Материал: Участок по производству радиопрозрачных сегментов производительностью 40 т/год

Внимание! Если размещение файла нарушает Ваши авторские права, то обязательно сообщите нам

Участок по производству радиопрозрачных сегментов производительностью 40 т/год













Дипломная работа

По дисциплине: "Основы проектирования и оборудование предприятий по переработке пластмасс"

Участок по производству радиопрозрачных сегментов производительностью 40 т/год

Реферат

композиционный формование контактный брак

Спроектирован участок цеха по изготовлению изделий из стеклоткани производительностью 40 тонн в год.

В технологической части проекта дано обоснование метода получение композиционных материалов (контактное формование), изложены требования к сырью и готовой продукции. Дано описание спроектированной технологической схемы производства, контроля производства, видов брака и способов его устранения.

Расчетная часть проекта содержит материальный баланс производства, расчет и выбор основного и вспомогательного оборудования. Выполнен энергетический расчет, представлены технико-экономические показатели проекта.

Проведен анализ условий труда, изложены требования безопасности работы на оборудовании, при хранении и транспортировке сырья и готовой продукции.

Содержание

Введение

1.     Технологическая часть

1.1 Технико-экономическое обоснование

.2 Характеристика готовой продукции

.3 Характеристика сырья

.4 Основание выбора метода переработки

.5 Физико-химические основы технологического процесса

.6 Описание технологической схемы производства

.7 Контроль производства

.8 Виды брака и способы его устранения

2. Расчеты

.1 Материальные расчеты и материальныq баланс

.2 Расчет эффективного времени работы основного оборудования

.3 Расчет и выбор оборудования

.3.1 Расчет и выбор основного оборудования

.3.2 Выбор вспомогательного оборудования

.3.3 Описание формующей оснастки

.4 Расчет энергозатрат

.5 Штаты участка

. Экология

. Техника безопасности

. Строительная часть

Заключение

Список литературы

Введение


Контактное формование - наиболее простым по аппаратурио-технологическому оформлению способом получения полимерных композиционных материалов продолжает оставаться контактное формование, которое применяется для изготовления крупногабаритных малона-груженных деталей сложной конфигурации: коробчатых кожухов механизмов, баков, корпусов и других элементов лодок, катеров и пр. Контактное формование изделий в открытых формах осуществляют в основном двумя методами - ручной укладкой и напылением.

Технология ручной укладки включает следующие основные операции:

нанесение разделительных покрытий на формы;

раскрой тканых или нетканых армирующих материалов;

приготовление связующего;

укладка армирующего материала на форму;

нанесение на армирующий материал связующего и пропитка им арматуры;

отверждение связующего при комнатной температуре или при нагревании до 70-95 0С;

извлечение изделия из формы и его механическая обработка согласно требованиям чертежа;

контроль качества изделия.

Метод формования напылением отличается от описанного тем, что волокнистая арматура (стекловолокно, базальтовое волокно, углеволокно) в виде бесконечного ровинга рубится на короткие отрезки - штапельки - и доставляется в форму одновременно со смесью соответствующей смолы и катализатора. Варьирование соотношения смолы и наполнителя, вида армирующего материала и системы его укладки, типа смолы и ее наполнителей позволяет в широких пределах изменять свойства получаемых композиционных пластиков, поскольку структура и свойства композита, да и само изделие формообразуется в процессе его получения.

При конструировании деталей необходимо располагать данными о напряжениях, которые они будут испытывать в процессе хранения и эксплуатации, что позволяет определить необходимые прочностные характеристики применяемого материала.



1.      Технологическая часть

1.1 Технико-экономическое обоснование

-слойные мембраны с отбортовкой на эпоксидном связующем являются деталями для изготовления для радиопрозрачных укрытий .Ассортимент и объем выпуска продукции представлен в табл. 1.

Таблица 1 Ассортимент и объем выпуска продукции

.2 Характеристика готовой продукции


Детали для сборки радиопрозрачных укрытия изготавливающиеся из стеклоткани и связующего недолжны иметь трещин, вздутий, морщин и складок на поверхности изделия .

Изделие должно соответствовать следующим техническим требованиям:

1.      Изделие должно соответствовать требованиям ТУ, чертежам, контрольным образцам и изготавливаться по технической документации, утвержденной в установленном порядке;

2.      Материалы, применяемые при изготовлении изделия должны соответствовать действующей на них нормативно-технической документации;

.        Цвет изделия должен соответствовать указанным в чертежах изделия или контрольным образцам, утвержденным в установленном порядке. При отсутствии указаний в чертежах цвет изделия не регламентируется и определяется цветом материала, применяемого для изготовления изделия;

.        Размеры, подлежащие контролю при сдаче и приеме изделия, обозначаются в чертеже на изделие или указываются в документе, согласованном между изготовителем и потребителем;

.        Поверхность изделия должна быть вздутий, трещин, морщин, складок и расслоений. Качество изделия по внешнему виду определяется контрольным образцом, согласованном в установленном порядке.

Маркировка, характеризующая данные об упакованной продукции должна содержать:

-        Наименование или условное обозначение предприятия - изготовителя или товарный знак;

-        Условное обозначение продукта, ГОСТ и ТУ;

         Номер партии, массу;

         Дату изготовления и подпись упаковщика.

1.3 Характеристика сырья

Эпоксидная смола ЭД-20 Стандарт качества: ГОСТ 10587-84

Эпоксидные смолы выпускаются в жидком и твердом состоянии. Они термопластичны, но под влиянием различных отвердителей превращаются в неплавкие полимеры, которые находят широкое применение в промышленности как материал для склейки, герметизатор и пр. Процесс отверждения этих смол может происходить при нормальной комнатной температуры до 20 °С.

Эпоксидная смола ЭД-20 представляет собой прозрачную вязкую жидкость желтоватого цвета без видимых механических включений.

Эпоксидная смола ЭД-20 - двухкомпонентная смола. Для её отверждения требуются отвердители для эпоксидных смол (ПЭПА, ТЭТА, и т.д.).

Особенности использования ЭД-20

Эпоксидная смола ЭД-20 имеет широкую область применения и имеет ряд особенностей:

·              не рекомендуется использовать составы, содержащие только эпоксидную смолу и отвердитель, так как в большинстве случаев получаются весьма жесткие материалы подверженные трещинообразованию;

·              по сравнению с акриловыми смолами, эпоксидные смолы обладают большей токсичностью;

·              малоэластичность. При движении поверхностей под эпоксидным покрытием, может возникнуть трещина;

·              эпоксидная смола ЭД-20 достаточно вызкая, поэтому при работе приходится зачастую использовать различные растворители.

Существует два способа временного понижения вязкости смолы: один представляет собой нагревание смеси, а второй - добавление к ней растворителя. В обоих случаях смола становится более текучей. Смола с низкой вязкостью более текуча, ее проще наносить кистью или валиком, она быстро пропитывает стеклоткань и глубже проникает в пористые поверхности вроде поврежденной гнилью древесины. Запрещается смешивать сразу большое количество эпоксидной смолы ЭД-20 с отвердителем без использования специальных аппаратов для смешивания во избежание вскипания.

Применение

Применение эпоксидно-диановых смол, основные заменители Используются эпоксидные смолы в электротехнической, радиоэлектронной промышленности, авиа, судо и машиностроении, в строительстве в качестве компонента заливочных и пропиточных компаундов, клеев, герметиков, связующих для армированных пластиков, в лакокрасочных материалах, стеклопластике, для изготовления наливных полов.

Также используются эпоксидно-диановые смолы в производстве эпоксидного клея, пропиточного материала вместе со стеклотканью для изготовления и ремонта различных корпусов ("угле-" и "стеклопластиковые", "карбоновые" корпуса и детали кузова автомобиля), при изготовлении гидроизоляции помещений (пол и стены подвальных помещений, бассейны). А так же используется для изготовления эмалей, лаков, шпатлевок и в качестве полуфабриката для производства других эпоксидных смол и добавок к ним. То, какими свойствами будет обладать конечное изделие на основе эпоксидной смолы зависит от того, какими отвердителями, добавками и пластификаторами они модифицируются. Эпоксидно-диановые смолы ЭД-20 и ЭД-16 обеспечивают наибольшие технологические удобства при переработке в изделия и позволяют создать на основе этих смол самые разнообразные материалы.

Эти эпоксидные смолы могут отверждаться при нормальной или повышенной температуре (в зависимости от свойств применяемого отвердителя), без воздействия внешнего давления что позволяет обходиться без прессового и термического оборудования и дорогостоящих пресс-форм. Последнее свойство особенно важно при изготовлении и ремонте крупногабаритных конструкций на месте монтажа, что в значительной степени расширяет области применения эпоксидных смол. Возможность отверждения этих смол без выделения побочных продуктов обеспечивает беспористость и высокую плотность материалов, что очень важно при работе конструкций, например, в условиях paдиоактивных загрязнений или вакуума.

Для использования в качестве пропитки обычно удобнее использовать более жидкую смолу, т.е. ЭД-20 (кроме случаев, когда возможно стекание со стен), но результат из более жидкой смолы получится менее прочным и менее термостойким. Поэтому для ремонта корпусов морских катеров или при строительстве мостов и путепроводов для получения максимальной прочности и адгезии используют смолу ЭД-16.

Покрытия на основе смол ЭД-20, ЭД-16 характеризуются следующими свойствами:

·              хорошая адгезия к металлу, стеклу, керамике

·              высокая твердость

·              эластичность

·              ценные диэлектрические свойства

·              стойкость в агрессивных средах

·              не вызывают коррозии соприкасающихся с ними материалов

Упаковка

Эпоксидно-диановые смолы упаковывают в оцинкованные барабаны вместимостью от 50 до 220 кг.

Транспортировка

Транспортируют смолы эпоксидные в крытых транспортных средствах. Хранят в закрытых помещениях при температуре окружающей среды. Не допускается совместное хранение с окислителями, эпихлоргидрином, кислотами.

Хранение

Смолу ЭД-20 хранят в плотно закрытой таре в закрытых складских помещениях при температуре не выше 40°С.

Гарантийный срок хранения эпоксидной смолы ЭД-20: 1 год с даты изготовления.

