Министерство образования и науки Российской Федерации
Федеральное государственное автономное образовательное учреждение высшего профессионального образования
«Уральский федеральный университет имени первого Президента России Б.Н. Ельцина»
Механико-машиностроительный институт
Кафедра
технологии сварочного производства
Курсовая работа
по
дисциплине «Теория сварочных процессов»
Екатеринбург
г.
Введение
Целью данной курсовой работы являются углубление и закрепление знаний в области теоретических основ сварочных процессов, а также освоение навыков анализа воздействия теплофизических и металлургических процессов на формирование свойств сварного соединения.
Для достижения поставленной цели были обозначены следующие задачи:
Получить практический опыта проведения тепловых и термодинамических расчетов для конкретных условий сварки и использование их результатов при оценке свариваемости различных материалов.
Научиться пользоваться специальной и справочной литературой, в том числе действующими ГОСТами.
Закрепить навыки использования ЭВМ для решения
научных и инженерных задач.
1. Конструктивные особенности узла и
условия выполнения сварки
На рисунке 1 приведена схема сварного
соединения.
Рисунок 1 - Схема сварного соединения
Размеры соединения (по ГОСТ 14771-76)
Размеры, мм
Условное
обозначение сварного соединения
Конструктивные
элементы
s
b
подготовленных
кромок свариваемых деталей
шва
сварного соединения
Номин.
Пред.
откл.
Т1
3,0
0
+
0,5
Тип соединения - тавровый, без скоса кромок, шов
односторонний.
Вид сварки - сварка в среде углекислого газа.
На рисунке 2 приведена схема подготовленных
кромок и их конструктивные элементы.
Рисунок 2 - Подготовка кромок свариваемых
деталей
где На рисунке 3 приведена схема шва и
его конструктивные элементы.
Рисунок 3 - Подготовка кромок
свариваемых деталей
Сварку проводят в среде углекислого
газа. Сварка осуществляется в один проход. 2. Химический состав сварочных
материалов
Сталь 12Х1МФ легированная
жаропрочная по ГОСТ 20072-74. Характеристика материала 12Х1МФ
Марка:
12Х1МФ
Классификация:
Сталь
жаропрочная низколегированная
Дополнение:
Сталь
перлитного класса
Применение:
для
изготовления деталей, работающих при температуре 540-580 °С.
Химический состав в % материала 12Х1МФ
C
Si
Mn
Ni
S
P
Cr
Mo
V
Cu
0.1
- 0.15
0.17
- 0.37
0.4
- 0.7
до
0.3
до
0.025
до
0.03
0.9
- 1.2
0.25
- 0.35
0.15
- 0.3
до
0.2
Температура критических точек материала 12Х1МФ
Ac1 = 760 , Ac3(Acm) = 890 , Ar3(Arcm) = 825 ,
Ar1 = 730 , Mn = 430
Технологические свойства материала 12Х1МФ
Свариваемость:
ограниченно свариваемая
-
сварка возможна при подогреве до 100-120 град. и последующей термообработке
Проволока сварочная Св-13Х2МФТ, по ГОСТ 2246-70.
Химический состав в % материала Св-13Х2МФТ
C
Si
Mn
Ni
S
P
Cr
Mo
V
Ti
0.1
- 0.15
До
0.35
0.4
- 0.7
до
0.3
до
0.03
до
0.03
1.7
- 2.2
0.4
- 0.6
0.2
- 0.35
0.05-0.12
Допускаемые отклонения Наименование
химического элемента
Фактическое
содержание элемента в проволоке, %
Допускаемое
отклонение, %
Углерод
Св.
0,12
±0,01
Марганец
Св.1,2
±0,05
Никель
От
0,25 до 0,9
±0,02
Кремний
От
0,35 до 0,85
±0,02
Хром
Св.
1,20 до 2,50
±0,05
Молибден
От
0,30 до 1,00
±0,10
Титан
От
0,20 до 0,80
±0,02
Поверхность проволоки должна быть чистой и
гладкой, без трещин, расслоений, раковин, забоин, окалины, ржавчины, масла и
других загрязнений. На поверхности проволоки допускаются мелкие волочильные
риски, царапины, следы шлифовки, местная рябизна и отдельные вмятины при
глубине каждого из указанных пороков не более ¼ предельного
отклонения по диаметру.
3. Технологические особенности
процесса сварки в углекислом газе
сварка шов металл
Сварку в СO2 обычно выполняют на постоянном токе
обратной полярности плавящимся электродом. Основными параметрами режима сварки
в СO2 и его смесях являются полярность и сила тока, напряжение дуги; диаметр,
скорость подачи, вылет и наклон электрода; скорость сварки; расход и состав
защитного газа.
