Возьмем профиль Пр100-34 ГОСТ 410062 имеющий следующие геометрические характеристики:
мм2
– площадь сечения пояса из каталога,
мм
– высота
профиля,
мм
– толщина
профиля,
мм
– координаты
центра тяжести,
мм4
– момент инерции профиля.
По
геометрическим характеристикам этого
профиля определяем для него величину
критического напряжения для полки пояса
,
и уточняем значение высоты стенки
шпангоута, коэффициент примем равным
,
так как профиль имеет один свободный
край вдоль длинной стороны:

Критическое
напряжение местной потери устойчивости
полки профиля превышает предел
пропорциональности материала равный
МПа,
поэтому

где
Вычислим уточненное значение высоты стенки шпангоута:

Найдём толщину стенки шпангоута:

Округлим полученные значения

Используем двухсрезную заклепку, для которой величина срезающей силы равна
,
где
мм
– шаг заклёпок.
Подсчитаем нагрузку, приходящуюся на одну заклёпку

Определим площадь сечения заклёпки
,
где
МПа
– предел прочности материала на сдвиг.
Вычислим

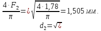
Диаметр заклёпки вычислим по формуле:

Округлим полученное значение до стандартного

Нагрузка действующая на заклёпку, крепящую шпангоут к обшивке определяется по формуле
,
где
мм
– шаг заклёпок.
Подсчитаем нагрузку, приходящуюся на одну заклёпку

Определим площадь сечения заклёпки
,
где
МПа
– предел прочности материала на сдвиг.
Вычислим

Диаметр заклёпки вычислим по формуле

Округлим
полученное значение до стандартного:

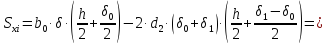
Рассмотрим поперечное сечение шпангоута, изображенного на рисунке 8 и имеющего следующие характеристики:
мм
– длина равнополочного профиля уголкового
сечения,
мм
– высота стенки шпангоута,
мм
– толщина стенки шпангоута,
мм2
-
площадь равнополочного профиля уголкового
сечения,
мм
– толщина равнополочного профиля
уголкового сечения,
мм
– диаметр заклепки для сборки шпангоута,
мм
– диаметр заклепки, крепящей шпангоут
к обшивке,
мм
– толщина обшивки.

Рисунок 8 — Поперечное сечение шпангоута
Вычислим
расстояние между заклёпками
и



Определим ширину присоединенной обшивки:

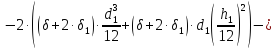
Площадь поперечного сечения с учетом ослабления отверстиями под заклепки:



Статический
момент сечения относительно оси
:


Координата центра тяжести:

Момент
инерции сечения шпангоута относительно
оси
:









Момент инерции сечения относительно центральной оси х:

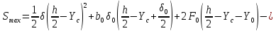
Рассмотрим сечение, в котором действует максимальный изгибающий момент. Имеем:
,
,
,
.
Расстояние от полок профилей до оси x:


Напряжения в точках А и В:


Рассмотрим сечение, в котором действует минимальный изгибающий момент. Имеем:
,
,
,
.
Напряжения в точках А и В:


Из полученных значений выбираем наибольшее растягивающее и наибольшее сжимающее напряжения:


Запас прочности по растяжению:

где
– коэффициент заклепочного шва,
предел
прочности на растяжение и сжатие.
Запас по устойчивости:

Статический момент части поперечного сечения, расположенной выше центра тяжести:





где
– координата центра тяжести профиля.
Максимальное напряжение в стенке:

Критическое касательное напряжение:

Предел пропорциональности при сдвиге:

где
– предел пропорциональности.
Критическое касательное напряжение выше предела пропорциональности при сдвиге. Принимаем:

где

Запас устойчивости стенки от сдвига:

Статический момент части сечения шпангоута, крепящейся к стенке:





Сила, приходящаяся на заклепку:

где
– шаг заклепок.
Сила среза заклепки:

где
–напряжение на срез.
Запас
прочности по срезу заклепки
:

Сила среза в соединении обшивки с поясом:

где
– шаг заклепок.
Сила среза заклепки:
