Материал: Влияние теплообмена в тракте газовода закрытой схемы ЖРД на параметры потока перед форсуночной головкой камеры сгорания

Внимание! Если размещение файла нарушает Ваши авторские права, то обязательно сообщите нам

Влияние теплообмена в тракте газовода закрытой схемы ЖРД на параметры потока перед форсуночной головкой камеры сгорания












Курсовая работа

По дисциплине: «Компьютерные технологии моделирования процессов и проектирования технических устройств»

Тема: Влияние теплообмена в тракте газовода закрытой схемы ЖРД на параметры потока перед форсуночной головкой камеры сгорания

Введение

Цель работы: Выполнить расчет газодинамических параметров в тракте газовода при различных значениях среднерасходной скорости потока. Выявить влияние теплообмена на профиль скорости и распределение давления перед газораспределительной решеткой и форсуночным блоком.

Конфигурация тракта подачи генераторного газа в камеру сгорания ЖРД ввиду общей компоновки невозможно выполнить прямым. Исходя из этого появляется необходимость выравнивания параметров потока перед смесительной головкой для наилучшей организации процессов смешения и сгорания компонентов топлива в камере сгорания. В качестве средств выравнивания параметров потока перед смесительной головкой применяются прямые и выпуклые газораспределительные решетки с характерными конструктивными решениями, обеспечивающие устойчивость рабочих процессов. Как правило, газораспределительные решетки позволяют получить удовлетворительное распределение полей давлений и скоростей перед смесительной головкой.

Объект исследования. Геометрические размеры моделируемой схемы рабочего тракта приведены на рис.1.

Рисунок 1 - Чертеж газогенератора в Компас-3D

Для сравнения была построена модель прямого тракта газовода, т.к. она будет иметь симметричное распределение параметров, как наиболее желаемое (рис.2).

Рисунок 2 - Геометрия для импотра в сеточный генератор Gambit

Далее геометрия была импортирована в сеточный генератор Gambit.

Создания расчетной сетки для области решения.Процесс наложения расчетной сетки осуществлялся в сеточном генераторе Gambit. При построении расчетной сетки в Gambit использовались двумерные типы элементов: треугольники.

Модель с наложенной сеткой прдеставлена на рис.3.

Рисунок 3 - Модель с наложенной сеткой

Сетка накладывалась с переменным шагом, что видно на рис.4 и рис.5.

Рисунок 4 - Зона между блоком форсунок и выпрямляющей решеткой

Рисунок 5 - Зона до выпрямляющей решетки

Число ячеек составило 140794, узлов 71514. Максимальный перекос ячейки составил 0.8059, что укладывается в рекомендуемый диапазон (рис.6).

Рисунок 6 - Ячейка с максимальным перекосом

Расчет газодинамических параметров

Расчет осуществлялся в универсальной программной системе конечно-элементного анализа - ANSYS FLUENT V13. В качестве граничных условий на входе в газовод задавалась скорость(V=1м/с, V=10 м/с,V=20 м/с,V=30 м/с). Моделировался процесс теплообмена со стенкой. Тепло отводилось через стенки 2 и 3и наружной стенки, подвод осуществлялся через стенки 2 и 3 (рис.7)

Рисунок 7 - Стенки подвода и съема тепла

При Отводе тепла температура газов на входе составляла 800К а температура стенок 300К. При подводе тепла температура газа составляли на входе 300К, стенки 800К. Результаты сравнивались с потоком без подвода тепла и с прямым газогенератором (Рис.8).

Сравнение значений скорости и статического давления производился в сечениях x=0.35 и x=0.5 (Рис.9).

Рисунок 8 - Сечения

Результаты расчета для среднерасходной скорости 1 м/с

Параметры потока на входе:

Расход газа 0.1194кг/с

Температура 800 К

Среднерасходная скорость 1м/с

Плотность 0.444 кг/м3

Динамическая вязкость 0.22132Па

Коэффициент теплоотдачи от газа к стенке 1.291 Вт/м*К

Число Нуссельта 13.34

Число Рейнольдса 6175.3

Число Прандтля 0.213

Число Стантона 0.0102

Модель тракта газовода: прямой тракт без теплообмена. На рис.10 изображена визуализация скорости вдоль оси.

Рисунок 9 - Визуализация распределения скорости в прямом тракте газовода V=1m/s

Из рис.10 видно распределение скорости потока вдоль оси, по высоте канала. В сечение х=0.5 наблюдается искажение профиля скорости, обусловленное влиянием газораспределительной решетки вверх по потоку. В сечение х=0.35 наблюдается резкий скачок скорости в координатах от х=-0.025 до координаты х=0.025, что обусловлено геометрией газораспределительной решетки. Возможно, удалось бы избежать данного скачка скорости, создав в середине решетки дополнительное отверстие. Распределение давления достаточно ровное, отклонение от среднего составляет около 2%.

Рисунок 10 - Распределение скорости и давления по высоте канала V=1m/s

Модель тракта газовода: тракт с поворотом без теплообмена. На рис.11 изображена визуализация скорости вдоль оси. Наблюдается некоторая неравномерность распределения скорости, что подтверждается на рис.13 на котором изображено распределение скорости по высоте канала в сечении х=0.35 их=0.5.

Рисунок 11 - Визуализация распределения скорости в тракте газовода с поворотом V=1m/s

Из рис.12 видно распределение скорости по высоте канала. Есть небольшое несимметричное искажение профиля скорости в сечении х=0.5, порядка 5-7%, которое вызвано поворотом потока. В отличие от прямого канала, профиль более плоский. В сечении х=0.35 асимметрии профиля не выявлено, это влияние газораспределительной решетки. Резкий скачок скорости выявленный в прямом газогенераторе в координатах от х= -0.025 до х=0.025, здесь сглажен. Распределение давления(рис.15) ровное с отклонением около 2%.

Рисунок 12 - Распределение скорости и давления по высоте канала V=1m/s

Модель тракта газовода: тракт с поворотом, охлаждение стенки 2. На рис.13 изображено визуализация распределения скорости по траку газовода. Распределение скорости схоже с трактом газовода без теплообмена.

Рисунок 13 - Визуализация распределения скорости в тракте газовода с охлаждением стенки 2 V=1m/s

Из рис.14 видно что характер распределения скорости и статического давления схож с с течением в канале с поворотом без теплообмена.

Рисунок 14 - Распределение скорости и статического давления по высоте канала с охлаждением стенки 2 V=1m

Модель тракта газовода: тракт с поворотом, охлаждение стенки 3. Как видно из рис.15 распределение скорости по тракту схоже с трактом без теплообмена.

Рисунок 15 - Визуализация распределения скоростей в тракте газовода с охлаждением стенки 3 V=1m/s

На рис.19 и рис.20 так же видно что распределение скорости по высоте канала в сечениях х=0.35 и х=0.5 схоже с трактом без теплообмена.

Рисунок 16 - Распределение скорости и статического давления по высоте канала с охлаждением стенки 3 V=1m/s

Модель тракта газовода: тракт с поворотом, охлаждение стенки 2 и 3. Распределение скорости по тракту схоже с трактом без теплообмена (рис.17).

Рисунок 17 - Визуализация распределения скорости в тракте газовода с охлаждением стенки 2 и 3 V=1m/s

Из рис.18 видно характер распределения скорости и давления так же схож с предыдущими.

Рисунок 18 - Распределение скорости и статического давления по высоте канала с охлаждением стенки 2 и 3 V=1m/s

Модель тракта газовода: тракт с поворотом, охлаждение наружной стенки. Как видно из рис.19 распределение скорости по тракту схоже с трактом без теплообмена.

Рисунок 19 - Визуализация распределения скорости в тракте газовода с охлаждением наружной стенки V=1m/s

Из рис.20 видно что средняя скорость в сечении х=0.5 упала, а в сечении х=0.35 стала ассиметричной. Это влияние охлаждения стенки, Т.к. площадь охлаждения в данном случае больше. Значения скорости в сечении х=0.35 со стороны охлаждаемой стенки стали меньше, и вызвало асимметрию профиля скорости. Характер распределения давления не изменился.

Рисунок 20 - Распределения скорости и статического давления с охлаждением наружной стенки V=1m/s

Модель тракта газовода: тракт с поворотом, подогрев стенки 2 и 3. Распределение скорости по тракту схоже с трактом без теплообмена (рис21).

Рисунок 21 - Визуализация распределения скорости тракте газовода с подогревом стенки 2 и 3

Как видно из рис.22 при подогреве характер профиля скорости в сечении х=0.5 сохранился. Профиль скорости в сечении х=0.35 проявился резкий скачок скорости в координатах от х= -0.025 до х=0.025. Характер профиля давления сохранился

Рисунок 22 - Распределение скорости и статического давления по высоте канала с подогревом стенки 2 и 3 V=1m/s

Рисунок 23 - Распределения скорости по высоте канала V=1m/s

Как видно из рис.23 амплитуда изменения профиля скорости по высоте канала в тракте газовода с поворотом меньше, чем в прямом газогенераторе. Профиль скорости в прямом тракте газовода симметричный. В тракте газовода с поворотом ассиметричный, это вызвано поворотом потока. Уменьшение средней приведенной скорости вызвано съемом тепла.

