


Коэффициент,
учитывающий влияние пластических
деформаций материала бака
:
.
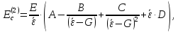
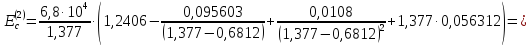
Критическое напряжение во втором приближении:

Вычисления
проводятся далее до тех пор, пока
в двух соседних приближения не будут
отличаться менее чем на два процента.
В результате вычислений с помощью
программы SIGMAcr.exe
получаем
.

Результат работы программы приведен на странице 11.
Критическое касательное напряжения:
,
где

где
– расстояние между шпангоутами
,
где
- критическое внешнее избыточное
давление.
.
.

В
первом приближении
.
Тогда критическое напряжение в первом напряжении будет равно:

Интенсивность напряжений в первом приближении:
,
,
где


Тогда интенсивность напряжений в первом приближении будет равна:

Найдем
значение деформации
:

В первом приближении секущий и касательный модули диаграммы растяжения материала бака равны модулю упругости материала. Предполагается, что бак работает в упругой области:

Найдем секущий и касательный модули диаграммы растяжения материала бака во втором приближении по формулам:


Здесь
А,
В, D, G параметры
аппроксимации диаграммы растяжения
материала
:





.
Секущий и касательный модули диаграммы растяжения материала бака материала будет равен:



Коэффициент,
учитывающий влияние пластических
деформаций материала бака
:
.
Критическое напряжение во втором приближении:

Таким
образом проводятся вычисления далее
до тех пор, пока
в двух соседних приближения не будут
отличаться менее чем на два процента.
В результате вычислений с помощью
программы TAUcr.DAT получаем
.

Результат работы программы приведен на странице .
РЕЗУЛЬТАЕЫ ВЫЧИСЛЕНИЙ
Критическое напряжение SIGMAcr (в МПа)
2.1224D+01
Ko,Kp,Km
1.5079D-01 3.1688D+00 1.2500D+00
Ki(I),I-номер приближения
1.0000D+00 3.9716D-01 3.9239D-01 3.8928D-01 3.8723D-01
3.8588D-01 3.8497D-01 3.8437D-01 3.8397D-01 3.8370D-01
3.8351D-01 3.8339D-01 3.8331D-01 3.8326D-01 3.8322D-01
SIGMAcr(I) (в МПа),I-номер приближения
5.5383D+01 2.1996D+01 2.1732D+01 2.1559D+01 2.1446D+01
2.1371D+01 2.1321D+01 2.1288D+01 2.1265D+01 2.1250D+01
2.1240D+01 2.1234D+01 2.1229D+01 2.1226D+01 2.1224D+01
ИСХОДНЫЕ ДАННЫЕ
R,DELTA (в мм)
2.2000D+03 3.0000D+00
E,SIGMAp(в МПа)
6.8000D+04 1.2000D+02
A,B,C,D,G
1.2406D+00 9.5603D-02 1.0800D-02 5.9312D-02 6.8120D-01
Nэ(в кН),Mэ(в кН*м),Pэ(в МПа)
0.0000D-00 5.4000D+02 1.8360D-01
SIGMAcr2
2.1994D+01
РЕЗУЛЬТАТЫ ВЫЧИСЛЕНИЙ
Критическое касательное напряжение TAUcr (в МПа)
2.5887D+01
TAUcr0(в МПа)
1.7423D+01
Kp
3.1727D+00
Ki(I),I-номер приближения
1.0000D+00 4.1114D-01 4.3087D-01 4.4451D-01 4.5350D-01
4.5922D-01 4.6280D-01 4.6500D-01 4.6634D-01 4.6716D-01
4.6766D-01 4.6795D-01 4.6814D-01 4.6825D-01 4.6831D-01
TAUcr(I) (в МПа),I-номер приближения
5.5278D+01 2.2727D+01 2.3817D+01 2.4572D+01 2.5068D+01
2.5385D+01 2.5582D+01 2.5704D+01 2.5778D+01 2.5824D+01
2.5851D+01 2.5868D+01 2.5878D+01 2.5884D+01 2.5887D+01
ИСХОДНЫЕ ДАННЫЕ
R,DELTA,L(в мм)
2.2000D+03 3.0000D+00 1.4000D+03
E,SIGMAp(в МПа)
6.8000D+04 1.2000D+02
A,B,C,D,G
1.2410D+00 9.5600D-02 1.0800D-02 5.9310D-02 6.8120D-01
Nэ(в кН),Pэ(в МПа),Pcr(в МПа)
0.0000D+00 1.8360D-01 2.0252D-02
TAUcr2
2.2741D+01