Сварочный ток и диаметр электродной проволоки
выбирают в зависимости от толщины свариваемого металла и расположения шва в
пространстве. Стабильный процесс сварки с хорошими технологическими
характеристиками можно получить только в определенном диапазоне силы сварочного
тока, который зависит от диаметра и состава электродной проволоки и рода
защитного газа.
Величина сварочного тока определяет глубину
проплавления и производительность процесса сварки. Величину сварочного тока
регулируют изменением скорости подачи сварочной проволоки.
Одним из важных параметров режима сварки в СO2
является напряжение дуги. С повышением напряжения увеличивается ширина шва и
улучшается его формирование. Однако увеличивается и угар полезных элементов
кремния и марганца, повышается чувствительность дуги к "магнитному
дутью", увеличивается разбрызгивание металла сварочной ванны. При
пониженном напряжении дуги ухудшается формирование сварочного шва. Оптимальные
значения напряжения дуги зависят от величины сварочного тока, диаметра и
состава электродной проволоки, а также от рода защитного газа.
Другие параметры режима сварки в СO2 находятся в
сложной зависимости от различных факторов, влияющих на сварочный процесс.
Перед началом сварки необходимо отрегулировать
расход газа и выждать 20-30 секунд до полного удаления воздуха из шлангов.
Перед зажиганием дуги необходимо следить, чтобы вылет электрода из мундштука не
превышал 20 - 25 мм. Движение горелки должно осуществляться без задержки дуги
на сварочной ванне, так как эта задержка вызывает усиленное разбрызгивание
металла. Сварка в нижнем положении производится с наклоном горелки под углом 5
- 15° вперед или назад. Предпочтительнее вести сварку углом назад, т.к. при
этом обеспечивается более надежная защита сварочной ванны. При механизированной
сварке металла малой толщины 1-2 мм поперечных колебательных движений не
производят. Сварку ведут на максимальной длине дуги, с максимальной скоростью.
При достаточной газовой защите избегают прожогов и обеспечивают нормальное
формирование шва. Горелку ведут углом назад, при этом угол наклона составляет
30-45°.
Стыковые соединения при толщине металла 1,5-3 мм
сваривают на весу. Более тонкий металл сваривают в вертикальном положении на
спуск (сверху вниз), провар достигается за один проход. Сварку соединений
внахлестку при толщине металла 0,8-2,0 мм чаще производят на весу и реже - на
медной подкладке. При качественной сборке нахлесточных соединений
представляется возможным значительно увеличить скорость сварки. Колебательные
движения горелкой при сварке больших толщин те же, что и при ручной сварке. При
сварке с перекрытием для уменьшения пор применяются продольные колебания
горелки вдоль оси шва, что обеспечивает более полное удаление водорода из сварочной
ванны.
Преимущества:
высокий удельный тепловой поток, обеспечивающий
относительно узкую зону термического влияния;
возможность металлургического воздействия на
металл шва за счет регулирования состава проволоки и защитного газа;
широкие возможности механизации и автоматизации;
высокая производительность сварочного процесса;
требует более низкой квалификации сварщика, чем
ручная;
позволяет выполнять швы в различных
пространственных положениях.
Требования к качеству сборки и подготовки
деталей под сварку в СO2 сварочной проволокой (0,8 - 2,5) мм должны
соответствовать ГОСТ 14771-76.
4. Расчетная схема нагрева изделия
Чтобы провести тепловой расчет, необходимо
идеализировать источник теплоты и нагреваемое тело. Для данных пластин толщиной
3 мм идеальным телом является пластина, т.к. температура по любой оси,
перпендикулярной плоскостям, постоянна и прогрев по толщине можно принять
равномерным. Поток теплоты плоский, температурное поле двумерное: T = T(x, y,
t) и δT
/ δz =0.
Источник нагрева - сварочная дуга. Идеальный
источник - линейный быстродвижущийся (Vсв=20 м/ч) непрерывно действующий.
Тавровое соединение можно представить в виде
двух пластин, путем спрямления до плоскости шва двух взаимоперпендикулярных
деталей. Расчетная схема приведена на рисунке 4.
Рисунок 4 - Расчетная схема
5. Оценка склонности металла шва к
образованию трещин
.1 Оценка склонности металла шва к
образованию горячих трещин
Расчет склонности металла шва к
образованию горячих (как и холодных) трещин производится для оценки
свариваемости металла. Свариваемость - свойство металлов или сочетания металлов
образовывать при заданной технологии сварки соединение, отвечающее требованиям,
обусловленным конструкцией условиями эксплуатации изделия.
