Материал: Теории управления

Внимание! Если размещение файла нарушает Ваши авторские права, то обязательно сообщите нам

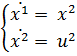
Линейные дифференциальные уравнения с управлением

Любое допустимое управление  является функцией измеримой и удовлетворяет оценке

.

Тем самым согласно свойству 2 интеграла Лебега, функции  интегрируемы по Лебегу.

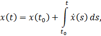
Функцию  назовем абсолютно непрерывной на отрезке времени , если ее производная  существует для почти всех , интегрируема по Лебегу и для всех  выполняется условие


т. е. функция  однозначно восстанавливается по своей производной . Любая кусочно гладкая функция  является абсолютно непрерывной.

Для любого допустимого управления т. е. интегрируемой по Лебегу функции и любого начального состояния  можно также определить решение  дифференциального уравнения (2) из . Но в этом случае решение  уже не будет функцией непрерывно дифференцируемой, а будет лишь функцией абсолютно непрерывной.

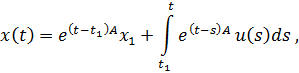
Теорема. Пусть функция  в уравнении (2) из интегрируема по Лебегу на отрезке  Тогда для любого начального значения  абсолютно непрерывное решение  уравнения (2) из существует, является единственным и для любого задается формулой Коши (3) из , причем интеграл в этой формуле понимается в смысле Лебега.

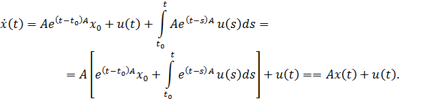
Доказательство. Непосредственно проверяется, что функция , задаваемая формулой (3) из , является решением дифференциального уравнения (2) из . Действительно, при  очевидно выполняется начальное условие . Далее, используя свойства экспоненциала, найдем производную функции


Видно, что она совпадает с правой частью уравнения (2) из . Таким образом, при подстановке функции  в уравнение (2) из  получаем равенство


Заметим, что полученное равенство выполняется лишь для почти всех , так как производная  абсолютно непрерывной функции  существует лишь почти всюду. Классическое непрерывно дифференцируемое решение  обращает уравнение в тождество при всех .

Тем не менее, абсолютно непрерывная функция  называется решением дифференциального уравнения (2) из , если равенство (1) выполняется для почти всех  Если изменить управление  в отдельных точках или даже на множестве нулевой меры, то равенство (1) сохраниться, и функция  останется решением. Она вообще не изменится, так как функция  в формуле(3)  стоит под знаком интеграла, а интеграл Лебега не меняется, если подынтегральную функцию изменить на множестве нулевой меры.

Осталось доказать единственность решения  Предположим противное, т. е. существуют два различных абсолютно непрерывных решения  и  с одним и тем же начальным условием . Пусть - первый такой момент времени, после которого решения  и  расходятся. Выберем малое число  такое, что  , и на отрезке времени  рассмотрим функцию  . Поскольку  и  удовлетворяют равенству (1) , для функции  получаем соотношение

 

Для почти всех . Проинтегрировав его на отрезке , получим равенство


так как . Таким образом, при всех  справедливо соотношение


Поскольку функция  непрерывна на отрезке , она достигает своего максимума в некоторой точке . Подставляя в полученное соотношение точку , получим противоречивое неравенство

.

Тем самым единственность решения  установлена. Теорема доказана.

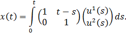
Пример 1.Пусть n=2. Найти решение системы уравнений

 

где функция  задается формулой


с начальным условием  на отрезке времени  

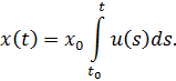
В данном случае , следовательно,  и формула Коши (3) принимает вид


Интегрируя функцию , получаем решение


Это решение кусочно гладко, его производная имеет разрыв в точке

Пример 2.Найти решение системы дифференциальных уравнений


с начальным условием на правом конце отрезка времени ,, когда функция  кусочно непрерывна и задана условием

Экспоненциал матрицы  имеет вид

.

 

Подставив это выражение и условие  в формулу


получим выражение


Подставив сюда функцию  и проинтегрировав, получаем

  при