Материал: тест

Внимание! Если размещение файла нарушает Ваши авторские права, то обязательно сообщите нам

1. В каких случаях применяются стандартизованные коэффициенты?

1) для определения существенных различий в интенсивных показателях;

2) сравнения относительных величин в неоднородных по составу совокупностях;

3) сравнения показателей рождаемости, смертности, заболеваемости в неоднородных по возрастному и половому составу совокупностях;

4) изучения влияния какого-либо фактора на интенсивные показатели сравниваемых совокупностей;

5) сравнительного анализа средних величин.

2. Условные гипотетические величины, используемые для анализа неоднородных совокупностей, - это:

1) коэффициент регрессии;

2) статистический критерий Стьюдента;

3) коэффициент корреляции;

4) стандартизованный коэффициент;

5) средние величины.

3. Назовите методы вычисления стандартизованных коэффициентов:

1) прямой, косвенный, обратный;

2) прямой, обратный, дискретный;

3) косвенный, дискретный, непрямой;

4) обратный, косвенный, непрямой;

5) прямой, непрямой, обратный.

4. Перечислите этапы для расчета стандартизованных коэффициентов:

1) выбор стандарта; вычисление интенсивных показателей; расчет стандартизованных коэффициентов; сопоставление и анализ полученных показателей;

2) вычисление интенсивных показателей; выбор стандарта; расчет стандартизованных коэффициентов; определение причин несоответствия полученных показателей;

3) выбор стандарта; расчет стандартизованных коэффициентов; вычисление интенсивных показателей;

4) изучение структуры совокупностей; вычисление интенсивных показателей; выбор стандарта; расчет стандартизованных коэффициентов;

5) вычисление интенсивных показателей; выбор стандарта; расчет стандартизованных коэффициентов.

5. При анализе каких показателей общественного здоровья наиболее часто возникает необходимость расчета стандартизованных коэффициентов?

1) физического здоровья;

2) медико-демографических процессов;

3) инвалидности;

4) социальной обусловленности здоровья;

5) всех перечисленных.

6. Какие различия определяются стандартизованными коэффициентами?

1) уровень доходов населения;

2) численность населения;

3) число случаев смерти;

4) возрастно-половой состав;

5) по числу случаев рождений.

7. Какие коэффициенты используются для сравнительного анализа уровней смертности в неоднородных по возрастно-половому составу совокупностях?

1) коэффициенты корреляции;

2) коэффициенты регрессии;

3) стандартизованные коэффициенты;

4) общий коэффициент смертности;

5) коэффициент младенческой смертности.

1. Какая совокупность называется генеральной?

1) достоверные данные, необходимые для исследования;

2) отдельные единицы совокупности, отличающиеся друг от друга в силу различных случайных причин;

3) неограниченное число единиц наблюдения;

4) множество статистических элементов;

5) множество качественно однородных единиц наблюдения, объединенных по одному или группе признаков.

2. Часть единиц наблюдения генеральной совокупности, которая подвергается выборочному исследованию, называют:

1) частичной совокупностью;

2) случайной совокупностью;

3) выборочной совокупностью;

4) общей совокупностью;

5) фрагментарной совокупностью.

3. Назовите важнейшее условие объединения единиц наблюдения в выборочную совокупность:

1) репрезентативность;

2) однородность;

3) разнообразие;

4) конгруэнтность;

5) случайность.

4. Какие ошибки возникают вследствие того, что выборочная совокупность не воспроизводит в точности характеристики генеральной совокупности?

1) ошибки выборки;

2) ошибки регистрации;

3) непреднамеренные ошибки;

4) логические ошибки;

5) систематические ошибки.

5. Возможное расхождение характеристик выборочной и генеральной совокупностей измеряют:

1) средним квадратическим отклонением;

2) дисперсией;

3) ошибкой выборки;

4) корреляцией;

5) ошибкой регистрации.

6. Чем обеспечивается репрезентативность выборки?

1) случайным отбором;

2) ошибкой выборки;

3) предельной ошибкой;

4) средним квадратическим отклонением;

5) случайной ошибкой.

7. Что такое серийный отбор?

1) отбор копи-пар единиц наблюдения;

2) отбор единиц наблюдений с помощью генератора случайных чисел;

3) отбор целых групп единиц наблюдения;

4) многоступенчатый отбор единиц наблюдения;

5) типологический отбор единиц наблюдения.

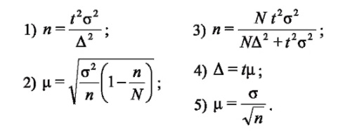
8. Укажите формулу для вычисления предельной ошибки выборки: 4

9. В каких случаях используется когортный метод?

1) для изучения заболеваемости населения;

2) анализа причинно-следственных связей заболеваемости и факторов риска;

3) разработки целевых медико-социальных программ;

4) изучения статистической совокупности относительно однородных групп лиц, объединенных наступлением определенного демографического события;

5) анализа социальной эффективности деятельности системы здравоохранения.

10. Необходимый объем выборки, обеспечивающий заданную точность, определяется по формуле: 3

1. Назовите виды статистической совокупности:

1) выборочная, минимальная;

2) генеральная, максимальная;

3) выборочная, генеральная;

4) атипичная, произвольная;

5) генеральная, типичная.

2. Дайте определение генеральной совокупности:

1) совокупность, состоящая из большого числа единиц наблюдения;

2) множество качественно однородных единиц наблюдения, объединенных одним или группой признаков;

3) множество единиц наблюдения;

4) совокупность, которая позволяет выявить общие закономерности изучаемого явления;

5) множество статистических величин.

3. Что является объектом статистического исследования?

1) единица наблюдения;

2) атрибутивные признаки;

3) количественные признаки;

4) статистическая совокупность;

5) факторные и результативные признаки.

4. С чего начинается статистическое исследование?

1) с разработки программы и рабочего плана исследования;

2) разработки программы сбора и обработки данных;

3) выработки управленческих решений;

4) определения единиц наблюдения;

5) определения объекта наблюдения.

5. Чем определяется выбор единицы наблюдения?

1) программой исследования;

2) заданием руководителя органа управления здравоохранением;

3) рабочим планом;

4) объемом статистической совокупности;

5) видом статистического исследования.

6. Какие из перечисленных характеристик относятся только к количественным учетным признакам единиц наблюдения?

1) диагноз, время госпитализации, место рождения, место госпитализации;

2) возраст, дата поступления и выписки, количество койко-дней, данные лабораторных исследований, пульс, давление, частота дыхания, доза лекарственных препаратов;

3) диагноз, фамилия, пол, исход лечения, семейное положение;

4) исход лечения, количество койко-дней, пол, методы лечения, семейное положение;

5) диагноз, методы лечения, доза лекарственных препаратов, время госпитализации.

7. Назовите виды статистических наблюдений в зависимости от полноты охвата:

1) сплошное, выборочное;

2) полное, неполное;

3) выборочное, полное;

4) сплошное, неполное;

5) генеральное, случайный отбор.

8. Макет какой таблицы изображен на рисунке?

1) простой;

2) сложной;

3) групповой;

4) комбинационной;

5) единичной.

9. В содержание первого этапа статистического исследования входит все нижеперечисленное, кроме:

1) определения цели и задач исследования;

2) выбора единицы наблюдения;

3) определения объекта исследования;

4) контроля входных данных;

5) составления плана исследования.

10. В содержание второго этапа статистического исследования входит все нижеперечисленное, кроме:

1) формирования баз данных;

2) выкопировки данных;

3) анкетирования или опроса;

4) контроля входных данных;

5) статистического анализа данных.

11. В содержание третьего этапа статистического исследования входит все нижеперечисленное, кроме:

1) подготовки данных;

2) группировки данных;

3) априорного анализа данных;

4) визуализации данных;

5) составления программы исследования.

12. В содержание четвертого этапа статистического исследования входит все нижеперечисленное, кроме:

1) разработки альтернативных вариантов решения проблемы;

2) экономического обоснования выбранного решения;

3) составления макетов статистических таблиц;

4) согласования выбранного решения с вышестоящим органом управления;

5) контроля за выполнением управленческого решения.

13. Макет какой таблицы изображен на рисунке?

1) простой;

2) сложной;

3) групповой;

4) комбинационной;

5) единичной.

14. Что предусматривает рабочий план статистического исследования?

1) определение объекта исследования;

2) способы формирования выборочной совокупности;

3) формулировку гипотез;

4) составление сетевого графика;

5) постановку цели и задач исследования.

15. Макет какой таблицы изображен на рисунке?

1) простой;

2) сложной;

3) групповой;

4) комбинационной;

5) единичной.