При выполнении курсовой работы
целесообразно воспользоваться расчётно-статическим методом, который основан на
применении параметрических уравнений. Рекомендуемые параметрические уравнения,
области их применения и критерии оценки склонности к образованию горячих трещин
приведены в таблице.
Таблица 1 - Уравнение оценки
склонности металла к образованию горячих трещин
№
п/п
Параметрическое
уравнение
Вид
оценки
Область
применения
1 <4
- не склоннаяДля сталей с
<2
- не склонная
Для
сталей с При использовании данного метода следует иметь в
виду, что он применим лишь для приближенной оценки и только для тех сплавов,
которые входят в концентрационные пределы изученных композиций.
При расчете элементы, стоящие в числителе, берем
по максимальным значениям концентраций, а элементы, стоящие в знаменателе, - по
минимальным. 5.2 Оценка склонности металла шва к
образованию холодных трещин
Способы оценки склонности к
образованию холодных трещин делятся на прямые и косвенные. Поскольку косвенные
способы позволяют получать оценку склонности к образованию холодных трещин
расчётным путём без непосредственного испытания материалов, то они являются
основными при выполнении данной курсовой работы.
Стали, для которых Сэкв ≥ 0,45
%, считаются потенциально склонными к образованию холодных трещин. При сварке
таких сталей возможно образование закалочных структур в металле сварного
соединения, что при насыщении металла водородом и высоком уровне остаточных
напряжений может привести к образованию холодных трещин.
Для углеродистых и низколегированных
марок стали можно рекомендовать следующую методику оценки склонности металла к
холодным трещинам и необходимости предварительного подогрева.
Первоначально определяют
концентрацию эквивалентного содержания углерода в стали по следующей формуле:
Затем учитывают влияние толщины
свариваемого металла на концентрацию эквивалентного углерода: где d - толщина детали, мм.¢экв = 0,54·
(1 + 0,005·3) = 0,55% > 0,45%.
Основной металл склонен к
образованию холодных трещин, следовательно, условия сварки должны быть
скорректированы, введем предварительный подогрев.
Температура предварительного
подогрева: 6. Расчет тепловой задачи
В данной работе необходимо рассчитать
термические циклы и построить температурное поле заданных пластин, расчетная
схема которых представлена на рисунке 4.
Порядок расчета:
Рассчитываем термический цикл (точки А) для
пластины 1, согласно расчетной схеме (рисунок 4).
Рассчитываем термический цикл (точки А) для
пластины 2, согласно расчетной схеме (рисунок 4).
Рассчитываем термический цикл (точки А) для пластины
3, согласно расчетной схеме (рисунок 4).
Складывая данные циклы, мы получаем
температурное поле для схемы заданных пластин.
6.1 Порядок расчета:
.1.1 Расчет термического цикла для
пластины 1
Для учета отражения теплового потока от
адиабатической границы А-А вводим фиктивный источник, равных по мощности 1/3
основному, на расстоянии 25мм соответственно.
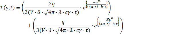
Расчетная формула (1):
Где δ - толщина пластины,
мм;
λ - коэффициент
теплопроводности, кал/см·сек·°С
сγ - объемная
теплоемкость, Вт/(см3·град);
a=λ/сγ
- коэффициент
температуропроводности, см2/с;
b=2α/δ·сγ
- коэффициент
учитывающий интенсивность понижения температуры при теплоотдачи в окружающую
среду с двух сторон пластины;
α - коэффициент теплоотдачи,
Вт/(см2·град);
Эффективная тепловая мощность:
q=I·U·η, (2)
где I - сварочный ток, А; U -
напряжение на дуге, В; η
- эффективный
КПД нагрева изделия при сварке.
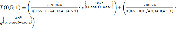
По уравнению (2) получаем:=280·34·0,82=7806.4
Вт
Данные для расчета приведены в
таблице:
η
I,
А
U,
В
λ,
Вт/(см·град)
z,
мм
0,82
280
34
0,4
0
сγ,
Дж/(см3·град)
δ,
см
V,
см/с
α,
(см2·град)
b,
1/c
a,
5
0,3
0,55
0,013
0,02
0,08
Подставляем данные в уравнение (1):
Результаты расчетов приведены в таблицах.
Y,см
0,5
0,8
1,1
1,4
1,7
t,с
0 0,5 1 Т(0) Т(0,5)
Т(1)
Т(0,5)
Т(0,8)
Т(1,1)
Т(1,4)
Т(1,7)
1
2735
745
111
9
195
0.7
2
2933
1531
592
169
45
3
2752
1784
947
411
163
4
2554
1623
1147
614
292
5
2382
1617
1256
762
401
10
1396
1280
1038
828
631
15
1032
951
857
747
638
20
805
756
709
649
587
25
650
615
593
558
521
30
535
509
498
478
454
35
447
425
421
408
393
40
377
357
356
349
339
Рассчитываем термический цикл (точки А) для
пластины 1 согласно расчетной схеме (рисунок 5).
