Материал: УКМП2ЛАБ

Внимание! Если размещение файла нарушает Ваши авторские права, то обязательно сообщите нам

ГУАП

КАФЕДРА № 24

ОТЧЕТ ЗАЩИЩЕН С ОЦЕНКОЙ

ПРЕПОДАВАТЕЛЬ

Ассистент, инженер

А.С Данилова

должность, уч. степень, звание

подпись, дата

инициалы, фамилия

ОТЧЕТ О ЛАБОРАТОРНОЙ РАБОТЕ

СТРЕЛОЧНАЯ ДИАГРАММА

по курсу: УПРАВЛЕНИЕ КАЧЕСТВОМ МЕДИЦИНСКОЙ ПОМОЩИ

РАБОТУ ВЫПОЛНИЛ

СТУДЕНТ ГР. №

2845

А.Д. Панфилова

подпись, дата

инициалы, фамилия

Санкт-Петербург 2019

СОДЕРЖАНИЕ

Y

ВВЕДЕНИЕ 3

Особенности новых инструментов управления качеством 4

Стрелочная диаграмма 5

Построение диаграммы Ганта 7

Построения сетевого графика 8

Преимущества диаграммы Ганта 10

Преимущества сетевого графика 11

ЗАКЛЮЧЕНИЕ 12

СПИСОК ИСПОЛЬЗОВАНЫХ ИСТОЧНИКОВ 13

ВВЕДЕНИЕ

В настоящее время разработан очень полезный набор инструментов, позволяющих облегчить решение проблем управления качеством при анализе различного рода фактов, представленных преимущественно не в численной, а в какой-либо другой форме, например, в виде словесных (устных) описаний. Информацию, представленную в виде словесных (устных) описаний, часто называют вербальной информацией.

К этим инструментам относятся и стрелочная диаграмма.

Особенности новых инструментов управления качеством

Большинство простых инструментов основано на анализе численных данных. Это вполне соответствует принципу менеджмента качества: "Принятие решений, основанных на фактах". Однако факты не всегда бывают численными по своей природе. Принятие решений в этом случае должно базироваться

− на знании закономерностей поведения людей (поведенческой науки);

− на знании операционного анализа;

− на знании статистики;

− на знании теории оптимизации.

Инструменты управления качеством (УК) - набор инструментов, позволяющих облегчить задачу управления качеством в процессе организации, планирования и управления бизнесом при анализе различного рода фактов. Новые инструменты управления качеством (УК) обеспечивают понимание сложных ситуаций и позволяют облегчить задачу управления качеством путем улучшения процесса проектирования продукции или услуги. Инструменты УК усиливают процесс планирования благодаря их способности:

  • уяснять задачи;

  • устранять недостатки;

  • содействовать распространению и обмену информацией между заинтересованными сторонами;

  • использовать бытовую лексику.

Стрелочная диаграмма

Стрелочная диаграмма - инструмент, позволяющий планировать оптимальные сроки выполнения всех необходимых работ для реализации поставленной цели и эффективно их контролировать. Используется на этапе составления оптимальных планов тех или иных мероприятий после того, как:

определены проблемы, требующие решения;

намечены необходимые меры;

определены сроки и размечен ход осуществления запланированных мер.

Стрелочная диаграмма обычно графически представляет ход проведения работ. Из стрелочной диаграммы должны быть наглядно видны порядок и сроки проведения различных этапов работы. Одновременно этот инструмент обеспечивает уверенность, что планируемое время выполнения всей работы и отдельных ее этапов является оптимальным при достижении конечной цели.

Стрелочные диаграммы широко применяются не только при планировании, но и для последующего контроля хода выполнения запланированных работ, в частности, при проектировании и разработке, а также при планировании и контроле производственной деятельности.

Методика построения

Определите задачу для построения стрелочной диаграммы.  Соберите необходимые данные с использованием других инструментов качества.  Для построения стрелочной диаграммы вам необходимо определить мероприятия (работы) для решения поставленной задачи, сроки их реализации. Кроме того, при сложной зависимости этапов выполнения мероприятий друг от друга следует установить (определить) данные взаимосвязи.

Выберите разновидность стрелочной диаграммы для построения: диаграмму Ганта или сетевой график.

Построение диаграммы Ганта

Нарисуйте таблицу, в левый столбец которой занесите наименования выполняемых мероприятий.

Наименования мероприятий следует расставлять сверху вниз в порядке их выполнения.

Выберите удобную периодичность контроля над выполнением занесенных в таблицу мероприятий и проставьте ее в верхней строке нарисованной таблицы.

В качестве периодичности выполнения работ могут выступать недели, месяцы, кварталы и т.д.

В строке каждого мероприятия следует нарисовать стрелку, которая начинается в столбце запланированного срока начала выполнения этого мероприятия, а заканчивается в столбце запланированного срока завершения выполнения рассматриваемого мероприятия.

Рисунок 1 – пример диаграммы Ганта.

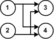
Построения сетевого графика

Запишите мероприятия списком сверху вниз, в порядке их реализации.  Присвойте каждому мероприятию записанного списка порядковый номер, проставив их сверху вниз, начиная с 1.  Разбейте мероприятия по группам по признаку одинакового срока начала их выполнения.

Для первой группы с левой стороны листа нарисуйте окружности (или квадраты) одну под другой в количестве равном количеству мероприятий, входящих в первую группу.  В нарисованных окружностях проставьте порядковые номера мероприятий, относящихся к первой группе.

Отступите некоторое расстояние вправо и начертите окружности (одну под другой) для второй группы мероприятий.  В начерченные окружности запишите порядковые номера мероприятий, относящихся ко второй группе.

Мероприятия для третьей группы нарисуйте правее второй группы.  Аналогично указанному алгоритму нанесите на лист все группы мероприятий.  С помощью стрелок укажите порядок выполнения мероприятий.  Т.е. стрелка берет начало от мероприятия, от завершения выполнения которого зависит начало выполнение следующего мероприятия, и заканчивается на этом зависимом мероприятии.

Возможны 4 варианта зависимости между мероприятиями:

    - начало выполнения одного мероприятия зависит от завершения выполнения одного мероприятия;

    - начало выполнения одного мероприятия зависит от завершения выполнения нескольких мероприятий;

    - начало выполнения несколько мероприятий зависит от завершения выполнения одного мероприятия;

  - начало выполнения несколько мероприятий зависит от завершения выполнения нескольких мероприятий. 

Над каждой стрелкой проставьте планируемую продолжительность выполнения мероприятия, от которого начинается стрелка.

    

Рисунок 2 – пример сетевого графика.

Преимущества диаграммы Ганта

  • одновременное отображение мероприятий и сроков их выполнения, а также представление информации в табличном (привычном для нас) виде, что значительно облегчает его восприятие;

  • график Ганта легче в построении, чем сетевой граф.

Преимущества сетевого графика

  • возможность отобразить сложные взаимосвязи выполнения мероприятий друг от друга;

  • при каких-либо затруднениях или наоборот ускорении выполнения каких-нибудь мероприятий, в сетевом графе довольно легко разобраться на какие связанные мероприятия это повлияет и как это отразится на окончательных сроках выполнения всех работ. В графике Ганта, если мероприятия связаны не простой линейной последовательностью, отследить это практически невозможно.

ЗАКЛЮЧЕНИЕ

Стрелочная диаграмма – инструмент, позволяющий спланировать оптимальные сроки выполнения всех необходимых работ для скорейшего и успешного достижения поставленной цели. Применение этого инструмента возможно лишь после того, как выявлены проблемы, требующие своего решения, и определены необходимые меры, сроки и этапы их осуществления, т.е. после составления первых четырех диаграмм.

СПИСОК ИСПОЛЬЗОВАНЫХ ИСТОЧНИКОВ

  1. http://window.edu.ru/catalog/pdf2txt/743/56743/27322?p_page=2

  2. https://biglibrary.ru/category38/book135/part33/