Материал: Тепловой расчет паровых котлов малой мощности

Внимание! Если размещение файла нарушает Ваши авторские права, то обязательно сообщите нам

Тепловой расчет паровых котлов малой мощности

Федеральное государственное бюджетное образовательное учреждение

высшего профессионального образования "Ивановский государственный политехнический университет"

Институт информационных технологий и инженерных систем

Кафедра: Гидравлики, теплотехники и инженерных сетей








ПОЯСНИТЕЛЬНАЯ ЗАПИСКА

к курсовой работе по дисциплине «Теплогенерирующие установки»

на тему: «Тепловой расчет паровых котлов малой мощности»


Выполнил:

ст. группы бТГВ-31

Семеновой В.А.

Проверил:

ст. пр. Зиновьева Е.В.



Иваново 2013

СОДЕРЖАНИЕ

Исходные данные

. Состав и характеристика топлива

. Определение состава и энтальпий дымовых газов

2.1 Расчёт при коэффициенте расхода воздуха=1

.2 Расчёт при коэффициенте расхода воздуха>1

.3 Расчёт энтальпий

. Тепловой баланс

. Расчёт топки

.1 Определение конструктивных размеров и характеристик топочной камеры

.2 Расчёт теплообмена в топке

.Определение тепловосприятий

.1 Тепловосприятие пароперегревателя

.2 Тепловосприятие котельного пучка

.3 Тепловосприятие водяного экономайзера

.4 Сведение теплового баланса котла

. Проверочно-конструктивный расчёт пароперегревателя

. Проверочно-конструктивный расчёт котельного пучка

. Проверочно-конструктивный расчёт водяного экономайзера

. Аэродинамический расчёт газового тракта котла

Библиографический список

ПРИЛОЖЕНИЕ: Распределение температур и энтальпий по газоходам котла

ИСХОДНЫЕ ДАННЫЕ

Газопровод: Бухара-Урал

%

%

%

%

%

%

%

1.     
СОСТАВ И ХАРАКТЕРИСТИКА ТОПЛИВА

Энергетическая характеристика топлива определяется его теплотой сгорания.

Различают низшую () и высшую () теплоту сгорания топлива, которые находят по формулам (для газообразного топлива):


Содержание компонентов рабочего топлива имеет размерность в процентах.

Для сравнения эффективности различных топлив используют понятия условного топлива и топливного эквивалента.

Условным называется топливо, имеющее теплоту сгорания 29,3  ().

Топливный эквивалент находят по формуле:


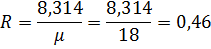
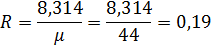
где  низшая теплота сгорания топлива,  ().

Высококалорийными топливами считаются такие, у которых

В нашем случае:

2.     
ОПРЕДЕЛЕНИЕ СОСТАВА И ЭНТАЛЬПИЙ ДЫМОВЫХ ГАЗОВ

2.1 Расчет при коэффициенте расхода воздуха

пароперегреватель котельный экономайзер топочный

Дымовые газы образуются в результате горения горючих компонентов топлива: углерода, водорода, серы. Кислород топлива используется для горения. Азот не участвует в горении. Зола топлива также не участвует в горении а выпадает в осадок, и частично уносится с дымовыми газами. Влага топлива при его горении используется и в виде водяного пара присутствует в дымовых газах.

В результате горения образуются ,  и водяной пар. Кислород, необходимый для горения, подаётся в составе воздуха, где он занимает объем равный 21%.

По реакциям горения можно рассчитать необходимое количество кислорода, а через него и необходимое количество воздуха. Расчет количества продуктов сгорания и воздуха производится на 1 кг твердого или жидкого топлива и на 1 м3 газообразного топлива.

Теоретическое количество воздуха:


Теоретическое количество трехатомных газов:


Теоретическое количество водяных паров:


Теоретическое количество азота в дымовых газах:


Теоретический объем дымовых газов:


Процентный состав дымовых газов при сжигании любого топлива находят по формуле:


где  теоретическое количество соответствующего газа в дымовых газах,  или.


2.2 Расчет при коэффициенте расхода воздуха

Для обеспечения полного сжигания топлива необходимо подавать воздух на горение в большем количестве, чем требуется его теоретически.

Газовый тракт котельного агрегата работает под разрежением, и поэтому окружающий котел воздух, находящийся под атмосферным давлением, стремится в газоходы котла. Попадая в газоходы котла, атмосферный воздух снижает температуру дымовых газов, изменяет их состав, увеличивая долю азота и водяных паров и снижая долю трехатомных газов. Атмосферный воздух, попавший в газоходы котла, снижает его КПД. Для борьбы с присосами атмосферного воздуха:

поддерживают разрежение в топке котла не более 15÷20 Па;

весь котел по попериметру снаружи обшивают стальными листами, снижая воздухопроницаемость тепловой изоляции;

делают минимальное количество отверстий в обмуровке котла, необходимых для наблюдения за его работой, и предусматривают их плотное заерытие.

Но, несмотря на эти рекомендуемые мероприятия, подсосов воздуха в газоходы котла избежать не удается.

Пользуясь вышеприведенными рекомендациями, можно определить коэффициенты расхода воздуха последовательно по всему газовому тракту котла по формуле:

а также среднее значение коэффициента избытка воздуха в соответствующем газоходе:

где  начальный и конечный коэффициенты расхода воздуха в газоходе.

Для топки

Для факельной топки при сжигании газа необходим начальный коэффициент расхода воздуха  Рекомендуемый подсос равен  .

Из-за изменения количества воздуха в газоходе котла изменяется и соотношение компонентов в данных газах. Количество трехатомных газов остается постоянным.


Количество водяных паров:


Количество азота:

Количество кислорода:


Действительное количество дымовых газов при средней величине коэффициента избытка воздуха  в газоходе будет:


Действительное процентное соотношение компонентов в дымовых газах находят также как и для теоретического, но только для действительных количеств соответствующих газов:


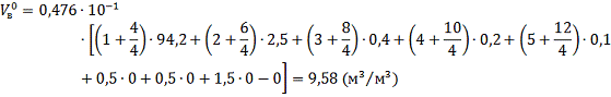
При сжигании газового топлива массу дымовых газов рассчитывают по формуле:


где  плотность газового топлива,()

 влажность газового топлива, равная 10

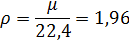
Плотность дымовых газов находят по формуле:


Среднюю объемную теплоемкость продуктов сгорания при постоянном давлении определяют по формуле:

,

где  ,средние объемные теплоемкости при постоянном давлении соответствующих газов

 объемные доли в процентах.

: