Материал: Трудовой потенциал предприятия

Внимание! Если размещение файла нарушает Ваши авторские права, то обязательно сообщите нам

Трудовой потенциал предприятия

Содержание

Введение

Глава 1. Трудовой потенциал предприятия

1.1    Понятие «Трудовой потенциал»

1.2    Управление кадрами организации

1.3    Повышение эффективности предприятия за счет мотивации трудовой деятельности

Глава 2. Практическая часть

2.1 Производственная программа предприятия

2.2 Планирование затрат на производство и реализацию продукции

2.3 Планирование внереализационных расходов

2.4 Порядок формирования и распределения прибыли

2.5 Расчет точки безубыточности

2.6 Плановые годовые технико-экономические показатели предприятия

Список литературы

Введение

трудовой потенциал затрата прибыль

Трудовые ресурсы играют очень важную роль в работе предприятия. Большая часть производственных процессов, независимо от деятельности предприятия, требует непосредственного участия людей. Успех предприятия во многом зависит от профессиональной подготовки кадров и стимулирования труда.

Научно-технический прогресс в последние десятилетия породил крупные изменения в характере трудовой деятельности. Традиционные технологии уступают место гибким, наукоемким производствам, вследствие чего повышается удельный вес специалистов, руководителей, рабочих высшей квалификации. Сегодня необходимы высшее профессиональное мастерство, способность принимать самостоятельные решения, навыки коллективного взаимодействия, знание техники и организации производства, творческий подход к делу.

Современная организация - это открытая система максимально взаимодействующая с окружающей бизнес-средой. В зависимости от того как быстро она будет реагировать на вызовы этой среды будет определятся её конкурентоспособность. Быстрота реакции зависит в первую очередь от компетентности персонала, его способности и желания принимать управленческие решения, т.е. от трудового потенциала персонала предприятия.

Трудовой потенциал - это совокупность физических и духовных качеств человека, определяющих возможность и границы его участия в трудовой деятельности, способность достигать заданных результатов, а также совершенствоваться в процессе труда. Поэтому основной задачей менеджмента является оценка сложившегося уровня трудового потенциала и создание условий, позволяющих каждому работающему полностью раскрыть свои возможности. Для этого необходимо оценить трудовой потенциал каждого работника и персонала в целом, создать систему, мотивирующую его повышение.

Цель данной работы:

- Изучение понятия «трудового потенциала» предприятия, а так же вопросов его формирования и развития в зависимости от непрерывно меняющихся экономических условий на рынке.

Осуществление экономических расчетов.

Данная работа является актуальной на сегодняшний день, поскольку в ней рассмотрено влияние трудового потенциала на эффективность работы предприятия.

Глава 1. Трудовой потенциал предприятия

.1 Понятие «Трудовой потенциал»

В настоящее время нет четкого определения понятия «трудового потенциала», однако все ученые сходятся в одном: «трудовой потенциал» - это результативность отдачи труда, которая, должна меняться в ходе деятельности предприятия в зависимости от стадии его развития и окружающей бизнес-среды.[14.2].

Рассмотрим несколько определений трудового потенциала предприятия:

Трудовой потенциал - это совокупность необходимых для функционирования или развития системы различных ресурсов, главным образом экономических, непосредственно связанных с функционированием производства и ускорением научно - технического прогресса.

Трудовой потенциал - это система материальных и трудовых факторов (условий, составляющих),обеспечивающих достижение целей производства.

Трудовой потенциал - это способность комплекса ресурсов решать поставленные перед ним задачи, т.е. потенциал - это целостное выражение совокупной возможности коллектива для выполнения каких- либо задач.

Трудовой потенциал - это совокупность физических и духовных качеств человека, определяющих возможность и границы его участия в трудовой деятельности, способность достигать в заданных условиях определенных результатов, а также совершенствоваться в процессе труда.

Трудовой потенциал предприятия формируется на основе опыта, знаний, навыков, творческих способностей каждого работника, т.е. комплекса его психофизиологического, квалификационного, творческого и личностного потенциалов.

Поэтому одной из важнейших задач менеджмента является оценка имеющегося уровня трудового потенциала и создание условий в процессе деятельности предприятия, позволяющих каждому работнику полностью раскрыть свой трудовой потенциал, а для этого, в первую очередь, необходимо оценить уже имеющийся уровень потенциала и создать систему, мотивирующую его повышение.

