Материал: Водовідведення. Очистка стічних вод міста

Внимание! Если размещение файла нарушает Ваши авторские права, то обязательно сообщите нам

Водовідведення. Очистка стічних вод міста












Пояснювальна записка

до курсового проекту

на тему «Водовідведення. Очистка стічних вод міста»

Вихідні данні

.        Добова кількість побутових стічних вод від населення: Qпоб =45 тис.м3/доб

.        Норма водовідведення по місту: а=190 л/ос.доб

.        Добова кількість промислових стічних вод підприємств, м3/добу: Q1 =1300; Q2 =7200; Q3 =5400

.        Концентрація завислих речовин в промислових стічних водах,г/м3: С1 =180; С2 =165; С1 =450;

.        Концентрація БСКпов в промислових стічних водах: г/м3: L1 =160; L2 =310; L3 =240;

.        Розрахункова температура стічних вод: Тсв =120С

.        Максимальна розрахункова годинна витрата стічних вод міста: Qmax =3060 м3/год

.        Середня розрахункова годинна витрата стічних вод за час аерації в аеротенку: Qсер.аер. =2910 м3/год

.        Дозволені концентрації завислих речовин в стічних водах для скидання після очисних споруд: Сдозв =15,5 г/м3

.        Дозволений БСКпов в стічних водах для скидання після очисних споруд: Lдозв =15,5 г/м3

.        Розрахункова кінцева вологість підсушеного піску на пісковому майданчику: Pnk =46%

.        faz/fat =0,55

Визначення додаткових умовних параметрів до загальної принципової схеми водовідведення міста

Кількість мешканців міста, ос:


Де = 38000 м3/доб. - добова кількість побутових стічних вод від населення;

 = 165 л/ос.доб. - норма водовідведення по місту;

ос

Концентрація завислих речовин в побутових стічних водах від населення, г/м3:

г/м3

Концентрація БПКпов в побутових стічних водах від населення , г/м3:

 г/м3

де 65 і 75 - відповідно, нормативна добова маса завислих речовин і  в стічних водах в розрахунку на 1 мешканця (г/ос.доб.)

Загальна добова витрата побутових і промислових стічних вод міста, м3/доб:


де  - витрати стічних вод від підприємств;

 м3/доб.

Концентрація завислих речовин в суміші побутових і промислових стічних водах від населення, г/м3:


де  - добова витрата кожного підприємства;

 - концентрація завислих речовин для кожного підприємства;

г/м3

Концентрація БПКпов в суміші побутових і промислових стічних водах від населення, г/м3:


де  -  для кожного підприємства;

 г/м3

Загальний перелік основних технологічних споруд

водовідведення місто пісковий майданчик

а) блок механічної очистки:

грати, пісковловлювачі, первинні відстійники;

б) блок біологічної очистки:

аеротенки чи біофільтри, вторинні відстійники;

в) блок знезараження:

хлораторна, змішувач, контактний резервуар;

г) блок обробки осаду:

мулозгущувачі, метантенки, газгольдери, вакуум-фільтри, резервні мулові майданчики.

Розрахунок основних технологічних споруд

Розрахунок гратів

Визначаємо розрахункову секундну витрату стічних вод для грат:

м3/с.

Діапазон розрахункової витрати на 1 грати при 2-х 3-х робочих агрегатах:


Приймаємо 2 грати типу МГ-7Т; Нmax=0,9 м.

Для прийнятого типу грат:

-          будівельна глибина каналу Нк=1200мм;

-          кількість прозорів nпр=31;

-          ширина прозора bпр=16мм;

-          товщина стержнів Sст=8мм

-          ширина каналу В=100мм;

-          ширина каналу в місці встановлення грат А=1140мм.

Загальна ширина прозорів:

.

Загальна корисна площа прозорів:


Швидкість руху води в прозорах при попередньо визначеній кількості робочих грат:

.

Кількість затриманих на гратах забруднень, для чого розраховуємо приведену кількість населення для загального потоку стічних вод міста:


де  - умовна (еквівалентна) кількість мешканців, які могли б внести таку ж

масу забруднень (завислих речовин), як весь сумарний потік промислових стічних вод підприємств;

 - кількість мешканців міста.


Тоді загальна добова маса затриманих на гратах забруднень:


де  [л/ос.рік] - норматив затриманих на гратах забруднень на 1 особу, знаходимо за [2] табл. 23;

 [кг/м3] - густина забруднень, згідно [2] п.5.13

Втрати напору на гратах:


де  - коефіцієнт місцевого опору:

 - коефіцієнт, що враховує забрудненість поверхні грат під час експлуатації.

.