Технические характеристики

Техническая характеристика ЭД-20


Высший сорт

Первый сорт

Внешний вид

Вязкая, прозрачная

Вязкая, прозрачная

Цвет по железо-кобальтовой шкале, не более

3

8

Массовая доля эпоксидных групп, %

20 - 22.5

20.2 - 22.5

Массовая доля иона хлора, %, не более

0.001

0.005

Массовая доля омыляемого хлора, %, не более

0.3

0.8

Массовая доля гидроксильных групп, %, не более

1.7

-

Массовая доля летучих веществ, %, не более

0.2

0.8

Динамическая вязкость, Па*сек, · при (25±0.1)°C · при (50±0.1)°C

 · 13 - 20 · -

 · 12 - 25 · -

Температура размягчения по методу "кольцо и шар", °C, не выше

-

-

Время желатизации, час., не менее

8

4


Безопасность

Эпоксидная смола ЭД-20 не взрывоопасна, но горит при внесении в источник огня. Летучие компоненты (толуол и эпихлоргидрин) содержатся в смоле в количествах, определяемых исключительно анлитическими методами, и относятся к веществам 2-го класса опасности по степени воздействия на организм человека.

Работающие с эпоксидными смолами должны быть обеспечаны спецодеждой и индивидуальными средствами защиты. Все операции при работе с эпоксидными смолами должны проводится в помещениях оборудованных приточно-вытяжной вентиляцией.

При непосредственном контакте неотвержденной смолы с кожей возможно возникновение дерматита, в некоторых случаях аллергического характера.

При работе с эпоксидными смолами должны соблюдаться утвержденные требования санитарных правил организации технологических процессов и гигиенических требований к производственному оборудованию и правил безопасности по производству пластических масс.

Отбор проб, промывка и обработка аппаратуры и тары, анализ смол должны производиться в соответствии с правилами по безопасному ведению работ, утвержденными в установленном порядке.

Производственные помещения должны быть оснащены приточно-вытяжной вентиляцией, обеспечивающей восьмикратный обмен воздуха. Контроль за состоянием воздушной среды - по ГОСТ 12.1.005-88Работающие с эпоксидными смолами должны быть обеспечены специальной одеждой и средствами индивидуальной защиты по ГОСТ 12.4.011-87.

В рабочих помещениях должны быть умывальники с горячей и холодной водой.

Запрещается мытье рук растворителями, так как это способствует возникновению кожных поражений. Брызги смол должны быть немедленно удалены сухими марлевыми тампонами. Затем пораженное место следует обработать этиловым спиртом, тщательно промыть водой с мылом, осушить бумажным полотенцем одноразового пользования и смазать мягкой мазью на основе ланолина, вазелина или касторового масла. Смолы не взрывоопасны, но горят при внесении в источник огня. Температура вспышки более 270 °С. Средства пожаротушения - углекислотные и порошковые огнетушители, вода, пар, инертный газ, асбестовое полотно, песок - должны выбираться в соответствии с правилами по безопасному ведению работ, утвержденными в установленном порядке.

Полиэтиленполиамин (ПЭПА) ТУ 2413-357-00203447-99, ТУ 2413-214-00203312-2002

Химическая формула, CAS и другие названия



CAS

 

Физические свойства

Полиэтиленполиамин (ПЭПА) - смесь этиленовых полиаминов. Маслянистая жидкость от светло-желтого до темно-бурого цвета со специфическим запахом, хорошо растворимая в воде и спирте, поглощающая из воздуха влагу и углекислый газ.


№ п/п

Свойства

Да/Нет

Величина

1

ЛВЖ

нет


2

Замерзает

нет


3

Набирает вязкость

нет


4

Плотность


1 г/см3

5

Температура кипения при давлении 101,32 кПа


207 °С

 

Технические требования

№ п/п

Показатель

Норма

1

Массовая доля, % · общего азота, не менее · хлор-иона, не более · воды, не более · минеральных примесей, не более

 30 - 2 0,2

2

Массовая доля фракции, отгоняемой при остаточном давлении 1,3 кПа · до 75 °С, %, не более · от 75 до 200 °С, %, не менее · от 75 до 210 °С, %, не менее

1 23 -

3

Массовая доля кубового остатка, кипящего выше · 200 °С, % · выше 210 °С, % · третичных аминогрупп, %

65-75 50-65 5-9

4

Отверждающая способность, мин, не более

90


Упаковка, транспортировка, хранение, гарантийный срок хранения:

Полиэтиленполиамины (ПЭПА) разливают в стальные бочки по 200 л., полиэтиленовые бочки по 65 литров, канистры по 5 л, канистры по 1 л. По согласованию с потребителем допускается упаковка в другую тару, обеспечивающую сохранность качества продукта. Бочки заполняют продуктом на 95 % их вместимости и герметично закрывают.

Транспортируют продукт в ж/д цистернах, автоцистернах, или крытых транспортных средствах. Данный вид продукта относится к III классу опасности.

ПЭПу хранят в закрытых помещениях при температуре окружающей среды в плотно закрытой таре. Не допускается совместное хранение с окислителями, эпихлоргидрином, кислотами.

Гарантийный срок хранения - 2 года.

. Области применения

         Отвердители для отверждения смол (ЭД), пр-во лодок, катеров, а/м бамперов, самолеты, вертолеты, парапланы, ремонт стеклопластиков и др.

         Производство лаков, шпатлевок, красок полимерных, серия ЭП

         Производство клея ЭДП, ЭКФ

         Производство ингибиторов коррозии

-        Производство битумных мастик, адгезионных присадок, дорожных красок (разметка)

         Добавки в бетон (модификаторы бетона), химически стойкие бетоны по ГОСТ 25246-82, ячеистый бетон по ГОСТ 25485-89

         - В гальванотехнике, добавка для блеска (электрохимическая полировка)

         В производстве ионообменных смол (аниониты)

         В производстве композитных материалов в электротехнике, пропиточные лаки в электродвигателях, трансформаторах, кабельно-проводниковая продукция

         В производстве электролитов меднения, цинкования, хромирования

         В производстве аминосодержащих смол

         В производстве наливных полов, черновые работы до 10 мм

         Производство электропроводящих клеев, токопроводящие пасты

         Производство азотсодержащих присадок в топливо, масла (моющие, диспергирующие)

         Производство полиэлектролитов

         Производство кабельных муфт серии СЭФ (эпоксидные)

         Производство химикатов-добавок для эмульсионных БСК и БНК в каучуковой промышленности

         Производство полиаминных коагулянтов

Заменители

В настоящее время ПЭПА полностью либо частично заменяется триэтилентетрамином (ТЭТА).

Ткань Стеклянная

Стеклянные волокна как правило , изготавливаются методом формования волокна из расплава , и представляют собой так называемые бесконечные (элементарные) волокна ( диаметр волокна составляет от 10 до 20 мкм ). Поскольку эти волокна могут быть переработаны принятыми в текстильной промышленности способами ( кручением нити , плетением ) , их так же называют текстильными стекловолокнами .

Для улучшения адгезии термореактивных полимеров и стекловолокон оно обрабатывается промоторами адгегии.

На перерабатывающие предприятия стекловолокна постают в различной форме. Наряду с бесконечными элементарными стекловолокнами имеется так же штапельное стекловолокно, обладающее определенной длиной волокна. Из штапельного волокна изготовляются , например , стекловолокнистые холсты и стеклоткани .

Стекловолокна обеспечивают деталями значительную часть их прочности. В зависимости от используемого вида наполнителя , физико-механические свойства выражены в одном ( ровинги ) или в двух ( ткань ) направлениях .При использовании матов из стекловолокна эти значения одинаковы во всех направлениях , но не на столь высоком уровне. Стеклоткани, имеющие нить основы и уточную нить , называют двунаправленными тканями . Если уточные нити отсутствуют, речь идет об однонаправленных материалах для целевого армирования только в одном направлении. Такие материалы удерживаются лишь несколькими поперечными нитями (соединительные нити).

Кроме того, существуют многослойные материалы, имеющие трехмерное строение, то есть при пропитке этих матов смолой , образуется своего рода многослойная плита .

Наряду со стекловолокнами для изготовления изделий, подвергающихся высоким и сверхвысоким нагрузкам , используются также углеродные волокна .

Углеродные волокна получают с помощью различных термических процессов обработки . Они обладают модулем упругости , в 5-6 раз превышающие модуль упругости стекловолокон. По назначениям модуль упругости между стекловолокнами и углеродными волокнами находятся арамидные волокна, представляющие собой волокна из ароматических полиамидов.

Ацетон

Стандарт качества: ГОСТ 2768-84

Формула: CH3COCH3

Технический ацетон получают кумольным методом, методом ацетонобутилового брожения, а также в качестве побочного продукта в ряде производств.

Применение

Технический ацетон используется для синтеза уксусного ангидрида, ацетонциангидрина, дифенилолпропана и других органических продуктов, а также в качестве растворителя в различных отраслях промышленности.

Упаковка

Технический ацетон заливают в специально выделенные для ацетона железнодорожные цистерны с верхним сливом или универсальным сливным прибором, автоцистерны, в бочки алюминиевые, стальные или оцинкованные, вместимостью от 100 до 275 дм3 , в стеклянные бутыли по ОСТ 6-09-185, вместимостью 10 и 20 дм3. Ацетон, предназначенный для розничной торговли, упаковывают в стеклянные бутыли и флаконы вместимостью 30, 50, 100, 500 и 1000 см33.

Транспортировка

Ацетон транспортируют транспортом всех видов в соответствии с правилами перевозок грузов, действующими на транспорте данного вида. Воздушным транспортом перевозят только на грузовых судах с максимальным объемом нетто на одну упаковку 60 дм3. По железной дороге перевозят в бочках в крытых вагонах (повагонными или мелкими отправками). При транспортировании ацетона в бочках вместимостью 100 дм3 в крытых железнодорожных вагонах, речным и морским транспортом перевозку осуществляют пакетами в соответствии с правилами перевозки грузов. Ацетон в бутылях перевозят только автомобильным транспортом.

Технический ацетон хранят в стальных, алюминиевых, оцинкованных емкостях или бочках и в стеклянных бутылях в соответствии с правилами хранения огнеопасных веществ.

Хранение

Технический ацетон хранят в стальных, алюминиевых, оцинкованных емкостях или бочках и в стеклянных бутылях в соответствии с правилами хранения огнеопасных веществ.

Срок хранения (годности) - не ограничен.

Безопасность

По степени воздействия на организм ацетон относится к 4-му классу опасности.

При продолжительном вдыхании паров ацетон накапливается в организме, может всасываться через неповрежденную кожу. Отравление ацетоном возможно при вдыхании паров ацетона в концентрации, превышающей предельно допустимую концентрацию (200 мг/м33).

Ацетон - легковоспламеняющаяся жидкость. При контакте с перекисью натрия или хромовым ангидридом ацетон загорается со взрывом. Все работы с ацетоном должны проводиться с использованием приточно-вытяжной вентиляции вдали от огня и источников искрообразования. В производственных условиях должна быть соблюдена герметизация оборудования, аппаратов, процессов слива и налива для исключения попадания паров ацетона в воздушную среду помещений.

При сливо-наливных операциях необходимо соблюдать правила защиты от статического электричества в производствах химической, нефтехимической и нефтеперерабатывающей промышленности.В процессе транспортных и производственных операций с ацетоном применяются индивидуальные средства защиты (спецодежда, спецобувь, средства защиты органов дыхания).

Одна из основных опасностей при работе с ацетоном - его легковоспламенимость. Температура воспламенения 465 °C, температура вспышки -20 °C. Воздушные смеси, содержащие от 2,5 % до 12,8 % (по объёму) взрывоопасны. С этим необходимо считаться, так как ацетон быстро испаряется, и образующееся облако может распространиться до места воспламенения (нагрев или искра) вдали от места работы с ним.

Считается, что ацетон малотоксичен, также считается, что он не вызывает хронических болезней при использовании основных методов предосторожностей при работе с ним. Ацетон обладает возбуждающим и наркотическим действием, поражает центральную нервную систему, способен накапливаться в организме, в связи с чем токсическое действие зависит не только от его концентрации, но и от времени воздействия на организм. ЛД50 для мышей при вдыхании в течение 4-х часов - 44 г/м3. Для человека ЛД50 оценивается в 1,159 г/кг. ПДК 200 мг/м3.

Из-за высокой летучести, значительная часть ацетона испаряется в атмосферу, где период полураспада под действием ультрафиолета составляет 22 суток. ЛД50 для рыб 8,3 г/л в течение 96 часов, а период полураспада в данной среде от 1 до 10 суток. Ацетон может вызывать значительное понижение уровня кислорода в воде из-за потребления его микроорганизмами.

Технические характеристики

Показатели качества

Высшый сорт

Первый сорт

Второй сорт

Внешний вид

Бесцветная прозрачная жидкость

Массовая доля ацетона, %, не менее

99,75

99,5

99,0

Плотность, г/см3

0,789-0,791

0,789-0,791

0,789-0,792

Массовая доля воды, %, не более

0,2

0,5

0,8

Массовая доля метилового спирта, %, не более

0,05

0,05

Не нормируется

Массовая доля кислот в пересчете на уксусную кислоту, %, не более

0,001

0,002

0,003

Устойчивость к окислению марганцовокислым калием, ч, не менее

4

2

0,75


Примечание: В техническом ацетоне 1-го сорта, получаемом при производстве перекиси водорода из изопропилового спирта, допускается массовая доля метилового спирта не более 0,15 %.

Толуол

Толуол- метилбензол, бесцветная жидкость с характерным запахом, относится каренам.

Общая характеристика

Бесцветная подвижная летучая жидкость с резким запахом, проявляет слабое наркотическое действие. Смешивается в неограниченных пределах с углеводородами, многими спиртами и эфирами, не смешивается с водой. Показатель преломления света 1,4969 при 20 °C. Горюч, сгорает коптящим пламенем.

Химические свойства

Для толуола характерны реакции электрофильного замещения в ароматическом кольце и замещения в метильной группе по радикальному механизму.

Электрофильное замещение в ароматическом кольце идёт преимущественно в орто- и пара-положения относительнометильной группы.

Кроме реакций замещения, толуол вступает в реакции присоединения (гидрирование), озонолиза. Некоторые окислители (щелочной раствор перманганата калия, разбавленная азотная кислота) окисляют метильную группу до карбоксильной. Температура самовоспламенения 535 °C. Концентрационный предел распространения пламени, %об [1,27;6,8]. Температурный предел распространения пламени, °C [6;37]. Температура вспышки 4 °C.

Взаимодействие с перманганатом калия в кислой среде:

С6H5СH3 + 6KMnO4 + 9H2SO4 → 5С6H5СOOH + 6MnSO4 + 3K2SO4 + 14H2O образование бензойной кислоты

Получение и очистка

Продукт каталитического риформинга бензиновых фракций нефти. Выделяется селективной экстракцией и последующей ректификацией.Также хорошие выходы достигаются при каталитическом дегидрировании гептана через метилциклогексан. Очищают толуол аналогично бензолу, только в случае примененияконцентрированной серной кислоты нельзя забывать, что толуол сульфируется легче бензола, а, значит, необходимо поддерживать более низкую температуруреакционной смеси (менее 30 °C). Толуол также образует с водой азеотропную смесь

Толуол можно получить из бензола по реакции Фриделя-Крафтса:


Применение

Сырьё для производства бензола, бензойной кислоты, нитротолуолов(в том числе тринитротолуола), толуилендиизоцианатов (через динитротолуол и толуилендиамин) бензилхлорида и др. органических веществ.

Является растворителем для многих полимеров, входит в состав различных товарных растворителей для лаков и красок. Входит в состав растворителей: Р-40, Р-4, 645, 646, 647, 648. Применяется как растворитель в химическом синтезе.

Опасность

Пары толуола могут проникать через неповрежденную кожу и органы дыхания, вызывать поражение нервной системы (заторможенность, нарушения в работе вестибулярного аппарата), в том числе необратимое. Поэтому работать с толуолом и растворителями, в состав которых он входит, необходимо в прочных резиновых перчатках в хорошо проветриваемом помещении или с использованием вытяжной вентиляции.

Пожароопасен, легковоспламеняющаяся жидкость. Концентрационные пределы взрываемости паровоздушной смеси 1,3 - 6,7 %. Обладает слабым наркотическимдействием.

Согласно другим источникам (САНПИН, меры предосторожности при работе с летучими органическими растворителями), толуол является сильно токсичным ядом, влияющим на функцию кроветворения организма, аналогично бензолу. Нарушение кроветворения проявляется в цианозе и гипоксии. Существует также толуольная токсикомания.

В целом, толуол, как и другие гомологи бензола, очень токсичен, его длительное воздействие может привести к необратимым поражениям ЦНС, кроветворных органов и создать предпосылки для возникновения энцефалопатии. Толуол обладает также канцерогенным действием.

1.4 Основание выбора метода переработки


Наиболее простым по аппаратурно-технологическому оформлению способом получения полимерных композиционных материалов продолжает оставаться контактное формование, которое применяется для изготовления крупногабаритных малонагруженных деталей сложной конфигурации: коробчатых кожухов механизмов, баков, корпусов и других элементов и пр. Контактное формование изделий в открытых формах осуществляют ручной укладкой .

 

.5 Физико-химические основы технологического процесса


Армированные композиционные материалы (АКМ), состоящие из смолы, волокон и других наполнителей, после отверждения являются твердыми телами, что позволяет относить их к конструкционным стеклопластикам. Характеристики готового изделия (такие как габаритные размеры, форма, величина серии) обуславливают выбор состава композиции, способа ее получения и формования.

Для изготовления изделия из армированных полимерных материалов методом ручной укладки, армирующий материал (АМ) загружают в форму, формуют изделие и проводят процесс отверждения, после чего он принимает очертания формы. Как правило, применяют формы негативные по отношению к готовому изделию, покрытые изнутри гелькоатом на основе пигментированной эпоксидной смолы, которая образует на изделии поверхностную пленку, но известны и позитивные формы. Детали, формуемые таким методом, состоят из армирующего наполнителя и связующего (на основе эпоксидных смол с отвердителем). Когда отвержденное изделие извлекают из формы, его внешняя поверхность оказывается покрытой тонким полимерным слоем - гелькоатом.

Контактное формование изделий в открытых формах методом ручной укладки осуществляется следующим образом: после нанесения на поверхность формы слоя связующего ее выстилают АМ (стеклоткань, стекломат). Затем тщательно смешивают заранее отмеренные количества смолы и отвердителя. Композицию можно наносить на АМ как вне формы, так и внутри нее. Для полного удаления воздуха и равномерности пропитки смолу наносят сначала на участки АМ в верхней части формы. Для уплотнения материала по форме и удаления пузырьков воздуха используют щетки, резиновые и зубчатые валики (или в некоторых случаях мохеровые валики). Смесь отвердителя со смолой можно наносить на АМ распылителем, который автоматически дозирует и смешивает компоненты. Особое внимание следует уделять нанесению первого слоя (часто это "кожица" из тонкой стекловуали или мата с развесом 229 г/м2), чтобы не допустить образования воздушных пузырьков между АМ и наружным смоляным слоем (гелькоатом). После этого уже можно наносить необходимое число слоев АМ до достижения расчетной суммарной толщины (и, следовательно, прочности). Слои АМ следует чередовать для обеспечения хорошей межслойной прочности сцепления, предотвращения появления воздушных включений и получения максимальной прочности

Полученный, таким образом, слоистый пластик можно считать элементарным конструкционным материалом. Варьирование соотношения смолы и армирующего наполнителя, вида армирующего материала и системы его укладки, типа смолы, вида и количества наполнителей позволяет существенно изменять физические свойства получаемых стеклопластиков.

Из 30-го опыта создания стеклопластиков нам известно, что оптимальным соотношением связующего и АМ при ручной укладке составляет 35 - 45% связующего. Большее содержание связующего приводит к снижению прочности, увеличению толщины стенки изделия, что приводит в конечном счете к удорожанию. Меньшее количество связующего делает стеклопластик "сухим" и не обеспечивает монолитности при ручной укладке. Как правило, в стеклопластиках, где используются полиэфирные смолы, содержание связующего колеблется в пределах 55 - 70%.

 

.6 Описание технологической схемы производства


Технологическая схема производства изделий методом вакуумформования состоит из следующих этапов:

.        Транспортировка и хранение сырья;

.        Вакуумное формование;

.        Вырезка готового изделия;

.        Механическая обработка;

.        Контроль и упаковка;

.        Дробление отходов и брака.

Транспортировка и хранение сырья.

Технологический процесс производства деталей внешней облицовки и интерьера автобусов ЛиАЗ начинается с привоза листового АБС-пластика на склад сырья (СС). Деревянные ящики с материалом разгружают с помощью электропогрузчика (ЭП) и укладывают на полки стеллажей склада сырья.

Поступающие на переработку листы АБС-пластика подвергают входному контролю в соответствии с требованиями соответствующих ТУ, одновременно оценивая технологические свойства. Если материал не подходит для переработки его подвергают соответствующей обработке и только после этого пускают в производство.

Вакуумное формование.

Цикл формования начинается с установки листа АБС-пластика на машину (ВФМ), который зажимается между прижимной рамкой и формующей камерой. Далее нагревателем производится нагрев термопласта до той температуры, при которой возможна его пластичная деформация - формование. Критерием готовности заготовки к формованию является время разогрева, которое подбирается опытным путем. Время подбирается при интенсивности нагрева не вызывающего преждевременную поверхностную деструкцию материала. После разогрева материала нагреватель отводится из зоны формования.

По достижении температуры формования пуансон поднимают, и разогретый лист плотно его обтягивает. Затем, с помощью вакуумного насоса откачивается воздух, создается перепад давления, благодаря которому заготовка еще плотнее обжимает пуансон, точно воспроизводя его форму.

