|
х |
|
|
|
|
у′′ |
- |
0 |
+ |
у
т.
|
перегиба |
|
|
-
координата точки перегиба.
Уравнение
касательной к линии:
-
уравнение касательной
Уравнение нормали к линии:
-
уравнение нормали.

Воспользуемся
формулой интегрирования по частям
Вычислим получившиеся интегралы по отдельности
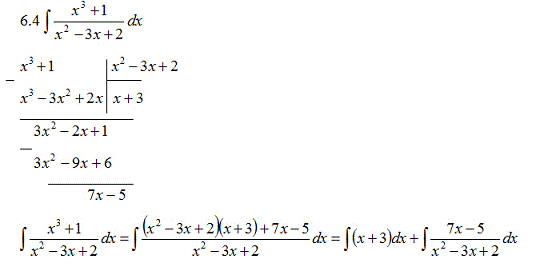
1.
.
Разложим знаменатель на множители
Проверка:
Задание №7
Решение:
-
графиком функции является парабола, ветви которой направлены вверх.
(-1; -1) - координаты вершины параболы.
-
графиком функции является прямая.
Найдем
точки пересечения прямой и параболы:
(1; 3) и (-2; 0) - координаты точек пересечения графиков функций.
Сделаем
чертеж:
На
промежутке [-2; 1]
Вычислим
площадь фигуры с пределами интегрирования а=1 и b=-2.
Ответ:
Задание 8
Найти общее решение линейного однородного уравнения второго порядка с
постоянными коэффициентами
а)
; б)
; в)
.
Решение:
а)
Общее
решение однородного уравнения:
Общее
решение однородного уравнения
Общее
решение однородного уравнения
Задание
9
Исследовать
ряды на сходимость
Решение:
Список использованной литературы
предел дифференциал линейный уравнение
1.Выгодский М. Я. Справочник по высшей математике. - М.: АСТ: Астрель, 2006. - 991с.
.Зимина О. В., Кириллов А. И., Сальникова Т. А. Высшая математика. Под ред. А. И. Кирилова. - 3-е изд., испр. - М.: ФИЗМАТЛИТ, 2006. - 368с.
.Выгодский М. Я. Справочник по элементарной математике. - М.: АСТ: Астрель, 2007. - 509с.
.Красс М. С., Чупрыков Б. П. Математика для экономистов. - СПб.: Питер 2007. - 464с.