1 Расчёт суточного объёма переработки каждого рода груза на ТСК
Суточный объём переработки каждого рода груза в тоннах определяется по формуле:

где
– средняя статическая нагрузка на вагон
для каждого груза, т/ваг;
–
суточный вагонопоток (по прибытии, по
отправлению), ваг.
Тарно-штучные грузы:


Мелкие отправки:



Контейнеры:


Навалочные грузы крытого хранения:


Навалочные грузы открытого хранения:


2 Выбор средств механизации для каждого груза
Для переработки ТШГ принимается электропогрузчик Е20 с вилочным захватом грузоподъёмностью 2 т.
Для переработки МО принимается электропогрузчик Е20 с вилочным захватом грузоподъёмностью 2 т.
Для переработки крупнотоннажных
контейнеров на открытых площадках
принимается двухбалочный контейнерный
мостовой кран с спредером с жесткой
рамой грузоподъёмностью 20 т и
Для переработки навалочных грузов
открытого хранения принимается
двухбалочный грейферный мостовой кран
с грузоподъёмностью 5 т и

Для переработки навалочных грузов
крытого хранения, перевозимых насыпью,
принимается одноковшовый фронтальный
пневмоколесный погрузчик с вертикальной
подъёмной рамой с грузоподъёмностью
750 кг, вместимостью ковша 0,3
и нейтрализацией выхлопных газов.
3 Выбор типа склада для каждого груза
Для ТШГ принимается крытый склад с внешним расположением одного железнодорожного пути и автопроезда, ширина склада 12 м.
Для МО принимается крытый склад с внешним расположением одного железнодорожного пути и автопроезда, ширина склада 12 м.
Для крупнотоннажных контейнеров принимается контейнерная площадка.
Для навалочных грузов открытого хранения принимается открытая площадка.
Для навалочных грузов крытого хранения, перевозимых насыпью, принимается крытый склад с внутренним расположением одного железнодорожного пути и внешним автопроездом, ширина склада 19 м.
4 Расчет площади склада для каждого груза
Потребная площадь склада для всех грузов, кроме контейнеров, рассчитывается в зависимости от их объёма:

где
– нормативный срок хранения груза на
складе соответственно по прибытии, по
отправлении, под сортировкой, сут; Kдоп
– коэффициент, учитывающий дополнительную
площадь для проходов и проездов;
– коэффициент, учитывающий переработку
по прямому варианту; q
– допустимое удельное давление на
основание склада; g –
ускорение свободного падения.
Тарно-штучные грузы:



Мелкие отправки:




Навалочные грузы крытого хранения:



Навалочные грузы открытого хранения:



Вместимость контейнерной площадки определяется по формуле:

где
– суточный контейнеропоток, зависящий
от суточного грузопотока и типа
контейнеров, физ.конт./сут;
– коэффициент, учитывающий сгущение
подач вагонов с учетом неравномерности
работы, принимаемый равным 1,5;
=
,
если
или
=
,
если
;
0,03 – доля неисправных контейнеров;
- время хранения несправных контейнеров
до отправления их в ремонт, равное 2 сут.
Суточный контейнеропоток определяется по формуле:

где
– средняя статическая нагрузка одного
контейнера, принимаемая для крупнотоннажных
контейнеров равной 12 т.




Площадь контейнерной площадки определяется по формуле:

где
– площадь одного контейнеро-места
равная 14,77

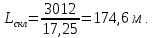
5 Расчет линейных размеров склада
Полезная длина склада рассчитывается по формуле:

Тарно-штучные грузы:

Мелкие отправки:

Навалочные грузы крытого хранения:

Полезная ширина склада открытого хранения грузов для выполнения погрузочно-выгрузочных операций, оснащенного мостовым краном, определяется по формуле:

где Г – габариты четырехосного полувагона, равные 2,850 м; x – габарит для обеспечения безопасной работы, равный 0,8 м.
Навалочные грузы открытого хранения


Крупнотоннажные контейнеры:


6 Проверка условия Lскл ≥ Lмпв
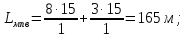
Длина места погрузки-выгрузки определяется по формуле:

где
–
длина вагона, м;
– число подач, равное 1,2,3.
Тарно-штучные грузы:

(Условие выполняется)
Навалочные грузы крытого хранения:

(Условие не выполняется)

(Условие выполняется)
Навалочные грузы открытого хранения:

(Условие не выполняется)

(Условие выполняется)
Крупнотоннажные контейнеры:

(Условие не выполняется)

(Условие не выполняется)

(Условие выполняется)
Мелкие отправки (с учетом сортировки):

(Условие не выполняется)

(Условие не выполняется)

(Условие не выполняется)
Так как не произошло выполнение условия,
для мелких отправок принимается равной
55 м.