение. Кривизна пространственной кривой.

z

B

A(x, y, z)

0 y

x

Для произвольной точки А, находящейся на пространственной кривой, координаты могут быть определены как функции некоторой длины дуги S.

x = (S); y = (S); z = f(S); Приведенное выше уравнение называют векторным уравнением линии в пространстве.

Определение: Линия, которую опишет в пространстве переменный радиус – вектор при изменении параметра S, называется годографом этого вектора. , тогда - вектор, направленный по касательной к кривой в точке А(x, y, z). Но т.к. , то - единичный вектор, направленный по касательной. Если принять , то . Причем . Рассмотрим вторую производную Определение: Прямая, имеющая направление вектора называется главной нормалью к кривой. Ее единичный вектор обозначается .

, где К – кривизна кривой. Кривизна пространственной кривой может быть найдена по формуле: Возможна и другая запись формулы для кривизны пространственной кривой (она получается из приведенной выше формулы):

Определение: Вектор называется вектором кривизны. Величина называется радиусом кривизны.

Величина называется кручением кривой.

55. Сопровождающий трёхгранник Френе. Формулы Френе.

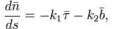
Под трёхгранником Френе, иначе называемым естественным, сопровождающим или сопутствующим трёхгранником или репером, понимают тройку векторов сопоставленную каждой точке гладкой кривой, где — единичный касательный вектор, — единичный вектор главной нормали, — единичный вектор бинормали к кривой в данной точке. Если s — натуральный параметр вдоль кривой, то векторы вязаны соотношениями:

называемыми формулами Френе и задающими натуральное уравнение кривой.

56. Предел, непрерывность и частные производные функции нескольких переменных.

Для функции двух переменных вводится понятие предела функции непрерывности, аналогично случаю функции одной переменной. Введем понятие окрестности точки. Множество всех точек М(x,y) плоскости, координаты которых удовлетворяют неравенству , называется -окрестностью точки . Другими словами, -окрестность точки - это все внутренние точки круга с центром и радиусом . Пусть функция z=f(x,y) определена в некоторой окрестности точки , кроме, быть может, самой это точки. Число А называется пределом функции z=f(x,y) при и , если для любого существует такое, что для всех и и удовлетворяющих неравенству выполняется неравенство . Записывают: или . Из определения следует, что если предел существует, то он не зависит от пути, по которому М стремится к (число таких направлений бесконечно). Геометрический смысл предела функции: каково бы ни было число , найдется -окрестность точки , что во всех ее точках , отличных от , аппликаты соответствующих точек поверхности z=f(x,y) отличаются от числа А по модулю меньше, чем на . Непрерывность функции двух переменных. Функция z=f(x,y)(или f(M)) называется непрерывной в точке , если она: а)определена в этой точке и некоторой ее окрестности; б)имеет предел ; в)этот предел равен значению функции z в точке , т.е. или . Функция, непрерывная в каждой точке некоторой области, называется непрерывной в этой области. Точки, в которых непрерывность нарушается, называются точками разрыва этой функции. Точки разрыва z=f(x,y) могут образовывать целые линии разрыва. Так, функция имеет линию разрыва y=x. Функция z=f(x,y) называется непрерывной в точке , если выполняется равенство , т.е. полное приращение функции в этой точке стремится к нулю, когда приращения ее аргументов x и y стремятся к нулю.

Частные производные нескольких переменных. Пусть задана функция z=f(x,y). Т.к. x и y – независимые переменные, то одна из них может изменяться, а другая сохранять свое значение. Дадим независимой переменной x приращение , сохраняя значение y неизменным. Тогда z получит приращение, которое называется частным приращением z по x и обозначается . Итак, . Аналогично получаем частное приращение z по y: . Полное приращение функции z определяется равенством . Если существует предел , то он называется частной производной функции z=f(x,y) в точке M(x,y) по переменной x и обозначается . Частные производные по x в точке обычно обозначают символами .

57. Полный дифференциал. Производные высших порядков.

Пусть функция z=f(x;y) определена в некоторой окрестности точки M(x,y). Составим полное приращение функции в точке М: . Функция x=f(x,y) называется дифференцируемой в точке M(x,y), если ее полное приращение в этой точке можно представить в виде: , где и при , . Сумма первых двух слагаемых в равенстве представляет собой главную часть приращения функции. Главная часть приращение функции z=f(x;y), линейная относительно и , называется полным дифференциалом этой функции и обозначается символом dz: dz= A* +B* . Выражения A* и B* называют частными дифференциалами. Для независимых переменных x и y полагают =dx и =dy. Поэтому равенство можно переписать в виде: dz=A*dx+B*dy.