Рисунок 24 - Распределение статического давления по высоте канала V=1m/s

Из рис.24видно что характер распределения схож. Уменьшение статического давления так же вызвано съемом тепла. Линии 2 и 3 наложились друг на друга, что скорее всего вызвано тем что холодная стенка находится в непосредственной близости с сечением x=0.5, и поток не успел отдать достаточно тепла, для того что бы изменилось давление.

Наибольшее влияние на изменение скорости потока и изменения статического давления оказывается при охлаждении стенки 2 и 3 совместно, т.к. в данном случае теплосъем больше.

Результаты расчета для среднерасходной скорости 10 м/с

Параметры потока на входе:

Расход газа 1.198 кг/с

Температура 800 К

Среднерасходная скорость 10м/с

Плотность 0.444 кг/м3

Динамическая вязкость 59.765Па

Коэффициент теплоотдачи от газа к стенке 8.146Вт/м*К

Число Нуссельта 84.15

Число Рейнольдса 61753

Число Прандтля 0.213

Число Стантона 0.0064

Модель тракта газовода: прямой тракт без теплообмена. На рис.25 изображена визуализация скорости вдоль оси.

Рисунок 25 - Визуализация распределения скорости в прямом тракте газовода V=10m/s

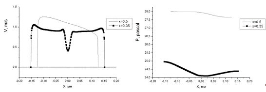
Из рис.26 видно что профиль скорости симметричный. В сечении х=0.5, по сравнению с режимом течения V=1m/s, профиль скорости более плоский, с меньшей амплитудой. В сечении х=0.35 в координатах от х= -0.025 до х=0.025, скачок скорости стал больше и достигает 40% от среднерасходной скорости. Распределение статического давления в сечения х=0.35 стало вогнутым.

Рисунок 26 - Распределение скорости и статического давления по высоте канала V=10m/s

Модель тракта газовода: тракт с поворотом без теплообмена. На рис.27 изображена визуализация скорости вдоль оси.

Рисунок 27 - Визуализация распределения скорости в тракте газовода V=10m/s

Из рис.28 видно что в сечении х=0.5 наблюдается перекос профиля скорости, вызванный поворотом потока, разница достигает 25% от среднерасходной скорости. В сечении х=0.35 скачок скорости сохранился, стал ассиметричным. Распределение давление стало ассиметричным.

Рисунок 28 - Распределение скорости и статического давления по высоте канала V=10m/s

Модель тракта газовода: тракт с поворотом с охлаждением стенки 2.

Рисунок 29 - Визуализация распределения скорости в тракте газовода с охлаждением стенки 2 V=10m/s

Из рис.29 видно что характер распределения скорости такой же как и в газогенераторе без теплообмена. Распределение давление аналогично.

Рисунок 30 - Распределение скорости и статического давления по высоте канала с охлаждением стенки 2 V=10m/s

Модель тракта газовода: тракт с поворотом, охлаждение стенки 3. На рис.31 изображено визуализация распределения скорости по траку газовода. Распределение скорости схоже с трактом газовода без теплообмена.

Рисунок 31 - Визуализация распределения скорости в тракте газовода с охлаждением стенки 3 V=10m/s

Из рис.32 видно что характер распределения скорости такой же как и в газогенераторе без подогрева. Распределение давление аналогично.

Рисунок 32 - Распределение скорости и статического давления по высоте канала с охлаждением стенки 3 V=10m/s

Модель тракта газовода: тракт с поворотом, охлаждение стенки 2 и 3 (рис34).

Рисунок 33 - Визуализация распределения скорости в газогенераторе с охлаждением стенки 2 и 3 V=10m/s

Распределение скорости и давления аналогично тракту газовода с поворотом без теплообмена (рис.35).

Рисунок 34 - Распределение скорости и статического давления по высоте канала с охлаждением стенки 2 и 3 V=10m/s

Модель тракта газовода: тракт с поворотом, охлаждение наружной стенки (рис35).

Рисунок 35 - Визуализация распределения скорости в газогенераторе с охлаждением наружной стенки V=10m/s

Из рис.36 видно что при охлаждении наружной стенки, происходит уменьшение скорости. Так же наблюдается уменьшение статического давления в сечении х=0.35.

Рисунок 36 - Распределение скорости по высоте канала в газогенераторе с охлаждением наружной стенки V=10m/s