После оформления изделие охлаждается воздухом из вентилятора, снимается с оснастки и вынимается из машины.

Вырезка готового изделия.

После стадии вакуумного формования лист на тележке (Т) направляется на вырезку готовых изделий (ВГИ) при помощи гильотинных ножниц (ГН). Управление гильотинными ножницами ручное и осуществляется с пульта управления.

Затем изделия складывают в технические контейнеры и на тележке (Т) отправляют на механическую обработку (МО). Отходы отправляются на дробление (Д).

Механическая обработка.

Поступающие на механическую обработку изделия, обрабатываются вручную или при помощи инструментов, протираются и направляются на контроль и упаковку (ОТК).

Контроль и упаковка.

Производимая продукция должна соответствовать определенным требованиям, обеспечивающим возможность ее эксплуатации. С этой целью качество контролируется в отделе технического контроля и упаковки (ОТК). Контроль качества детали производится в сравнении ее с эталонным образцом и заключается в контроле размеров, товарного вида, наличии видимых включений и повреждений и др.). Несколько изделий из партии подвергают сложному контролю заключающегося в оценке различных свойств изделия. При положительном заключении ОТК, детали упаковываются и перевозятся на склад готовой продукции (СГП). Если деталь "не прошла", ОТК отбраковывает и направляет ее на дробление (Д).

Дробление отходов и брака.

Забракованные изделия и брак - это технологические отходы. После дробления измельченный материал в мешках, взвешивается на электронных весах (ЭВ) и направляется на склад готовой продукции (СГП), а затем идет на продажу.

 

.7 Контроль производства


Для производства качественной продукции необходимо осуществлять постоянный поэтапный контроль производства включающий в себя: проверку на соответствие нормам исходного сырья, оснастки, контроль соблюдения технологических режимов переработки, контроль качества готовой продукции.

Поэтапный контроль производства приведен в табл. 3.

Таблица 3 Контроль производства


1.8 Виды брака и способы его устранения

 

Нанесение наружного смоляного слоя

 Для получения наружного смоляного слоя (гелькоута) обычно используют полиэфирную смолу, содержащую минеральные наполнители и пигменты, но без армирующих добавок. Эта композиция наносится сначала на поверхность формы, а затем в процессе формования переходит на формуемое изделие, образуя наружный слой. Тем самым достигается образование декоративной глянцевой окрашенной поверхности с хорошими защитными свойствами, которая почти или совсем не требует последующей отделки

Таблица 3.1. Виды и причины появления брака на наружном смоляном слое и методы их устранения.

Вид брака

Причина появления

Способы устранения

Образование морщин на наружном смоляном слое при формовании

Недоотвержденный или слишком тонкий смоляной слой. Смоляной слой вспучивается и отделяется от какого-то участка поверхности изделия из-за недостаточного отверждения и воздействия стирола, содержащегося в формуемой смоле

Толщина невысохшей пленки должна быть не менее 0,38 мм. Смоляной слой наносить равномерно; обеспечить необходимую продолжительность отверждения смоляного слоя

Волнистость наружного смоляного слоя

Слишком большая продолжительность отверждения стеклопластика

Вводить больше катализатора; подобрать катализатор, обеспечивающий отверждение смолы в атмосферных условиях в течение 1ч.

Прожилки на наружном смоляном слое (в основном пастельных тонов). Полые участки под наружным смоляным слоем

Спекание смоляного слоя, вызывающее неравномерность цвета покрытия

Использовать более тяжелую смолу или делать формы более плоскими

Шероховатая поверхность изделий

Накопление парафина

Смыть парафин стиролом или отполировать специальным приспособлением

Отпечатки стекловолокна на изделии

Мягкий наружный смоляной слой

Применять в дальнейшем теплостойкую смолу

Звездообразные микротрещины на изделии

Грубое обращение с изделием при его извлечении из формы с помощью деревянного молотка

Отшлифовать изделие, нанести наружный смоляной слой; использовать парафинированную бумагу и ленту; провести повторную отделку

Образование морщин на наружном смоляном слое сразу же после нанесения

Попал ацетон; вода в смоляном слое; нехватка катализатора в смоляном слое

Отодвинуть распылитель от формы; увеличить степень распыления; ввести больше катализатора; обеспечить стекание пузырьков; контролировать подачу; нагреть форму

Вмятины в наружном смоляном слое (при использовании пленки из ПВС)

Разделительная пленка из ПВС не высушена

Увеличить продолжительность сушки; удалить влагу

Растрескивание наружного смоляного слоя

Слишком тяжелое покрытие. Нижний слой не отвердел, что вызывает усадку и растрескивание смоляного слоя

Не увеличивать толщину свыше 0,64 мм; обеспечивать быстрое отверждение первого слоя

Раковины на наружном смоляном слое

Попадание посторонних частичек в пленку

Напылять пленку в помещении, где нет пыли

Неравномерный цвет покрытия

Пузырьки воздуха; плохая кроющая способность; недостаток пигментов

Для улучшения растекания использовать стирол; посоветоваться с изготовителем смоляного слоя; минимальное количество пигмента не должно быть менее 10 %

Матовая поверхность

Грубая поверхность формы

Вторично отделать поверхность

Затруднения при удалении изделия из формы

Форма не притерта; шероховатая форма; поднутрения в форме; мало парафина

Применять ПВС; повторить всю процедуру подготовки формы; заполнить поднутрения; покрыть парафином все поверхности

Переход отпечатков стекла в наружный смоляной слой

Слишком тонкий смоляной слой; недоотверждение пленки смолы

Увеличить толщину слоя до 0,4 ... 0,5 мм; удлинить цикл до полного отверждения покрытия

Накладка не соответствует наружному смоляному слою

Накладка отверждается слишком быстро

Уменьшить толщину смоляного слоя; снизить концентрацию катализатора; не вводить наполнитель

Наружный смоляной слой прилипает к форме (при нанесении кистью н распылении)

Неправильно подобрана или нанесена смазка для формы

Нанести смазку и дать ей отвердеть. При использовании парафина дать ему полностью высохнуть, а затем отполировать. Если эти меры не помогают, поверх парафина нанести распылением пленку поливинилхлоридного спирта

Белесоватая или неглянцевая поверхность

Все изделие преждевременно извлечено из формы. Загрязнение антиадгезионной смазки еще до нанесения смоляного слоя

Обеспечить более полное отверждение смоляного слоя и нижнего слоя стеклопластика

Пустоты под наружным смоляным слоем

Маленькие и большие плоские вздутия вызываются отделением смоляного слоя от нижнего слоя стеклопластика. Смоляной слой не должен отверждаться на воздухе до состояния без отлипа, а должен остаться липким для лучшей адгезии к нижнему слою стеклопластика

Обеспечить отверждение первого слоя стеклопластика до нанесения второго, третьего и последующих слоев; тщательно проверять, не появились ли пузырьки после нанесения каждого слоя; вырубить эти места и про-шпатлевать композицией, состоящей из одной части смолы и трех частей CaCO2

Открытые раковины, вздутия и точечные отверстия на поверхности наружного смоляного слоя

Воздушные включения, свободный растворитель, грязь или слишком большое выделение тепла при отверждении смоляного слоя или стеклопластика

Избегать попадания воздуха в композицию для смоляного слоя при введении катализатора; дать ей отстояться некоторое время после смешения и перед распылением; содержать все емкости и рабочие поверхности в чистом состоянии

Мягкая поверхность

Неравномерное отверждение

Более тщательно перемешивать катализатор со смолой для наружного слоя; тщательно подбирать и наносить разделительную смазку для форм

Использование антиадгезионной смазки со слишком высоким поверхностным углом, препятствующим смачиванию смоляным слоем небольших участков поверхности (1,6 ... 6,4 мм), вследствие чего материал стеклопластика проявляется через смоляной слой

----------------------------

 

Ручная укладка

Следующей операцией процесса формования после правильной подготовки формы и нанесения наружного смоляного слоя является подготовка материала. Все типы армирующих материалов маты из рубленой стекло-пряжи, ткани и тканый ровинг - поступают в виде больших рулонов различной ширины. Лист нужной длины вырубается из рулона, а затем, при необходимости, обрезается по шаблону с помощью универсального бритвенного ножа, больших ножниц или электрической машины для резки тканей, аналогичной применяемым в швейной промышленности.

Затем тщательно смешивают заранее отмеренные количества смолы и катализатора. Композицию можно наносить на стекловолокно как вне формы, так и внутри нее. Для полного удаления воздуха и равномерности пропитки смолу наносят сначала на участки стекловолокна в верхней части формы. Для уплотнения материала по форме и удаления пузырьков воздуха используют щетки, резиновые и зубчатые валики (или в некоторых случаях мохеровые валики). Как уже отмечалось, смесь катализатора со смолой можно наносить на стекловолокно распылителем, который автоматически дозирует и смешивает компоненты. Особое внимание следует уделять нанесению первого слоя (часто для этого используют стекловуаль или мата с развесом ~230 г/м2), чтобы не допустить образования воздушных пузырьков между армирующим стекловолокном и наружным смоляным слоем (гелькоутом).После этого уже можно наносить необходимое число слоев мата и (или) тканого ровинга до достижения расчетной суммарной толщины (и, следовательно, прочности). Слои мата и тканого ровинга следует чередовать для обеспечения хорошей межслойной прочности сцепления, предотвращения появления воздушных включений и получения максимальной прочности.

Таблица 4. Виды и причины появления брака и методы их устранения при формовании ручной укладкой.

Вид брака

Причина появления

Способы устранения

При отверждении образуются утолщенные жгуты или нитевидные дефекты

Преждевременное отверждение

Емкости для смешения должны быть чистыми и не иметь остатков ранее приготовленных композиций для наружного смоляного слоя. Можно использовать бывшие в употреблении емкости

Образование мелких и крупных трещин

Причиной более крупных трещин являются слишком толстые участки смоляного слоя, чрезмерное тепловыделение или утоненные микрозоны в стеклопластике. Образование мелких трещин происходит вследствие ударов потока воздуха (спереди или сзади)

Обеспечить большую однородность смоляного слоя и хорошее смешение с катализатором; избегать случайных ударов, вызывающих повреждения

Волокнистая структура: беспорядочно торчащее волокно из матов или свитое наискось волокно из тканого ровинга

Большое тепловыделение; материал с грубым плетением; волокно расположено слишком близко к смоляному слою

Проводить поэтапное отверждение стеклопластика, использовать смолы с меньшим тепловыделением; уложить дополнительный мат перед тканым ровиигом. Лучшим способом является применение промежуточного слоя из более жесткой смолы, армированной волокном

Стекание стеклопластика с вертикальных поверхностей

Слишком низкая вязкость смолы; в смоле мало загустители; высокая температура формы или помещения.