Если рассматривать управление человеческими (трудовыми) ресурсами на микроуровне (организации) то, собственно трудовые ресурсы - это достояние производственной организации, как ресурс, который (как и другие ресурсы) надо эффективно использовать для достижения целей. При таком подходе работники рассматриваются как источник неиспользованных резервов. Наиболее часто управление человеческими ресурсами трактуется как мобилизация сотрудников посредством активной работы менеджеров. Для этого применяются следующие подходы:

отношение к труду как источнику доходов организации;

создание для каждого сотрудника простора для деятельности, чтобы он мог внести свой личный вклад в общее дело;

активная социальная политика.

В основу практической политики многих предприятий в области трудовых ресурсов положена теория человеческого капитала, т.е. человек рассматривается в качестве важнейшего вида капитала фирмы, а затраты на оплату труда, создание благоприятных условий деятельности, подготовку и переподготовку, повышение квалификации - как особый вид инвестиций.[11,16].Согласно данной теории, различия в заработной плате определяются неодинаковыми инвестициями в человеческий капитал по категориям работников. В результате увеличения таких инвестиций доходы работников возрастают, улучшаются и показатели экономической деятельности фирмы.

В настоящее время возобладала точка зрения, что затраты на образование, подготовку и переподготовку рабочей силы - это не издержки производства, которые необходимо минимизировать, а производственные инвестиции. Поэтому практика выработала ряд взаимосвязанных ключевых элементов, которые вместе образуют замкнутый цикл управления рабочей силой:

анализ рынка труда и модернизация рабочих мест;

обеспечение взаимодействия с государственными и негосударственными структурами занятости;

обеспечение технологических решений по оснащению системы рабочих мест;

совершенствование механизма взаимодействия между объединениями организаций и частных лиц, социального партнерства в сфере использования трудовых ресурсов;

отбор, прием и адаптация работника;

мероприятия по защите высвобождаемых работников;

взаимодействие с государственной службой занятости населения;

планирование карьеры кадров организации, их профессионального и административного роста;

анализ затрат и результатов труда;

обеспечение рациональных условий труда, создание социально-психологического климата;

разработка системы мотивации работника;

участие в переговорах с профсоюзами;

разработка социальной политики организации, пенсионная политика;

разрешение конфликтов.

Трудовой потенциал, т.е. то, что непосредственно связано с качеством выполнения трудовых функций и эффективностью труда, формируется на основе специализированных инвестиций в человеческий капитал, как со стороны организации, так и самого работника. Осознание необходимой потребности в высококвалифицированных специалистах предполагает, что инвестиционный характер, направленный на совершенствование трудового потенциала организации, обусловлен, прежде всего, реализацией стратегических целей и задач. Следовательно, такие трудовые отношения носят комплементарный характер, отражающий взаимообусловленность доходов и убытков.

Трудовые ресурсы организаций - это объект постоянного внимания со стороны руководства. Роль трудовых ресурсов существенно возрастает в условиях рыночных отношений. Инвестиционный характер производства, его высокая наукоемкость, приоритетность вопросов качества продукции изменили требования к работнику, повысили значимость творческого отношения к труду и высокого профессионализма. Это привело к существенным изменениям в принципах, методах и социально-психологических вопросах управления персоналом на предприятии.

Трудовые ресурсы предприятий как по своей численности, структуре, так и профессионально-квалификационному составу складываются под влиянием технических, технологических, организационно-хозяйственных, и социальных факторов. Качественный состав трудовых ресурсов определяется общеобразовательной, специальной и научной подготовкой, квалификацией работников, их возрастным составом, опытом работы творческим отношением к труду и т.д. Учет влияния каждой группы факторов на формирование численности и состава трудовых ресурсов предприятий представляется весьма важным для совершенствования механизма формирования этих ресурсов.

Таким образом, мы понимаем, что при всей важности экономических ресурсов решающую роль в обеспечении эффективности работы и устойчивости предприятия на рынке играют трудовые ресурсы предприятия.

.2 Управление кадрами организации

Для осуществления производственного процесса необходимы работники определенных профессий с определенным уровнем квалификации. В конечном итоге от конкретных людей, их знаний, квалификации, компетентности, дисциплины, мотивации, способности решать проблемы, восприимчивости к обучению зависят результаты работы организации.[12.178]

Персонал предприятия (кадры) - состав наемных работников, занятых в производстве продукции (выполнении работ или оказании услуг) и его обслуживании. Трудовые отношения между предприятием (юридическое лицо) и работником (физическое лицо) регулируется договором найма, положения которого должны базироваться на Трудовом кодексе РФ.

Персонал предприятия можно классифицировать по следующим признакам.

По степени участия в производственной деятельности все работники распределяются на две группы:

промышленно-производственный персонал (ППП) - работники производственной структуры предприятия, связанные прямо или косвенно с процессом производства продукции (работ, услуг).