Розрахунок пісковловлювачів

Приймаємо аеровані горизонтальні пісковловлювачі.

Для аерованого горизонтального пісковловлювача необхідно визначити кількість відділень, їх ширину, глибину і довжину.

Згідно [3] табл. 11.4 можливі два типорозміри відділень, проаналізуємо їх: (А) - ширина м, глибина м, довжина м.

(Б) - ширина м, глибина м, довжина м.

Дозволений діапазон швидкості води в максимальній витраті складає

,08…0,12 м/с.

Визначаємо діапазон можливих витрат стічної води через 1 відділення для обох варіантів типорозмірів:

, м3/год

а також, відповідно, необхідну кількість відділень:


типорозмір (А):

м3/год

 шт. вибираємо цей варіант

типорозмір (Б):

 м3/год

 шт.

Приймаємо до проектування 2 відділення типорозміру (А).

Визначаємо фактичну швидкість руху води:


де  - фактична кількість відділень.

Приймаємо Vфак=0,068 м/с.

Фактична тривалість перебування води в пісковловлювачі:


не є меньшою в порівнянні з рекомендаціями [2] п. 6.28, де зазначено, що час перебування води в пісковловлювачі складає 2…3 хв.

Розрахунок піскових майданчиків

Для підсушування затриманого в пісковловлювачі піску належить запроектувати піскові майданчики - прямокутні катри розміром ВxL, В - ширина карти; L - довжина карти.

Визначаємо розміри та кількість піскових майданчиків.

Об'єм затриманого піску WПО, м3/рік:

,

=0,03 л/ос.доб - нормативний об’єм піску на 1 особу на добу.

Необхідна площа піскових майданчиків:

 ,

пм - рекомендоване річне навантаження на пісковий майданчик,пм = 3 м32рік

Приймаємо 3 піскових майданчика, розмірами 20x25 м.

Розрахунок первинних відстійників

Приймаємо радіальні відстійники.

Розрахунок відстійників відбувається за кінетикою випадання завислих речовин з урахуванням необхідного ефекту освітлення.

Визначаємо необхідну проектну ефективність роботи відстійника:


Початкова концентрація завислих речовин в стічних водах:

г/м3.

 - концентрація завислих речовин, яка повинна бути в стічній воді після первинних відстійників.

=150 г/м3.

Приймаємо 6 відстійників.

Розраховуємо розрахункову гідравлічну крупність речовин, які повинні бути затримані в радіальному відстійнику:


де м - глибина проточної частини відстійника,

 - коефіціцєнт використання об’єма проточної частини відстійника;

с - тривалість відстоювання, знаходиться за [2] табл. 30;

м

 - показник ступеня;

 мм/с

Пропускна спроможність відстійника:

,

де Dset - діаметр відстійника, м;set - діаметр випускного пристрою, мset = 0,9м

νth - турбулентна складова швидкості осідання завислих речовин , (мм/с)

νth=0

м3/год

Визначаємо необхідну кількість відстійників:


Приймаємо 6 відстійників з розмірами: D=24м , b=2м , l = 20м, h=3м.

Розрахунок аеротенків

Приймаємо аеротенк - витискувач.

Визначаємо необхідність регенерації активного мулу.

Згідно [2] табл.25 норматив за БПК на одну особу для неосвітленої стічної та для освітленої води складають 75 та 40 г/ос.доб.

Тому коефіцієнт зниження БПК в системі механічного очищення (Квх ):

Отже, значення БПК стічної води, що потрапляє до аеротенку (Len аер):

г/м3

Len аер˃150 г/м3, тому застосовуємо аеротенк з регенерацією активного мулу.

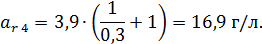
Призначаємо орієтновний діапазон і поточні значення дози активного мулу (АМ) аі, г/л:

аі = 3; 3,3; 3,6; 3,9 г/л

та мінімальний дозволений ступінь ркциркуляції АМ Rі: Rі=0,3.

Розраховуємо 4 значення дози АМ в регенераторі аг , г/л:


;

;

;

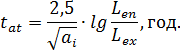
Розраховуємо 4 значення тривалості аераціїі tаt , год:


- БПК очищеної води,

Розраховуємо 4 значення питомої швидкості окислення ρ (мг БПКповн/г.бз.год):


- макстмальна швидкість окислення, мгБПК/(г·год),

=85 мг БПКповн /(г·год),

- концентрація розчиненого кисню, мг/л,

= 2мг/л,

 - константа, що характеризує властивості органічних забруднюючих речовин, мг БПКповн /л,

 = 33 мг БПКповн /л,

 - константа, що характеризує вплив кисню, мг О2/л,

 = 0,625 мг О2/л,