
Коэффициент,
учитывающий влияние пластических
деформаций материала бака
:
.
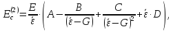
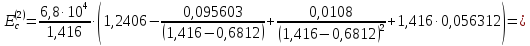
Критическое напряжение во втором приближении:

Вычисления
проводятся далее до тех пор, пока
в двух соседних приближения не будут
отличаться менее чем на два процента.
В результате вычислений с помощью
программы SIGMAcr.exe
получаем
.

Результат работы программы приведен на странице 11.
Критическое касательное напряжения:
,
где

где
– расстояние между шпангоутами
,
где
- критическое внешнее избыточное
давление.
.
.

В
первом приближении
.
Тогда критическое напряжение в первом напряжении будет равно:

Интенсивность напряжений в первом приближении:
,
,
где


Тогда интенсивность напряжений в первом приближении будет равна:

Найдем
значение деформации
:

В первом приближении секущий и касательный модули диаграммы растяжения материала бака равны модулю упругости материала. Предполагается, что бак работает в упругой области:

Найдем секущий и касательный модули диаграммы растяжения материала бака во втором приближении по формулам:


Здесь
А,
В, D, G параметры
аппроксимации диаграммы растяжения
материала
:





.
Секущий и касательный модули диаграммы растяжения материала бака будет равен:



Коэффициент,
учитывающий влияние пластических
деформаций материала бака
:
.
Критическое напряжение во втором приближении:

Таким
образом проводятся вычисления далее
до тех пор, пока
в двух соседних приближения не будут
отличаться менее чем на два процента.
В результате вычислений с помощью
программы TAUcr.DAT получаем
.

Результат работы программы приведен на странице 11 .
РЕЗУЛЬТАЕЫ ВЫЧИСЛЕНИЙ
Критическое напряжение SIGMAcr (в МПа)
2.1271D+01
Ko,Kp,Km
1.6860D-01 2.5882D+00 1.1956D+00
Ki(I),I-номер приближения
1.0000D+00 3.6537D-01 3.5246D-01 3.4412D-01 3.3857D-01
3.3480D-01 3.3219D-01 3.3038D-01 3.2911D-01 3.2821D-01
3.2758D-01 3.2713D-01 3.2682D-01 3.2659D-01 3.2643D-01
SIGMAcr(I) (в МПа),I-номер приближения
6.5161D+01 2.3808D+01 2.2967D+01 2.2424D+01 2.2062D+01
2.1816D+01 2.1646D+01 2.1528D+01 2.1445D+01 2.1387D+01
2.1345D+01 2.1316D+01 2.1296D+01 2.1281D+01 2.1271D+01
ИСХОДНЫЕ ДАННЫЕ
R,DELTA (в мм)
2.4500D+03 4.5000D+00
E,SIGMAp(в МПа)
6.8000D+04 1.2000D+02
A,B,C,D,G
1.2406D+00 9.5603D-02 1.0800D-02 5.9312D-02 6.8120D-01
Nэ(в кН),Mэ(в кН*м),Pэ(в МПа)
-2.0000D+02 8.8000D+02 2.5380D-01
SIGMAcr2
2.3807D+01
РЕЗУЛЬТАТЫ ВЫЧИСЛЕНИЙ
Критическое касательное напряжение TAUcr (в МПа)
2.2758D+01
TAUcr0(в МПа)
2.4211D+01
Kp
2.3080D+00
Ki(I),I-номер приближения
1.0000D+00 3.9510D-01 3.9892D-01 4.0158D-01 4.0341D-01
4.0467D-01 4.0553D-01 4.0611D-01 4.0651D-01 4.0678D-01
4.0696D-01 4.0709D-01 4.0717D-01 4.0723D-01 4.0727D-01
TAUcr(I) (в МПа),I-номер приближения
5.5880D+01 2.2078D+01 2.2291D+01 2.2440D+01 2.2542D+01
2.2613D+01 2.2661D+01 2.2693D+01 2.2716D+01 2.2731D+01
2.2741D+01 2.2748D+01 2.2753D+01 2.2756D+01 2.2758D+01
ИСХОДНЫЕ ДАННЫЕ
R,DELTA,L(в мм)
2.4500D+03 4.5000D+00 1.7000D+03
E,SIGMAp(в МПа)
6.8000D+04 1.2000D+02
A,B,C,D,G
1.2410D+00 9.5600D-02 1.0800D-02 5.9310D-02 6.8120D-01
Nэ(в кН),Pэ(в МПа),Pcr(в МПа)
-2.0000D+02 2.5381D-01 5.8660D-02
TAUcr2
2.2120D+01