Наиболее реальным путем является увеличение содержания загустителя в смоле

Пузырьки

Попадание воздуха в армирующий материал после его заливки смолой

Ввести в смолу 0,2% зеленого пигмента, чтобы можно было рассмотреть пузырьки; более интенсивно обработать слои щетками, резиновыми или зубчатыми валиками; если возможно, залить больше смолы еще до введения стекловолокна, так чтобы смола вытеснила воздух со дна формы

Арки над участками с небольшим радиусом кривизны в виде перекрытий и т.п.

Армирующий материал слишком жесткий; радиус кривизны ниже допустимого уровня

Подобрать мат или тканый ровинг с лучшей смачиваемостью или растворимостью; использовать рыхлую шпатлевку для заполнения зон с небольшим радиусом закруглений перед введением формуемого материала; изменить конструкцию формы

Тонкие поверхности

Щели между перекрывающими друг друга слоями стекловолокна, вызываемые их неправильной укладкой, резкой на слишком короткие штапельки и другими причинами

Устранить ошибки при укладке и резке; перед извлечением изделия из формы нанести накладки на утоненные участки; попытаться пропитать армирующий материал смолой перед его укладкой в форму

Волокна выступают изнутри через наружный слой

Обычно этого не удается избежать, если маты являются единственным армирующим материалом

Для образования последнего слоя использовать ткань, тканый ровинг или тонкий мат с внутренней стороны; после отверждения отшлифовать абразивной шкуркой и нанести лакокрасочное жидкое покрытие

Образование трещин и обогащенных смолой участков обычно на дне или в углублениях

Стекание смолы в толстых слоях в нижние зоны, что приводит к растрескиванию вследствие тепловыделения или слишком большого соотношения между смолой и стекловолокном

Ввести в смолу больше загустителя; до начала отверждения отжать избыток смолы резиновым валиком из точек, куда она стекает; ввести дополнительное количество армирующего материала

Коробление изделия

Несбалансированный слоистый пластик; у изделия плоская поверхность

Слои укладывать симметрично; поверхность изделия сделать слегка изогнутой

Деформация изделия

Недоотверждение в форме

Обеспечить полное отверждение в форме

Растрескивание около элементов жесткости

Твердые включения

В углу, где элемент жесткости соприкасается со стеклопластиком, сделать утолщение

Низкая ударная прочность

Мало стекла; слишком большой изгиб

Перейти на формование с эластичной диафрагмой; вводить больше нетканой и тканой ровницы; применять элементы жесткости или слоистую конструкцию

Смола, входящая в состав стеклопластика, медленно отверждается

Зависит от окружающей температуры

Варьировать количество катализатора в зависимости от окружающей температуры

При прикатывании матов валики захватывают волокна

Прошло мало времени после отверждения смолы; испарение стирола; прикатка проводится слишком быстро

Изменить продолжительность отверждения; отрегулировать вентиляторы; окунать валик в стирол или свежую смолу; уточнить технологию прикатки

 


2. Расчеты

 

.1 Материальные расчеты и материальныq баланс


Материальный баланс производства выполнен с целью определения потребности в сырье. Материальный баланс служит основой для определения производительности оборудования и его количества, технико-экономических показателей проектируемого производства. Снижение потерь по сравнению с базовым производством происходит за счёт нового оборудования. Потери сырья по стадиям технологического процесса приведены в табл. 5.

Таблица 5 Потери сырья по стадиям технологического процесса


Стадии процесса

Потери, %



Базовое производство

Проектируемое производство


Накладка панели ТА.5256.014.101.340


1. Вакуумное формование

0,4

0,4


2. Вырезка готового изделия

27

22


3. Механическая обработка

1,1

1,1


4. Контроль качества и упаковка

1

1


Итого

29,5

24,5


Накладка стойки двери ТА.5256.014.102.770-10


1. Вакуумное формование

0,4

0,4


2. Вырезка готового изделия

25

20


3. Механическая обработка

0,8

0,8


4. Контроль качества и упаковка

1

1


Итого

27,2

22,2


Накладка стойки двери ТА.5256.014.102.770-30


1. Вакуумное формование

0,4

0,4


2. Вырезка готового изделия

26

21


3. Механическая обработка

0,8

0,8


4. Контроль качества и упаковка

1

1


Итого

28,2

23,2


Панель правая ТА.5256.014.101.161


1. Вакуумное формование

0,4

0,4


2. Вырезка готового изделия

25

20


3. Механическая обработка

1,2

1,2


4. Контроль качества и упаковка

1

1


Итого

27,6

22,6


Стадии процесса

Потери, %



Базовое производство

Проектируемое производство


Усилитель ТА.5256.014.101.111


1. Вакуумное формование

0,4

0,4


2. Вырезка готового изделия

27

22


3. Механическая обработка

0,8

0,8


4. Контроль качества и упаковка

1

1


Итого

29,2

24,2


Таблица 6 Расходные коэффициенты производства


Марка

Базовое производство

Проектируемое производство


Накладка панели ТА.5256.014.101.340

1,295

1,245


Накладка стойки двери ТА.5256.014.102.770-10

1,272

1,222


Накладка стойки двери ТА.5256.014.102.770-30

1,282

1,232


Панель правая ТА.5256.014.101.161

1,276

1,226


Усилитель ТА.5256.014.101.111

1,292

1,242


Расходный коэффициент базового производства Кр.б. для детали "Накладка панели ТА.5256.014.101.340" рассчитан следующим образом:

Кр.б. = (100 + 29,5)/100 = 1,295 кг/кг

Расходный коэффициент проектируемого производства Кр.п. для детали "Накладка панели ТА.5256.014.101.340":

Кр.п. = (100 + 24,5)/100 = 1,245 кг/кг

Для остальных деталей Кр.б. и Кр.п. рассчитываются аналогично.

Таблица 6 Материальный баланс производства 1000 кг готовой продукции из АБС-пластика для детали "Накладка панели ТА.5256.014.101.340"


Приход

Расход


Статья прихода

Количество, кг

Статья расхода

Количество, кг


Вакуумное формование


Лист АБС-пластика

1245

Лист АБС-пластика

1241




Потери 0,4%

4


Итого

1245

Итого

1245


Вырезка готового изделия


Накладка панели

1241

Накладка панели

1021




Потери 22%

220


Итого

1241

Итого

1241


Механическая обработка


Накладка панели

1021

Накладка панели

1010




Потери 1,1%

11


Итого

1021

Итого

1021


Контроль и упаковка


Накладка панели

1010

Накладка панели

1000




Потери 1%

10


Итого

1010

Итого

1010


Таблица 7 Материальный баланс производства 1000 кг готовой продукции из АБС-пластика для детали "Накладка стойки двери ТА.5256.014.102.770-10"


Приход

Расход


Статья прихода

Количество, кг

Статья расхода

Количество, кг


Вакуумное формование


Лист АБС-пластика

1222

Лист АБС-пластика

1218




Потери 0,4%

4


Итого

1222

Итого

1222


Вырезка готового изделия


Накладка стойки двери

1218

Накладка стойки двери

1018




Потери 20%

200


Итого

1218

Итого

1218


Механическая обработка


Накладка стойки двери

1018

Накладка стойки двери

1010




Потери 0,8%

8


Итого

1018

Итого

1018


Контроль и упаковка


Накладка стойки двери

1010

Накладка стойки двери

1000




Потери 1%

10


Итого

1010

Итого

1010


Таблица 8 Материальный баланс производства 1000 кг готовой продукции из АБС-пластика для детали "Накладка стойки двери ТА.5256.014.102.770-30"


Приход

Расход


Статья прихода

Количество, кг

Статья расхода

Количество, кг


Вакуумное формование


Лист АБС-пластика

1232

Лист АБС-пластика

1228




Потери 0,4%

4


Итого

1232

Итого

1232


Вырезка готового изделия


Накладка стойки двери

1228

Накладка стойки двери

1018




Потери 21%

210


Итого

1228

Итого

1228


Механическая обработка


Накладка стойки двери

1018

Накладка стойки двери

1010




Потери 0,8%

8


Итого

1018

Итого

1018


Контроль и упаковка


Накладка стойки двери

1010

Накладка стойки двери

1000




Потери 1%

10


Итого

1010

Итого

1010


Таблица 9 Материальный баланс производства 1000 кг готовой продукции из АБС-пластика для детали "Панель правая ТА.5256.014.101.161"


Приход

Расход


Статья прихода

Количество, кг

Статья расхода

Количество, кг


Вакуумное формование


Лист АБС-пластика

1226

Лист АБС-пластика

1222




Потери 0,4%

4


Итого

1226

Итого

1226


Вырезка готового изделия


Панель правая

1222

Панель правая

1022




Потери 20%

200


Итого

1222

Итого

1222


Механическая обработка

1022

Панель правая

1010




Потери 1,2%

12


Итого

1022

Итого

1022


Контроль и упаковка


Панель правая

1010

Панель правая

1000




Потери 1%

10


Итого

1010

Итого

1010


Таблица 10 Материальный баланс производства 1000 кг готовой продукции из АБС-пластика для детали "Усилитель ТА.5256.014.101.111"


Приход

Расход


Статья прихода

Количество, кг

Статья расхода

Количество, кг


Вакуумное формование


Лист АБС-пластика

1242

Лист АБС-пластика

1238




Потери 0,4%

4


Итого

1242

Итого

1242


Вырезка готового изделия


Усилитель

1238

Усилитель

1018




Потери 22%

220


Итого

1238

Итого

1238


Механическая обработка


Усилитель

1018

Усилитель

1010




Потери 0,8%

8


Итого

1018

Итого

1018


Контроль и упаковка


Усилитель

1010

Усилитель

1000




Потери 1%

10


Итого

1010

Итого

1010



2.2 Расчет эффективного времени работы основного оборудования


Вычисляем эффективный фонд времени работы оборудования:

Тэф = (Ткал - Твых - Тпр) · tсут - Тппр - Ттехнол,

где Ткал - количество календарных дней; Твых - количество выходных дней; Тпр - количество праздничных дней; tсут - продолжительность работы в течение суток, ч; Тппр - время простоя оборудования в планово-предупредительных ремонтах, ч/год; Ттехнол - время простоя по технологическим причинам при каждом останове оборудования, ч/год.

tсут = S · tсм,

где S - количество смен; tсм - продолжительность смены, ч.

tсут = 3 · 8 = 24

Продолжительность работы в течении суток составляет 24 часа.

Время простоя оборудования в планово-предупредительных ремонтах:


где Тк - капитальные ремонтные работы, ч/ремонт; Тт - текущие ремонтные работы, ч/ремонт; Цк - время работы между двумя капитальными работами, ч/период; m - число текущих ремонтов в межремонтном периоде.


