3. Расчет бака
3.1 Расчётная схема
Рассмотрим цилиндрический бак. Выполним подбор основных геометрический характеристик и проведём расчёт напряжений в обечайке. Выполним расчёт этого бака на устойчивость под действием нормальных и касательных сил. Расчетная схема бака приведена на рисунке 1. Данные для расчета заключены в таблице 1.

Рисунок 1 — Расчетная схема бака
Таблица 1 — Данные для расчета
|
R, см |
R0, см |
L, м |
H, м |
nx, |
ρ, кг/м3 |
Poэ, МПа |
Mэ, кНм |
Nэ, кН |
Qэ, кН |
f |
|
220 |
300 |
1,4 |
1,3 |
3,0 |
1140 |
0,14 |
540 |
0 |
150 |
1,2 |
Бак выполнен из материала АМГ- 6, имеющего следующие характеристики:
Модуль
упругости
МПа;
Предел
прочности
МПа;
Предел
пропорциональности
МПа;
Условный
предел текучести
МПа.
3.2 Подбор толщин верхнего и нижнего днища
Для подбора толщины верхнего днища запишем выражение для определения расчётных напряжений в сферическом днище
,
где:
– коэффициент
безопасности,
–
значение
максимального эксплуатационного
давления,
– радиус
сферического днища,
–
толщина
сферического днища,
– коэффициент,
учитывающий ослабление материала
сварным швом.
Толщина верхнего днища находится по формуле:

Округлим
значение до стандартного:

На нижнее днище кроме давления наддува действует ещё и гидростатическое давление, поэтому эксплуатационное давление в этом днище подсчитывается по формуле:

где
– плотность топлива;
– ускорение
силы тяжести;
– осевая
перегрузка;
–
высота
столба топлива.
Высоту
найдем по формуле:

Получим:

Толщина нижнего днища находится по формуле:

Округлим
значение до стандартного:

3.3 Подбор толщины обечайки
Окружное усилие в цилиндрической обечайке определяется по формуле:

где максимальное эксплуатационное значение внутреннего давления определяется:

Здесь
- эксплуатационное значение давления
наддува бака;
-
плотность жидкости в баке;
-
высота столба жидкости;
-
эксплуатационное значение осевой
продольной перегрузки.

Тогда толщина обечайки будет находится из условия:

Округлим
значение до стандартного:

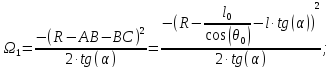
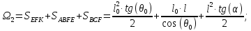
3.4 Подбор сечения стыкового шпангоута
Выберем шпангоут с формой сечения, представленной на рисунке 2.

Рисунок 2 — Сечение стыкового шпангоута
Угол
найдем из условия
.
Тогда

Потребное значение площади шпангоута:
,
где
– расчётное осевое усилие в стыковом
шпангоуте;
– предел
прочности материала;
– эффективные
части обечайки и днища соответственно,
которые работают совместно со шпангоутом;
– толщины
обечайки и днища.
Эти величины изображены на рисунке 3:

Рисунок 3 — Геометрия поперечного сечения
Значения эффективных частей обечайки и днища, работающих совместно со шпангоутом:


Угол α:

Вычислим площадь давления по формуле:
.
Вычислим
:

;

Вычислим
:


Получим:

Осевое усилие получим по формуле:

Площадь шпангоута определим по формуле:


3.5 Оценка напряженного состояния бака
Рассмотрим напряженное состояние бака. Схема нагружения приведена на рисунке 4.

Рисунок 4 – Схема нагружения бака
Меридиональные расчётные напряжения определяются по формуле:
,
где
– расчетное значение осевой силы;
– расчетное
значение изгибающего момента;
-
площадь сечения бака;
-
момент инерции сечения относительно
оси х;
-
расстояние до расчетного сечения.
Площадь сечения бака равна:

Момент инерции относительно оси х равен:

Расчетная осевая сила и изгибающий момент будут равны:


.
Расчетные меридиональные напряжения получаем по нижеследующей формуле:


Максимальное расчётное касательное напряжение:

3.6 Расчет бака на устойчивость под действием нормальных и касательных напряжений
Критическое напряжение, соответствующее потере устойчивости бака:
;
Здесь
общий коэффициент
определяется как:
.
Коэффициент устойчивости, получаемый в предположении о равномерности сжатия бака по сечению и отсутствия внутреннего давления, подсчитывается по формуле:


Коэффициент, учитывающий влияние внутреннего давления в баке, определяется по формуле:
где

Тогда

Коэффициент, учитывающий неравномерность распределения сжимающих напряжений по сечению бака, обусловленную действием изгибающего момента:
.
Эту формулу так же можно записать в другом виде:

Тогда получаем:

Коэффициент,
учитывающий влияние пластических
деформаций материала бака принимаем
для первого приближения, т.е. считаем,
что оболочка работает в упругой области.
Общий коэффициент устойчивости в первом приближении:
.
Критическое напряжение, соответствующее потери устойчивости бака:
;
Для первого приближения имеем:

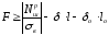
Интенсивность напряжений определяется по формуле:
,
где

Тогда интенсивность напряжений будет равна:

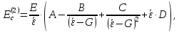
В первом приближении секущий и касательный модули диаграммы растяжения материала бака равны модулю упругости материала. Предполагается, что бак работает в упругой области:

Найдем секущий и касательный модули диаграммы растяжения материала бака во втором приближении по формулам:


Здесь
А,
В, D, G параметры
аппроксимации диаграммы растяжения
материала
:





Найдем
значение деформации
:

.
Секущий и касательный модули диаграммы растяжения материала бака материала будет равен: