Материал: Тепловой расчёт котельного агрегата Е-50-14-194 Г

Внимание! Если размещение файла нарушает Ваши авторские права, то обязательно сообщите нам

Таблица 6

Тепловой баланс котла

Наименование показателя

Обозначение

Размерность

Формула

Расчёт

1.Располагаемая теплота

 Принимается по [2]

2.Энтальпия холодного воздуха                                                При


 

3.Полезное тепловосприятие котла

  по [3] учитывая  

 

4.Энтальпия перегретого пара

Принимается по

5.Энтальпия питательной воды

Принимается по  *

6.КПД котла

7.Потери теплоты с уходящими газами

8.Энтальпия уходящих газов

Принимается по таблице энтальпий при  принимаем 120

9.Потери от механического недожога

Для газа не учитывается

10.Потери от химического недожога

По таблице 2.2 [1]

11.Потери от наружного охлаждения

По рисунку 4.1 [1]

12.Потери с физическим теплом шлаков

Для газа не учитывается

0

13.Расход топлива КА (натурального)

14.Расход топлива КА (условного)

15.Теплота сгорания условного топлива

16. Коэффициент сохранения теплоты

-



Поверочный расчёт топочной камеры




c

 f

k



Рис 2. Эскиз и размеры топочной камеры.

 - высота топочной камеры

 - высота окна(горизонтального газохода)

 - ширина по фронту топочной камеры

 - глубина топочной камеры

 - расстояние от пода топки до горелок

к = 2 м - длина ската

f = 0,3 м - высота ската

 - высота призматической части топки

 - относительная высота

Таблица 7

Наименование показателя

Обозначение

Размерность

Формула

Расчёт

1.Полное тепловыделение

2.Теплота поступающая в топку с воздухом

 

 

 

 

3.Энтальпия горячего воздуха

По таблице энтальпий согласно 

4.Температура горячего воздуха

  и по Приложению 1

5. Адиабатическая температура горения

По таблице энтальпий

 1959,44+273,15=2232,59

6. Относительная высота установки горелок


 из эскиза топки

0,348

7.Параметр

-

  и согласно [1]

8.Средний коэф-т тепловой эффективности                       -              , где А - температурный коэффициент,

для газа - 700

 


 

9.Коэф-т тепловой эффективности гладких труб

 

-

 

10.Угловой коэффициент

-

По номограмме 1 [1]

11.Коэффициент загрязнения

-

По таблице 5.2 [1]

12.Температура газов на выходе из топки(задаётся)

 

 

 Предварительно задаётся согласно [1]

 

13.Площадь боковой стены

 по Приложению 1

13.Общая площадь стен топки

 

 

 площади отдельных стен топки (из чертежа)

 

14.Площадь занимаемая окном

15.Поверхность горелок

 

 

  - количество горелок(из чертежа) - диаметр горелок(из чертежа)

 

16.Поверхность гладких экранов

17.Степень черноты топки

-

18.Степень черноты факела

-

= 0,501

19.Коэффициент усреднения

-

Определяется по =205,02

0,1

20.Объёмное теплонапряжение топки

21.Степень черноты газов

-

 =0,69 согласно [1]

22.Коэффициент поглощения трёхатомными газами

 

 

 Определяется по номограмме 3 [1]

 0,99

23.Степень черноты светящейся части факела

 

 -

 Определяется по номограмме 2 [1]

 0,55

24.Коэффициент поглощения

5.Соотношение между содержанием углерода и водорода в рабочей массе топлива

-

26.Средняя теплоёмкость

27.Энтальпия газов по заданной температуре

 

 

По таблице энтальпий согласно

28.Критерий Больцмана

-

29.Температура газов на выходе из топки(расчётная)

 

 

 

 

30.Расчётная энтальпия

По таблице энтальпий согласно

31. Тепловосприятие топки по балансу



Поверочный расчёт фестона

Конструктивные данные фестона приведены в таблице 1

Hф                                                   lвых

Aф

Рисунок 3 - Схема фестона

Пояснение: Путём двух расчётов по представленной ниже методике, была найдена температура, при которой количество теплоты воспринятое фестоном по уравнению теплового баланса равна количеству теплоты воспринятое фестоном по уравнению теплопередачи. Берутся две разные температуры газов за фестоном с разницей 50 и 100, температура 1068 является искомой.

Параметр

Расчётная формула или способ её определения

Расчёт

Численное значение

1

Температура газов на выходе υ’ ,

Из расчёта топки

1139

2

Энтальпия h’, кДж/кг

h- υ таблица

20462

3

Температура газов за фестоном υ” ,

1139- 71

1068

4

Энтальпия h”, кДж/кг

h- υ таблица

19045

5

Количество теплоты воспринятое фестоном по уравнению теплового баланса , кДж/кг

h’-h”)

0,9947(20462-19045)

1409

6

Температурный напор ∆ ,

907,93

7

Расчётная скорость дымовых газов  , м/с

5,36

8

Сечение газохода,

По таблице 1


8

Средняя температура дымовых газов υ ,

1103

9

Коэффициент теплоотдачи , ккал/*час*

По номограмме 5[1]


37

10

Коэффициент теплоотдачи излучением , ккал/*час*

По номограмме 8[1]


57

11

Коэффициент теплоотдачи , ккал/*час*


94

12

Коэффициент тепловой эффективности Ѱ

const


0,6

13

Коэффициент теплоотдачи k , ккал/*час*

Ѱ*


56,4

14

Количество теплоты воспринятое фестоном по уравнению теплопередачи , кДж/кг

1420,22

15

Расхождение между  и , %

0,78


Вывод: Расхождение между  и  меньше 5%, что допустимо

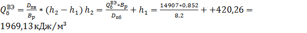
Распределение тепловосприятий По пароводяному тракту

котельный газ воздух тепловой

Рис.4. Схема пароводяного тракта.


Точка 1.

Точка 2.

Уравнение теплового баланса экономайзера

 =

 

 

экономайзер не кипящий

Точка 3.     

 

Точка 4.

 

Точка 5.

Точка 6.

 

 

 

 

Точка 7.

 

 

 

 

Точка 8.

 

 

 

 

 

Точка 9.

 

 

 

 

По газовому тракту

Рассчитываемые в дальнейшем точки состояния газа представлены на Рисунке 4

Точка I

 

 

Точка II

 

 

Точка III