где Цт - время работы между двумя текущими работами, ч/период.

Принимаем: Цк = 25920 ч/период; Цт = 2880 ч/период; Тк = 552 ч/ремонт; Тт = 96 ч/ремонт.

Число текущих ремонтов в межремонтном периоде:


Принимаем количество календарных дней Ткал = 365 дн.; количество выходных дней Твых =104 дн.; количество праздничных дней Тпр = 13 дн.

Время простоя по технологическим причинам при каждом останове оборудования:


где tтехнол - норма потерь времени по технологическим причинам (на разогрев и остывание оборудования) при каждом останове оборудования, ч/ост. Принимаем 1 ч/ост; ni - количество остановок: nвых - на выходные дни; nпр - на праздничные дни; nппр - в планово-предупредительных ремонтах.

Ттехнол = 1 · (52 + 9 + 8) = 69 ч/год

В итоге эффективный фонд рабочего времени основного оборудования:

Тэф = (365 - 104 - 13) · 24 - 440 - 69 = 5443 ч/год

 

.3 Расчет и выбор оборудования

 

.3.1 Расчет и выбор основного оборудования

Основным оборудованием для получения деталей из пластмасс методом вакуумного формования являются вакуум-формовочные машины.

К вспомогательному оборудованию следует отнести дробилки.

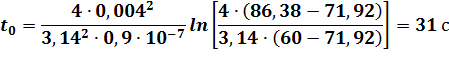
Время нагрева листовых заготовок определяется мощностью нагревателя, толщиной листа и допустимой неравномерностью его нагрева по толщине, а также теплофизическими свойствами материала.

Интенсивность теплового потока, направленного на нагреваемое тело от плоскости источника, расположенного параллельно листовой заготовке, с учётом многократного отражения части тепловых лучей, не обладающих проникающей способностью (пропускная способность тепла близка к нулю), определяется следующим выражением:


где σ0 - постоянная Стефана Больцмана, 3,65 · 10-8 Вт/(см2 · с · ºС4);

Т1 - температура излучающей поверхности нагревателя, К;

Fε - коэффициент лучеиспускания.


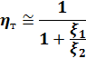
где ξ1 - степень черноты поверхности нагревателя, 0,9;

ξ 2 - степень черноты поверхности нагреваемого тела, 0,8.


Интенсивность поглощения энергии:


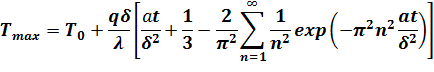
В этом случае при неизменной температуре нагревателя тепловой поток, поглощаемый листовой заготовкой, не меняется во времени. Пренебрегая также конвективным теплообменом с окружающей воздушной средой, можно получить уравнение для расчета температуры листовой заготовки. Температура обогреваемой поверхности:


Температура необогреваемой поверхности:


где Т0 - начальная температура заготовки, 23 ºС;

δ - толщина листа 0,004 м;

λ - коэффициент теплопроводности, 0,2 Вт/(м · ºС);

α - коэффициент температуропроводности, 0,9 · 10-7 м2/с;

t - время нагревания, 180 с.

Поскольку показатель степени π2n2at/δ2 имеет большую величину уже при n=1, в подсчёте суммы ряда ограничимся первым членом разложения:


В качестве критерия равномерности распределения температур используется критерий:


Количество теплоты, расходуемое на нагревание полимера:


где S - площадь листа, 1,96 м2 (1400 × 1400);

Ср - удельная теплоемкость материала 1,57 · 103 Дж/(кг · ºС);

ρ - плотность материала, 1,05 · 103 кг/м3;

Тф - температура формования, равная средней температуре листа после нагревания.


Общая мощность нагревателя с учетом потерь тепла в окружающую среду будет равна:


где ηт - коэффициент термических потерь.


Время охлаждения изделия при одностороннем оводе тепла рассчитывается по уравнению:



где Тд - температура изделия после охлаждения.

Температура детали после охлаждения должна быть такой, чтобы изделие при извлечении не коробилось. Для аморфных полимеров:

Тд = Тс - 20,

где Тс - температура стеклования, для АБС-пластика 80 °С.


Исходя из рассчитанной мощности и максимального размера листа для формования, который задавали изначально при расчете основных технологических параметров, выбираем вакуум-формовочную машину фирмы ООО "МК Магистраль", производства г. Санкт - Петербург, модели Универсал 4GW.

Характеристики ВФМ Универсал 4GW представлены в табл. 11.

Таблица 11. Технические характеристики вакуум-формовочной машины "Универсал 4GW"


Характеристика

Значение


Размер поверхности формования, мм

1340 × 1340


Размер заготовки, мм

1400 × 1400


Глубина формования, мм

750


Ход драпирующего стола, мм

800


Максимальная высота формуемого изделия, мм

750


Используемый материал

Пленки и листы термопластичных полимеров


Толщина листа, мм

0,1 - 15


Габариты ВМФ:

3000×1800×2000


Питание, В

3Ф × 380


Мощность:



 - среднепотребляемая, кВт

20


 - максимальная, кВт

49


Количество зон регулировки нагрева

49


Давление сжатого воздуха, атм.

5 - 6


Расход сжатого воздуха, л/мин.

200


Цикл формования

Ручной и автоматический режим


Загрузка и съем заготовки

вручную


Охлаждение отформованных изделий

Воздушное, ц/б вентилятором


Производительность ц/б вентилятора, м3/час

1000


Управление нагревательными элементами

Электронно-фазовые регуляторы мощности


Камера формования

Герметичная


Примечание: на ложементе и прижимной раме предусмотрены резьбовые отверстия под крепление разграничительных планок для продольного и поперечного дискретного уменьшения поля формования с шагом 50 мм.

Расчет количества ВФМ машин.

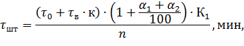
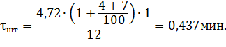
Норму штучного времени для формования изделий из пластмасс определяют по формуле:


где τ0 - основное (технологическое) время, мин;

τв - вспомогательное неперекрываемое время, мин;

к - коэффициент, учитывающий тип производства (для крупносерийного производства к = 1);

К1 - коэффициент, учитывающий количество ВФМ обслуживаемых одним формовщиком;

α1 - коэффициент, учитывающий затраты времени на обслуживание рабочего места;

α2 - коэффициент, учитывающий затраты времени на отдых и личные надобности;

n - количество гнезд.

Принимаем: τв = 0 (процесс автоматизирован); К1 = 1; α1 = 4; α2 = 7 [11].

Основное технологическое время рассчитывается по формуле:

τ0 = τз + τн + τф + τо + τр, мин,

где τз - длительность операции загрузки и фиксации листа, мин;

τн - время нагревания, мин;

τф - время формования, мин;

τо - время охлаждения, мин;

τр - время разгрузки, мин.

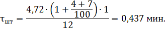
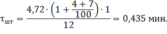
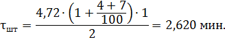
Для каждой детали основное технологическое время будет одинаковым:

τ0 = 0,5 + 3 + 0,17 + 0,55 + 0,5 = 4,72 мин

Рассчитываем норму штучного времени для формования изделий из пластмасс определяют по формуле:


Для детали "Накладка панели ТА.5256.014.101.340":


Для детали "Накладка стойки двери ТА.5256.014.102.770-10":


Для детали "Накладка стойки двери ТА.5256.014.102.770-30":


Для детали "Панель правая ТА.5256.014.101.161":


Для детали "Усилитель ТА.5256.014.101.111":


Время необходимое для выполнения годовой программы выпуска деталей, определяется по формуле:


где П - годовая программа выпуска, шт/год;

Для детали "Накладка панели ТА.5256.014.101.340":


Для детали "Накладка стойки двери ТА.5256.014.102.770-10":


Для детали "Накладка стойки двери ТА.5256.014.102.770-30":


Для детали "Панель правая ТА.5256.014.101.161":


Для детали "Усилитель ТА.5256.014.101.111":


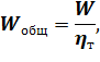
Рассчитываем количество вакуум-формовочных машин по формуле:


где τд - действительный годовой фонд времени работы вакуум-формовочных машин.

∑τ = 378,7 + 382 + 507,5 + 2069 + 386 = 3723,2 ч/год



Для выполнения годовой программы принимаем для производства одну вакуум-формовочную машину модели "Универсал 4GW" производства г. Санкт - Петербург.

2.3.2 Выбор вспомогательного оборудования

Расчет и выбор дробилки.

При производстве деталей методом вакуумного формования неизбежно возникают отходы, большую часть которых можно перерабатывать вторично.

Количество дробилок mд определяем по формуле:


где G - годовая масса измельчаемых отходов, т/год;

Gдр - часовая производительность дробилки, кг/ч;

τд - действительный годовой фонд времени работы дробилки. При односменном режиме работы τд = 1814,3 ч/год. Годовую массу измельченных отходов рассчитывают через материальный баланс:

G = 245 · 6,2 + 222 · 91 + 232 · 49 + 226 · 141,6 + 242 · 12,2 = 68043 кг

Рассчитываем необходимое количество дробилок:


Выбираем дробилку в количестве одной штуки модели XFS180 производства компании "АвангардПЛАСТ" г. Нижний Новгород. Характеристики дробилки представлены в табл. 12.

Таблица 12 Характеристики дробилки XFS180


Параметр

Значение


Мощность двигателя, кВт

2,2


Производительность, кг/ч

100 - 150


Размер приёмной горловины, мм

180 × 136


Скорость вращения ротора, об/мин

520


Количество ротационных ножей, шт.

9


Количество стационарных ножей, шт.

2


Размер ячейки сетки - экрана, мм

7


Габаритные размеры, мм

900 × 440 × 730


Вес, кг

144


Брак и отходы с вырезки готового изделия загружаются сверху в бункер. В дробилке они измельчаются неподвижными и вращающимися ножами, установленными на роторе. В нижней части измельчителя установлена решетка с отверстиями определенного диаметра. По достижении определенных размеров частицы АБС-пластика через решетку попадают в специальную приемную тару.

Дробилка имеет высокий уровень безопасности, низкий расход энергии, минимальный шум при работе.

Выбор гильотинных ножниц.

Гильотинные ножницы серии QC предназначены для точной резки изделий из мягкой стали, могут также использоваться для резки пластмассы, алюминия, меди, латуни, цинка и свинца. Электромеханические гильотинные ножницы предназначены для резки листового металла с автоматической установкой нужной величины зазора между ножами, в зависимости от толщины разрезаемого листа и усилия прижима, пропорционального усилию реза. Управление гильотинных ножниц кнопочное и от педали. Смазка основных узлов комбинированная. Гильотинные ножницы с ножным приводом имеют прочную тяжелую металлическую конструкцию, заземление, удобный упор педали. Верхнее полотно гильотинных ножниц с ножным приводом с двумя способами установки, нижнее полотно - с одним. Двойная конфигурация установки режущих полотен способствует увеличению их рабочего ресурса.

Настройка зазора между ножами, значение которого отображается на индикаторе, применяется для улучшения точности и качества реза.

Гидравлическая система обеспечивает плавную и бесшумную работу станка.

Гидравлические прижимы листа обеспечивают точность реза.

Кнопки управления станком, для эксплуатации станка в различных режимах, расположены на пульте управления.

Выбираем гильотинные ножницы модель QC 11Y-6x2500, фирмы "Норд-Вест Тул" г. Санкт- Петербург, со следующими характеристиками, которые приведены в табл. 13.

Таблица 13 Технические параметры гильотины модель QC 11Y-6x2500


Параметр

Значение


Толщина реза, 45 кг/мм

6


Максимальная длина резки, мм

2500


Количество циклов реза в минуту

10 - 45


Рабочий ход заднего упора, мм

750


Угол резки, °

0,5 - 2,5


Глубина зева станины, мм

70


Мощность, кВт

7,5


Габаритные размеры, мм

3240 × 1770 × 1980


Вес, кг

4850


2.3.3 Описание формующей оснастки

Для изготовления какой-либо детали необходима оснастка, на которую будет происходить формовка.

Оснастка на деталь "Усилитель ТА.5256.014.101.111." изготовлена из алюминия, так как требуется большой тираж с хорошим качеством.

Изделия из АБС - пластика формуются в многогнездные формы, что позволяет производить несколько изделий за один цикл.

Основной особенностью оснастки для этого метода является наличие отверстий диаметром до 0,5 мм. Это необходимо для отвода воздуха при вакуумировании.

Охлаждение формы происходит за счёт подачи холодного воздуха центробежным вентилятором.

Извлечение отформованного листа проводится сжатым воздухом. Также для обеспечения лёгкого съёма изделий угол наклона боковых стенок составляет 1°.

На прижимной раме предусмотрены резьбовые отверстия под крепление разграничительных планок для продольного и поперечного уменьшения поля формования с шагом 50 мм. Ширина прижимной рамки 30 мм.

 

.4 Расчет энергозатрат


Производительность 300 т/год деталей.

Количество электроэнергии, потребляемое на проектируемом участке, приведено в табл. 15.

Таблица 15 Количество электроэнергии

Оборудование

Номинальная мощность, кВт

Количество единиц оборудования

Общая мощность, кВт

Тф, ч/год

Годовое расход электроэнергии, кВт · ч

Вакуум-формовочнуя машина модели "Универсал 4GW"

20

1

20

5443

108860

Гильотинные ножницы модели QC 11Y-6x2500

2,2

1

2,2

1814,3

3991,5

Дробилка модели XFS180

7,5

1

7,5

5443

40822,5

Итого





153674



Технико-экономические показатели участка приведены в табл. 15.

Таблица 15 Технико-экономические показатели участка


Статьи расхода

Расход



в год

в месяц

в сутки

в смену

в час







АБС-пластик

368043

30670,254

1022,3

340,78

42,8


Энергозатраты на технологические нужды:







Электроэнергия, кВт · ч

153674

12806,17

426,9

142,3

17,8


2.5 Штаты участка


Организация труда вакуум-формовщика зависит от количества вакуум- формовочных машин на рабочем месте, т.е. определяющим фактором при проектировании рабочего места вакуум-формовщика является норма обслуживания, которая выражается количеством вакуум-формовочных машин, обслуживаемых вакуум-формовщиком за 1 смену.

Принимаем норму обслуживания: 1 человек - на 1 вакуум-формовочную машина за 1 смену.

Численность основных и вспомогательных рабочих, а также руководящего состава приведены в табл. 16 - 18.

Таблица 16 Основные рабочие


Должность

Оборудование

Норма обслуживания

Кол-во смен

Численность






Сменная

Явочная

Списочная


Формовщик

1

1

3

1

3

5


Оператор резки

1

1

3

1

3

5


Зачищик

1

1

3

1

3

5


Оператор дробления

1

1

1

1

1

2


Контроллер-упаковщик

1

1

2

1

2

3


Транспортировщик

1

1

3

1

3

5



Таблица 17 Вспомогательные рабочие


Должность

Кол-во смен

Численность




Сменная

Явочная

Списочная


Наладчик

3

1

3

5


Слесарь-наладчик

3

1

3

5


Электрик

3

1

3

5


Кладовщик

1

1

3

5


Таблица 18 Руководящий состав


Должность

Кол-во смен

Численность




Сменная

Явочная

Списочная


Начальник цеха

1

1

1

1


Мастер смены

3

1

3

5




3. Экология


Практически все термопласты при вакуумном формовании нагреваются ниже температуры их термического разложения, и поэтому при правильном проведении технологического процесса выделение вредных веществ практически не наблюдается.

Тем не менее в производственных условиях должны быть приняты меры, исключающие возможность отравления продуктами термической деструкции термопластов. Для удаления из помещения летучих паров и пыли, образующейся при механической обработке готовых изделий, должны быть предусмотрены местные вентиляционные отсосы.

Промышленные выбросы в атмосферу обычно поступают принудительно вентиляционные каналы, поднимающиеся на высоту 50 - 100 метров и более. Этим достигается рассеивание газов и аэрозолей в относительно большом объеме воздуха. Участки и отделения в производстве изделий, где выделяется пыль, вредные газообразные вещества оснащаются местной вентиляцией и отсосами. В рабочих помещениях производств и переработки АБС запрещается применение открытого огня. При аварийных ситуациях в качестве индивидуальных средств защиты должны применятся противогазы марок "А" или "БКФ" по ГОСТ 12.4.121-83. Индивидуальные средства защиты для рабочих в нормальных условиях - халаты.

При комнатной температуре АБС не выделяет в окружающую среду токсичных веществ и не оказывает вредного воздействия на человека.

При нагревании АБС до 210-220 °С происходит выделение летучих продуктов термоокислительной деструкции с выделением в воздух паров стирола, нитрила акриловой кислоты, цианистого водорода и окиси углерода. Также могут выделяться пары альфа-метил стирола, толуола, бензола, этилбензола и т.д.

Стирол.

Токсическое действие. Оказывает наркотическое действие, вызывает раздражение слизистой оболочки глаз, носа, гортани. Нарушает функции центральной нервной системы и печени. Влияет на кроветворные органы.

Обладает мутагенным действием.

Предельно допустимая концентрация:

·        максимально-разовая 30 мг/м3;

·        среднесменная 10 мг/м3.

Класс опасности: 3.

Акрилонитрил.

Токсическое действие. Угнетает активность дыхательных ферментов. Поражает нервную систему. Хорошо всасывается через кожу.

Предельно допустимая концентрация: 0,5 мг/м3.

Класс опасности: 2.

Цианистый водород.

Общий характер действия на организм. Нарушает тканевое дыхание, поражает дыхательный и сосудисто-двигательный центры. Может вызывать сильное падение кровяного давления, паралич дыхания. Приводит к дегенеративным изменениям в центральной нервной системе.

Предельно допустимая концентрация: 0,3 мг/м3.

Класс опасности: 1.

Окись углерода.

Общий характер действия на организм. Угнетает дыхательные ферменты крови и тканей. Вызывает удушье. Поражает центральную и периферическую нервную систему.

Предельно допустимая концентрация: 20 мг/м3.

Класс опасности: 4.

Меры предупреждения. Необходим постоянный контроль за концентрацией СО в воздухе рабочих помещений или мест, где она может образоваться и выделяться. Использование автоматических приборов и сигнализационных устройств на случай опасности.

Альфа-метилстирол.

Общий характер действия. Оказывает наркотическое действие, вызывает раздражение слизистой оболочки глаз, носа, гортани.

Нарушает функции центральной нервной системы и печени. Влияет на кроветворные органы.

Обладает мутагенным действием.

Предельно допустимая концентрация: 5 мг/м3.

Класс опасности: 3.

Толуол

Общий характер действия. Оказывает наркотическое и раздражающее действие. Нарушает функции нервной системы. Влияет на кроветворные органы. Вызывает сухость, трещины кожи, дерматиты.

Предельно допустимая концентрация:

·        максимально-разовая 150 мг/м3.

Класс опасности: 3.

Бензол

Общий характер действия. Оказывает наркотическое действие, действует на центральную нервную систему. Вызывает повреждение кроветворных органов. Обладает раздражающим действием. Поражает печень.

Предельно допустимая концентрация:

·        максимально-разовая: 15 мг/м3;

·        среднесменная: 5 мг/м3.

Класс опасности: 2.

Этилбензол

Общий характер действия. Вызывает раздражение слизистых оболочек глаз и верхних дыхательных путей. Нарушает функции нервной системы и печени. Проникает через кожу.

Предельно допустимая концентрация: 50 мг/м3.

Класс опасности: 3.

Технологические отходы производства, которые возникают при переработке, продаются. Положительной стороной утилизации является то, что получается дополнительное количество полезных продуктов для различных отраслей народного хозяйства и не происходит повторного загрязнения окружающей среды. По этим причинам утилизация является не только экономически целесообразным, но и экологически предпочтительным решением проблемы использования пластмассовых отходов.

Строгое соблюдение всех технологических требований обеспечивает минимальное количество отходов, сохранность оборудования, качество выпускаемой продукции и безопасность работы.

Для предотвращения нарушения технологического режима применяются автоматические регуляторы температуры, давления газоанализаторов, которые фиксируют и регулируют предельно допустимые концентрации вредных веществ.

 


4. Техника безопасности


При производстве изделий из термопластов возможны поражения электрическим током, тепловые и химические ожоги, механические травмы. Вредность и пожароопасность производства определяются свойствами сырья.

Практически все термопласты при вакуумформовании нагреваются ниже температуры их термического разложения (деструкции), и поэтому при правильном ведении технологического процесса выделения вредных веществ практически не наблюдается. Тем не менее в производственных условиях должны быть приняты меры, исключающие возможность отравления продуктами термической деструкции термопластов. Для удаления из помещения летучих паров и пыли, образующейся при механической обработке готовых изделий, должны быть предусмотрены местные вентиляционные отсосы (у формовочных машин, ленточных, дисковых пил и шлифовальных станков). Все работы, связанные с появлением пыли и стружки, надо проводить в защитных очках.

Хранение листового материала в цеховом складе разрешается только в плотной упаковке завода-изготовителя в количестве суточного запаса. Клеи, растворители, электролиты (при зарядке аккумуляторов) разрешается хранить только в специальных бутылях- в вытяжных шкафах.