Рисунок 5 - График зависимости температуры Т от
координат точки (t,y)
6.1.2 Расчет термического цикла для
пластины 2
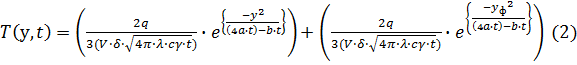
Для учета отражения теплового потока от
адиабатической границы B-B вводим фиктивный источник, равных по мощности 2/3
основному, на расстоянии 25мм соответственно.
Подставляем данные в уравнение (2):
Результаты расчетов приведены в таблицах.
Y,см
0,5
0,8
1,1
1,4
1,7
t,с
0 0,5 1 Т(0) Т(0,5)
Т(1)
Т(0,5)
Т(0,8)
Т(1,1)
Т(1,4)
Т(1,7)
1
2735
745
111
9
0.4
2
2933
1531
592 36
3
2752
1784
947
411
146
4
2555
1646
1147
615
283
5
2382
1637
1256
762
412
10
1398
1241
1046
844
661
15
1040
970
883
789
701
20
825
791
752
709
669
25
680
660
645
627
609
30
573
559
555
549
542
35
490
476
478
477
476
40
423
407
411
413
415
Рассчитываем термический цикл (точки А) для
пластины 2 согласно расчетной схеме (рисунок 6).
Рисунок 6 - График зависимости температуры Т от
координат точки (t,y)
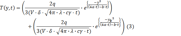
6.1.3 Расчет термического цикла для
пластины 3
Подставляем данные в уравнение (3):
Y,см
0,5
0,8
1,1
1,4
1,7
t,с
0 0,5 1 Т(0) Т(0,5)
Т(1)
Т(0,5)
Т(0,8)
Т(1,1)
Т(1,4)
Т(1,7)
1
2735
745
111
9
0.4
2
2933
1531
592
170
36
3
2752
1784
947
411
146
4
2555
1646
1147
615
283
5
2382
1637
1256
762
412
10
1395
1235
1033
817
611
15
1025
944
838
716
590
20
793
743
678
603
521
25
634
600
551
504
448
30
519
493
461
423
383
35
432
411
386
358
327
40
364
346
326
304
280
Рассчитываем термический цикл (точки А) для
пластины 3 согласно расчетной схеме (рисунок 7).
Рисунок 7 - График зависимости температуры Т от
координат точки (t,y)
6.1.4 Построение температурного поля
Сложив графики термических циклов (рисунок 5),
получаем график температурного поля T(x,y) для пластины 1, приведенный на
рисунке 8.
Рисунок 8 - Зависимости температуры Т от
координат точки (x,y) (пластина 1) Сложив графики (рисунки 6 и 7), получаем график
T(x,y), приведенный на рисунке 9.
Рисунок 9 - зависимости температуры Т от
координат точки (x,y) (пластина 2 и 3)
6.2 Мгновенная скорость охлаждения
при заданной температуре
.2.1 Метод графического
дифференцирования
Мгновенная скорость охлаждения W является первой
производной температуры по времени.
Рисунок 10
6.2.2 Расчетный метод при T=500°C
Однопроходная сварка листов встык со сквозным
проплавлением.
Расчетная формула (3):
Где λ - коэффициент
теплопроводности, кал/см·сек·°С
сγ - объемная
теплоемкость, Вт/(см3·град);
Подставляем данные в уравнение (2):
7. Физико-химические расчеты
.1 Расчет состава металла шва
Теория теплопередачи не позволяет точно
определить размеры сварочной ванны. Теоретическое очертание ванны не совпадает
с действительным, так как в расчетах не учитывается ряд факторов, к которым,
прежде всего, относятся динамическое воздействие на расплавленный металл ванны,
распределенность теплового потока по пятну нагрева, зависимость теплофизических
коэффициентов от температуры, тепловой эффект процесса плавления и др. Однако
приближенное определение размеров ванны и наплавленного валика возможно.
Расчет площади проплавления Fпр:
Где q - эффективная тепловая мощность основного
источника, Вт;- скорость перемещения источников теплоты, см/с;- плотность, г/ Подставляем данные в уравнение (3):
Расчет площади наплавки Fн:
ар- коэффициент расплавления, г/(А·ч);
Подставляем данные в уравнение (4):
.1.1 Расчет состава металла шва по
смешению
Состав металла шва по смешению
где где Площадь основного металла и сечения
шва рассчитываем по рисунку 5.
Рисунок 11 - Основные элементы шва
Считаем долю участия основного металла по
уравнению (6)
Исходя из уравнения (4) получаем:
Состав металла шва по смешению
C
Si
Mn
Cr
Ni
Mo
Ti
V
Cu
S
P
0,12
0,25
0,55
1,34
0,15
0,36
0,03
0,24
0,07
0,01
0,02
7.1.2 Расчет состава металла шва с
учетом коэффициентов перехода
где C
Si
Mn
Cr
Ni
Mo
Ti
V
Cu
S
P
0,096
0,20
0,44
1,26
0,144
0,41
0,05
0,25
0,04
0,01
0,02
Заключение
В ходе выполнения курсового проекта был проведен
анализ тепловых характеристик источника нагрева, выбрана и обоснована расчетная
схема нагрева изделия с учетом начальных и граничных условий. По выбранной
расчетной схеме с учетом теплофизических констант был изготовлен эскиз
температурного поля.
Помимо этого, была сделана оценка скорости
охлаждения методом графического дифференцирования и расчетным методом при
температуре 500°С.
Произведен расчет состава металла шва по
смешению и с учетом коэффициентов перехода.
Так же в курсовом проекте была произведена
оценка склонности металла шва к образованию горячих трещин.
Список литературы
1. ГОСТ
14771-76*. Дуговая сварка в защитном газе. Соединения сварные. Основные типы,
конструктивные элементы и размеры. - Взамен ГОСТ 14771 - 69; Введ. 01.07.1977.
- Москва: Изд-во стандартов, 1991.-37с.
. ГОСТ
2246-70. Проволока стальная сварочная. Технические условия.-Введ.
1973-01-01.-М.: Госстандарт СССР: Изд-во стандартов, 2002.- 5с.
. ГОСТ
20072-74. Сталь теплоустойчивая. Технические условия. - Взамен ГОСТ 10500-63 в
части теплоустойчивой стали. - Введ. 1976.01.01. - Межгос. совет по
стандартизации, метрологии и сертификации (ИУС 2-93), - 11с.
. Королев
Н.В. Шалимов М.П. Тепловые и металлургические процессы при сварке: методические
указания к курсовой работе по дисциплине «Теория сварочных процессов»/Н.В.
Королев, М.П. Шалимов.-Екатеринбург: ГОУ ВПО УГТУ-УПИ, 2005.-30 с.
. Королев
Н.В. Расчеты тепловых процессов при сварке, наплавке и термической резке:
учебное пособие / Н.В. Королев, В.Н. Бороненков - Екатеринбург: УГТУ, 1996. -
156с.
. Рыкалин
Н.Н. Расчеты тепловых процессов при сварке: учебное пособие для
машиностроительных вузов/ Н.Н. Рыкалин, А.А. Ерохин, С.Я. Головин. - М.: Гос.
научно-техническое изд. машиностроительной литературы, 1951. - 296с.
. Теория
сварочных процессов: учебник для вузов/ А.В. Коновалов, А.С. Куркин, Э.Л.
Макаров, В.М. Неровный, Б.Ф. Якушин; под ред. В.М. Неровного. - М.: Изд-во МГТУ
им. Н.Э. Баумана, 2007. - 752с.
, r1 - расстояние от рассматриваемой
точки до основного источника;
, r2 - расстояние от рассматриваемой
точки до фиктивного источника 1;
, следовательно, основной металл шва
к образованию горячих трещин не склонен.
¢экв = Cэкв
(1 + 0,005d),
.
-
расстояние от рассматриваемой точки до основного источника;
- расстояние от
рассматриваемой точки до фиктивного источника 1;- эффективная тепловая мощность
основного источника, Вт;- скорость перемещения источников теплоты, см/с;
с
= 2735 °С

= 2735 °С
= 2735 °С
;
°C/c
; (2)
(3)
- приращение
энтальпии металла при нагреве до Tпл и плавлении, Дж/г
термический КПД
процесса проплавления металла
= 0,65
=65
(4)
- коэффициент
потерь;
- коэффициент
источника;
=0,32
=
32
=
=
(5)
концентрация элемента в шве,
основном и присадочном металлах соответственно, масс. %.
(6)
- доля участия основного металла;
и
- площадь основного металла и
сечения шва.
= 1-
=0,33
концентрация элемента в шве,
основном и присадочном металлах соответственно, масс. %.
коэффициент перехода данного
элемента из присадочного металла в шов.
остав металла шва с учетом
коэффициентов перехода