Материал: Требования, предъявляемые к криминологической информации

Внимание! Если размещение файла нарушает Ваши авторские права, то обязательно сообщите нам

Взаимосвязи между различными отраслями и подотраслями статистики постоянно совершенствуются, углубляются, дифференцируются или интегрируются, что можно выявить лишь при непосредственном ознакомлении с практическими формами учета и отчетности юридических и иных учреждений.

криминологический юридический информация преступность

3. Методические требования к криминологической информации

Криминологическая информация отвечает трем методическим требованиям:

) полнота и всесторонность информации, несоблюдение эᴛᴏго правила приводит к искаженному представлению, служит основой ошибочных выводов и рекомендаций. Стоит сказать - полнота информации - ее комплексность, достаточная для анализа преступности и результатов работы правоохранительных органов по укреплению правопорядка;

) ϲʙᴏевременность информации определяется задачами конкретного исследования. Своевременной будет информация, поступающая из отчетных данных за прошедший период времени или полученная от исследований предшествующей борьбы с преступностью;

Первичная регистрация ведется на единых по форме карточках, реквизиты которых содержат описание события, факта, его общих и особенных признаков. Лицо, оформляющее карточку, заполняет ее реквизиты, фиксируя информацию, которая необходима для последующего анализа первичных документов учета.

Контроль за достоверностью информации обеспечивается на всех стадиях ее сбора, обработки и анализа. Стоит заметить, что он заключается в сплошной или выборочной проверке заполнения документов, дублирующих процесс переноса информации с них на машинные носители. Достоверность обеспечивается однозначностью. Стоит сказать, для предупреждения нежелательных явлений в информационных процессах используют терминологию, употребляемую в документах сбора информации.

Задача

В городе «А» в течение года зарегистрировано 5389 преступлений. Его население - 1732 тыс. человек, дети до 14 лет - 308765 человек. В городе «В» за этот же период зарегистрировано 2944 преступления. Население здесь составляет 1345 тыс. человек, дети до 14 лет - 209583 человек.

Вычислите коэффициент преступности для каждого города в расчете на 10 тыс. населения и определите, в каком из них он выше.

Ответ на задачу

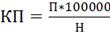
Коэффициент преступности - это конкретный обобщающий показатель общего количества учтенных преступлений, соотнесенного с численностью населения. Он расшифровывается как число преступлений на 100 тыс., 10 тыс. или 1 тыс. населения и является объективным измерителем преступности, позволяющим сопоставлять ее уровни в разных странах и в разные годы.

Коэффициент рассчитывается по формуле:

,

где П - абсолютное число учтенных преступлений;

Н - абсолютная численность всего населения.

Оба показателя берутся в одном и том же территориальном и временном объеме. Число преступлений обычно рассчитывается на 100 тыс. населения. Но при малых числах преступлений и населения (в городе, районе, на предприятии) КП может рассчитываться на 10 тыс. или на 1 тыс. жителей. Однако в любом случае эти числа означают размерность рассматриваемого коэффициента, которая обязательно указывается: число преступлений на 100 тыс. или 10 тыс. населения.

Коэффициент преступности может рассчитываться либо на все население, либо на население в возрасте уголовной ответственности (в России - на население в возрасте 14 лет и старше).

Когда расчет делается на все население, коэффициент фактически отражает лишь то, как население страдает от преступности (сколько зарегистрированных преступлений приходится на 100 000 человек). Ведь потерпевшим может быть и малолетний ребенок.

Коэффициент, рассчитанный на население в возрасте 14 лет и старше, показывает криминальную активность населения возраста уголовной ответственности, то, насколько интенсивно оно продуцирует преступное поведение.

Рассчитаем оба случая.

.        Расчет на все население

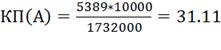
Абсолютное число учтенных преступлений в городе «А» будет равно 5389, а в городе «В» - 2944.

Абсолютная численность всего населения в городе «А» составляет 1732000, а в городе «В» - 1345000

С учетом этих показателей коэффициент преступности в городе «А» будет равен,

,

а коэффициент преступности в городе «В»

.

Таким образом, коэффициент преступности в городе «А» превышает коэффициент преступности в городе «В» почти в 1.4 раза.

. Расчет на население в возрасте 14 лет и старше.

Абсолютное число учтенных преступлений в городе «А» будет равно 5389, а в городе «В» - 2944.

Абсолютная численность всего населения в возрасте 14 лет и старше в городе «А» будет равно

,

а в городе «В»

.

С учетом этих показателей коэффициент преступности в городе «А» будет равен,

,

а коэффициент преступности в городе «В»

.

Таким образом, коэффициент преступности, рассчитанный на население в возрасте 14 лет и старше, в городе «А» превышает коэффициент преступности в городе «В» в 1.5 раз.


Заключение

В ходе работы решены следующие задачи:

) мы рассмотрели понятие криминологической информации;

) проанализировали источники криминологической информации;

) увидели методические требования к криминологической информации.

Использование возможностей ПЭВМ и методик компьютерных технологий в работе с машинными носителями информации - наиболее перспективное и технологичное направление получения криминологической информации на массовом, статистическом уровне с генеральной совокупностью всех изучаемых явлений. Работа по анкетированию уголовных дел не может обеспечить такого охвата.

Сведения по единому учету преступлений, содержащиеся в банках данных информационных центров всех уровней МВД России, ведущихся на машинных носителях, адекватно отражают криминологические характеристики этих деяний.

Для суждения о закономерностях преступности и личности преступника, для выявления причин преступности, разработки и оценки эффективности мер по ее предупреждению имеющихся статистических данных недостаточно. Здесь важны дополнительные криминологические исследования, которые проводятся специализированными научными учреждениями.

Научные криминологические исследования, проводимые по правилам выборочного статистического обследования, но по более широкой программе, с привлечением данных других видов социальной статистики (демографии, здравоохранения, образования и др.) позволяют глубже проникать в предмет исследования, разрабатывать конкретные рекомендации по повышению эффективности мер борьбы с преступностью.

Список использованной литературы

Нормативно-правовые акты

1. Федеральный закон Российской Федерации "О полиции" 07 февраля 2011 года. №3-ФЗ // "Российская газета", №25, 2011, 8 февравля.

2.      Федеральный закон Российской Федерации "Об информации, информационных технологиях и о защите информации" от 27 июля 2006 года. №149-ФЗ // "Российская газета", №165, 2006, 29.июля.

Научная литература

1. Антонян Ю.М. Криминология. - М.: Юрайт, 2013. - С. 528.

2.      Босхолов С.С. Криминологическая информация в правоприменительной деятельности ОВД. - Минск: Юпитер, 1990. С. 340.

.        Воскресенский Г.М., Дударев Г.И., Масленников Э.П. Статистические методы обработки и анализа социальной информации в управленческой деятельности ОВД. - М.: Академия МВД, 1986. - С. 235.

.        Криминология: Учебник / под общей редакцией А.И. Долговой. - 3-е изд., перераб. и доп. - М.: Норма, 2008. - 912 с.

.        Минин А.Я. Информатизация криминологических исследований: (теория и методология). - Екатеринбург: Изд-во Урал. ун-та, 1992. - С. 136.

.        Решетников А.Ю., Афанасьева О.Р. Криминология. Краткий курс лекций. - М.: Юрайт, 2014. - С. 178.

.        Свиридова И.В. Использование криминологической информации в профилактике правонарушений. - М.: Проспект, 1982. - С. 180.

.        Чуфаровский Ю.В. Криминология в вопросах и ответах. - М.: Проспект, 2014. - С. 144.