При работе на формовочном оборудовании серьезную опасность представляет поражение электрическим током. Максимальное применяемое напряжение достигает 380 В, сила тока 60 А. Поэтому для защиты от поражения током должно быть предусмотрено заземление и зануление перерабатывающего оборудования. Обслуживание всех установок с электропитанием проводится только при обеспечении обслуживающего персонала средствами индивидуальной защиты, а именно резиновыми перчатками и прорезиненной обувью, при наличии изоляции на рабочих инструментах.

Термические ожоги при работе в формовочном отделении возникают обычно при соприкосновении с горячим листом термопласта, нагревателем или металлическими деталями, находящимися непосредственно под нагревателем; химические ожоги - при зарядке аккумуляторов электролитом. Для обеспечения безопасности необходимо работать в спецодежде (в хлопчатобумажном халате или комбинезоне, теплоизолирующих и кислотостойких перчатках). Спецодежда должна быть исправной и чистой, полы халатов и обшлага рукавов наглухо застегнуты. Хранить личную одежду разрешается только в бытовом помещении участка.

Механические травмы можно получить при попадании руки в формовочную камеру машины в момент движения формующего инструмента или в устройство для зажима заготовки, при попадании в глаз стружки во время механической обработки изделия и при работе с неисправными подъемно-транспортными механизмами. Для обеспечения безопасности работ необходимо предусмотреть ограждения на вращающихся и перемещающихся частях машин, следить за исправностью блокировки съемных ограждений. Все дверцы в приборные отсеки, приводы должны быть закрыты. Любые ремонтные работы необходимо проводить только после полной остановки оборудования. Периодически необходимо проверять работу подъемно-транспортных устройств.

Уборку рабочего места следует проводить один раз в смену. Обтирочный материал должен находиться в специальном ящике. Не разрешается загромождать проходы и рабочие места.

К работе в формовочном отделении не могут быть допущены лица, не прошедшие инструктаж по технике безопасности при работе в цехе и на рабочем месте, а также лица, находящиеся в болезненном состоянии, в состоянии алкогольного или наркотического опьянения.

Запрещается: работать при отсутствии охлаждающей воды; устранять неполадки в механических и электрических частях; допускать к рабочему месту посторонних лиц; работать при плохо закрепленной форме; производить самостоятельно настройку технологического режима; работать при неисправной блокировке; работать на неисправном оборудовании и неисправным инструментом. Нельзя использовать инструменты и приспособления не по их прямому назначению.

В случае получения травмы рабочий немедленно сообщает об этом мастеру или начальнику смены. Место происшествия должно быть сохранено в неприкосновенности, а пострадавшему оказана помощь.

В помещении формовочного отделения должна поддерживаться температура воздуха 18-20 °С, влажность 70-80%. Норма освещенности в таких помещениях 100 лк.

В соответствии с противопожарными нормами большинство цехов с формовочным оборудованием относится к категории В. Пожарная связь должна осуществляться по телефону, а также световой и звуковой сигнализацией. Для тушения пожара используют воду или огнетушители ОП-5 и ОП-7, а для тушения электрооборудования - огнетушители ОУ-2, ОУ-5, кошмы и песок.

Для обеспечения пожарной безопасности запрещается: захламлять территорию цеха отходами, материалами, готовой продукцией; загромождать проходы и проезды; курить на территории цеха. Огневые работы должны проводиться только с разрешения главного инженера завода. О возникновении пожара рабочий обязан немедленно сообщить в пожарное отделение и принять меры по немедленному его устранению средствами индивидуального тушения.

5. Строительная часть


Владимирская область лежит в зоне умеренно континентального климата со средней температурой января -11 -12 °С, июля +17 +18,5 °С и с 480 - 580 мм осадков в год. Географически область расположена на Центрально европейской равнине части и принадлежит к центральному экономическому региону России.

Город Владимир - крупный железнодорожный узел, промышленный и культурный центр. Город занимает площадь 57,4 тыс м , население около 300 тыс. человек.

Владимирская область хорошо обеспечена железными дорогами, основной является Москва - Нижний Новгород, благодаря железной дороге Орехово-Зуево - Александров г. Владимир имеет прямую связь с СевероЗападными районами области. По южной окраине проходит железнодорожная магистраль Москва - Казань, а по северной Москва - Иваново.

Через г. Владимир и Владимирскую область проходит асфальтированное шоссе Москва - Нижний Новгород, а также много других шоссейных и автомобильных дорог. Владимирская область граничит на севере с Ярославской и Ивановской, на востоке с Нижегородской, на юге с Рязанской, на западе с Московской областями.

Исходя из выше перечисленного г. Владимир и Владимирская область находится в выгодной экономической зоне. Поэтому строительство цеха вблизи основного шоссе Москва - Нижний Новгород даст возможность удобного подъезда, ввозу и вывозу сырья и готовой продукции [10].

Участок цеха располагается в городе Владимире на территории ООО "Автопластик", группа компаний Техноарт. В непосредственной близости от участка цеха располагаются все необходимые вспомогательные и аварийные службы, заводские склады горюче смазочных материалов, сырья и продукции. К территории подведена железная и автомобильная дорога, имеется разгрузочная база.

Требования к производственным помещениям:

Категории, классы помещений, степень огнестойкости, группы производственных процессов по участкам и отделениям должны быть приняты в соответствии с технологическим процессом на основании СниП II- М.2-72, СниП II-92-76, ПУЭ.

На основании классификации основных помещений производств по переработке пластмасс методом литья под давлением, после определения численности работающих проектируются, исходя из групп вредностей производственных процессов, бытовые помещения.

Требования к применению средств защиты работающих.

При составлении карты научной организации труда в обязательном порядке дается краткая медико-санитарная характеристика условий труда. Кроме того, при организации рабочего места учитываются все требования эргономики и создаются все условия для максимальной механизации и автоматизации.

Так как в производствах по переработке пластмасс в изделия неизбежен контакт обслуживающего персонала с выделяющимися вредными веществами (в связи с конструктивными особенностями оборудования и проведением процессов при температурах, близких к температуре разложения полимеров), работникам отрасли устанавливаются дополнительные льготы (дополнительный отпуск, сокращенный рабочий день, спецпитание и т. п.).

Особое значение при проектировании защиты работающие приобретает борьба с шумом. Уровень производственного шума на всех участках не должен превышать допустимых величин (ГОСТ 12.1003.76). Уровни шума на рабочих местах должны определяться расчетом по СниП 11-12-77 "Защита от шума"; допустимым считается уровень звукового давления 86 дб при частоте 250 Гц.

Для уменьшения затрат на охрану окружающей среды необходимо в технологической части проекта предусматривать максимально-возможную утилизацию твердых отходов полимерного сырья с переработкой его в изделия неответственного назначения: половую плитку, ирригационные трубы, каналы связи и т.д.

Участок по изготовлению изделий из АБС методом вакуумного формования имеет площадь 453 м2, по степени пожаро-взрывоопасности относится к категории В.

Строительными параметрами здания являются ширина пролёта 18 м, длина здания 25 м, шаг колонны 6 м, высота этажа 6 м, высота здания 8 м. Здание состоит из основного помещения, где осуществляется технологический процесс и подсобных помещений.

Здание имеет сборный железобетонный фундамент стаканного типа. В стаканы фундамента устанавливают колонны, на бетонные фундаментные приливные столбики устанавливают балки и образуют поверхность, на которую укладывают гидроизоляцию стен наружных ограждений. Зазоры между торцами балок заполняют бетоном.

Для оборудования жёсткого каркаса здания используются колонны прямоугольного сечения. Колонны имеют высоту 6 м и сечение 0,5 х 0,5 м2. В качестве основных строительных конструкций применяются железобетонные фермы пролётом 18 м. На строительные конструкции уложены плиты покрытия размером 3×6×0,3м. На плиты покрытия настилают выравнивающий слой, укладывают утеплитель слоем 200 мм [21], делают цементную стяжку толщиной 25 мм, на неё накладывают гидроизоляционный ковёр.

Основание под пол уплотняют с добавкой щебня, пропитанного битумом, затем укладывают стяжку из цементно-песчаного раствора, а затем мозаичный пол.

Стены выполняют из кирпича. Окна выполняют в виде отдельных проёмов (оконные переплёты из дерева) с отдельными открывающимися створками. Низ оконного пролёта - на отметке 1,5 м, высота остекления составляет 4,5 м для промышленного помещения.

На участке выделены в отдельные помещения: зал вакуумного формования, склад сырья, склад готовой продукции, кладовая, отдел технического контроля и упаковки, приточная вентиляционная камера, вытяжная вентиляционная камера, слесарная, комната мастера, склад оснастки, отдел дробления, электрощитовая, компрессорная, отдел механической обработки.

Технологическое оборудование размещено участке в соответствии с требованиями противопожарной безопасности и охраны труда.

Предусмотрены проходы и проезды, что обеспечивает удобство при обслуживании оборудования. Для установки основного оборудования предусмотрена подвесная балка.

 



Заключение


В дипломном проекте спроектирован участок по изготовлению деталей из АБС-пластика производительностью 300 т/год. В технологической части проекта выбрана номенклатура деталей, обоснован выбранный метод переработки полимера.

Приведена характеристика сырья и готовой продукции, описание технологической схемы производства, виды брака и способы его устранения. Расчетная часть содержит материальный баланс производства, расчет и выбор вспомогательного и основного оборудования, описание формующей оснастки, расчет энергозатрат.

 



Список литературы


1.   Бортников В.Г. Производство изделий из пластических масс: Учебное пособие для вузов в трёх томах. Том 2. Технология переработки пластических масс. Казань: Изд. "Дом печати". -2012. - 399 с.

2.      Энциклопедия полимеров. Ред. коллегия: В. А. Кабанов и др. Т2 - М., "Советская энциклопедия", 2004.

.        Производство изделий из полимерных материалов: Учеб. пособие/В. К. Крыжановский, М. Л. Кербер, А. Д. Паниматченко. - СПб.: Профессия, 2007. -464 с.

.        Завгородний В. К., Калинчев Э. Л., Махаринский Е.Г. Оборудование предприятий по переработке пластмасс. - Л.: Химия, 2012. - 464

.        Переработка пластмасс. Шварц. О., Эбелинг Ф.В., Фурт Б.; под общ. ред. А.Д. Паниматченко. - СПб.: Профессия, 2008. - 320 с.

.        Гуль В. Е., Акутин М.С. Основы переработки пластмасс.- - М.; Химия, 1985.-400 с.

.        К. А. Салазкин, М.А. Шерышев. Машины для формования изделий из листовых термопластов. М., "Машиностроение", 2007.

.        Шерышев М.А., Пылаев Б.А. Пневмо- и вакуумформование. Л., "Химия", 2010.