К ним относят работников основных, вспомогательных, обслуживающих, побочных цехов, а также работников администрации предприятия со всеми функциональными отделами и службами: технологическими, экономическими, коммерческими и др.;

непромышленный персонал - работники, обслуживающие объекты социально- культурного, бытового назначения, находящиеся на балансе предприятия.

Например, работники, обслуживающие общежития, детские сады, профилактории. базы отдыха и пр.

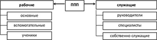
По характеру выполняемых функций. Работники ППП независимо от сферы приложения труда подразделяются на две основные группы: рабочие и служащие. из которых выделяются следующие категории (рисунок 1).

Рабочие лица, непосредственно занятые в процессе создания материальных ценностей и работами по оказанию материальных услуг, ремонтом, перемещением грузов и др.

Рисунок 1. Состав промышленно-производственного персонала

Рабочие подразделяются на основных, вспомогательных и учеников.[12.179]

Основные (производственные) рабочие - работники, непосредственно участвующие в изготовлении продукции, выполнении работ или оказании услуг. Например, на машиностроительном заводе к ним относят станочников (токарей, фрезеровщиков. сверловщиков, операторов станков с ЧПУ). слесарей-сборщиков и др.

Вспомогательные рабочие - работники, обслуживающие производственные процессы и создающие условия для бесперебойной работы основных рабочих. Например, к ним относят наладчиков оборудования, слесарей-ремонтников; транспортных, погрузочно-разгрузочных и складских рабочих; контролеров, уборщиков бытовых и производственных помещений.

Ученики осваивают и готовятся к выполнению рабочих профессий (ученик токаря).

К группе служащих относят работников, связанных с управлением и обслуживанием процесса производства.

Руководители (административно-управленческий персонал) - работники, выполняющие функции управления и занимающие управленческие должности на предприятии и в его структурных подразделениях, а также главные специалисты и их заместители. Выделяют руководителей:

высшего уровня - генеральный директор и главные специалисты предприятия (гл. инженер, гл. бухгалтер и др.) и их заместители;

среднего - начальник цеха, участка, отдела; низового - мастера. Специалисты (инженерно-технические работники) - работники, выполняющие инженерно-технические, экономические, бухгалтерские, финансовые, юридические и другие аналогичные функции. Как правило, имеют высшее или среднее специальное образование. Например, агрономы, инспекторы, инженеры, бухгалтеры, экономисты, финансисты, нормировщики, юристы, маркетологи, логисты, психологи. техники, товароведы и др.

Собственно служащие - работники, осуществляющие подготовку и оформление документации, учет, контроль, делопроизводство и хозяйственное обслуживание. Например, агенты, архивариусы, делопроизводители, секретари, табельщики. кассиры, коменданты, учетчики и др.

В зависимости от характера трудовой деятельности. Кадры подразделяются по профессиям, специальностям и уровням квалификации.

Профессия -вид (род) трудовой деятельности, требующий для ее выполнения специальных знаний и практических навыков.

Специальность определяется дальнейшим разделением труда в пределах профессии. Дифференциация в специальностях по одной и той же. например, рабочей профессии чаще всего связана со спецификой применяемого оборудования. Например, профессия - токарь, а специальности - токарь-расточник, токарь - карусельщик. Для специалистов требуются дополнительные специальные знания и умения, например, профессия инженер, а специальность инженер - конструктор, инженер-технолог, инженер-испытатель и пр.

Уровень квалификации характеризуют степень и уровень подготовки работника для конкретного вида работы, он отражается в тарифных разрядах или категориях.

Для рабочих ,уровнем квалификации служит тарифный разряд (от 1-го до 6-го, в некоторых отраслях до 8-го), присваиваемый по итогам проводимых испытаний. Уровень квалификации специалистов определяется, как правило, на основе специального образования и по итогам проводимых аттестаций, где присваиваются соответствующие категории(III,II. I, высшая). Различают следующие уровни квалификации работников:

высококвалифицированные (токарь 6-го разряда, инженер высшей категории);

квалифицированные (токарь 3-го разряда, инженер III категории);

малоквалифицированные (требуют уровня подготовки краткосрочных курсов);

неквалифицированные (грузчики, уборщики производственных и бытовых помещений, гардеробщики и др.).

По структуре кадров. Структура определяется по таким признакам, как возраст, пол, уровень образования, стаж работы, профессии и специальности, квалификация, степень выполнения норм и т. п. Структуру кадров можно рассматривать как по предприятию в целом, так и по отдельным его подразделениям.