Материал: Тема 5. Промывка скважин

Внимание! Если размещение файла нарушает Ваши авторские права, то обязательно сообщите нам

iLovePDF

Тема 5. Промывка скважин

Учебные вопросы: 1. Функция и режимы промывки скважин.

2.Требования к режиму промывки скважин.

3.Расчет режимов промывки скважин.

1.Функция и режимы промывки скважин.

Технологический процесс промывки скважин должен быть спроектирован и реализован так, чтобы достичь лучших технико-экономических показателей бурения. При этом главное внимание необходимо уделять выполнению основных технологических функций и ограничений.

Часто стремление к качественному выполнению процесса промывки приводит к невыполнению ограничений. В этих случаях прежде всего решаются оптимизационные задачи, цель которых — выбрать в каждом конкретном случае экономически наиболее выгодное сочетание технологических показателей процесса промывки, обеспечивающих минимальную стоимость скважины и достижение поставленной цели при сохранении высокого качества объекта.

Одной из функций промывки является разрушение забоя скважины. Это требование не считается обязательным, так как основную роль в разрушении забоя играет долото. Однако и промывку нельзя считать второстепенной операцией при разрушении забоя, особенно при бурении рыхлых пород, когда их размыв на забое за счет гидромониторного эффекта высокоскоростной струей бурового раствора, вытекающего из насадок долота, вносит не меньший вклад в скорость проходки скважины, чем механическое разрушение забоя вращающимися элементами долота.

Стремясь максимально использовать кинетическую энергию вытекающей из насадок долота струи бурового раствора для разрушения забоя, часто увеличивают до предела либо гидравлическую мощность, срабатываемую на долоте, либо силу гидравлического удара струи о забой. И в том, и в другом случае пытаются реализовать необходимую подачу буровых насосов с одновременным доведением до верхнего предела давления нагнетания бурового раствора. В результате этого одновременно с интенсификацией размыва забоя часто отмечаются отрицательные явления: резкое увеличение энергетических затрат на циркуляцию, размыв ствола в интервалах неустойчивого разреза потоком в кольцевом пространстве, ухудшение условий механического разрушения забоя долотом в результате повышения забойного давления, поглощение бурового раствора в связи с возрастанием гидродинамического давления на пласты и др.

Основными функциями промывки скважин являются очистка забоя от разрушенной долотом породы и вынос шлама из скважины. Чем быстрее удаляются осколки породы с забоя потоком бурового раствора, тем эффектнее работает долото.

Для улучшения очистки забоя на практике увеличивают вязкость бурового раствора или его подачу к забою через насадки долота. Наиболее предпочтителен второй метод.

Обязательное требование к процессу промывки скважин - выполнение функции транспортировки шлама на дневную поверхность. Чем выше скорость циркуляции, плотность и вязкость бурового раствора, тем более интенсивно осуществляется гидротранспорт шлама от забоя на дневную поверхность. Поэтому регулировать скорость выноса шлама из скважины можно, изменяя подачу насосов, плотность и вязкость бурового раствора.

iLovePDF

Для удовлетворительной очистки ствола скважины от шлама должно быть выбрано оптимальное соотношение между подачей буровых насосов, плотностью и показателями реологических свойств раствора.

Основной параметр, обеспечивающий компенсацию пластового давления на границе со скважиной,

— плотность бурового раствора, по мере увеличения которой безопасность проходки, как правило, повышается. В то же время с ростом плотности увеличивается давление на забое, повышается концентрация твердой фазы в буровом растворе, что может привести к заметному падению механической скорости проходки скважины и загрязнению продуктивных горизонтов, а также способствует гидроразрыву пластов.

Следовательно, плотность бурового раствора должна быть такой, чтобы совместно с другими технологическими факторами и приемами можно было обеспечить достаточное противодавление на проходимые пласты, но в то же время она не должна заметно ухудшать условия работы долота и эксплуатационные характеристики продуктивных горизонтов и приводить к осложнениям.

Плотность также является одним из основных факторов, обеспечивающих устойчивость стенок скважины. С ее увеличением интенсивность осыпей и обвалов ствола, как правило, уменьшается, однако при этом становится все более опасным другой вид осложнений — поглощения бурового раствора. Поэтому на практике для повышения устойчивости стенок скважины регулируют одновременно плотность, показатель фильтрации, соленость бурового раствора с целью уменьшения проникновения фильтрата бурового раствора в поры породы за счет фильтрации, осмоса и др.

Важное технологическое качество бурового раствора — удержание находящихся в нем частиц во взвешенном состоянии, особенно в перерывах циркуляции. При росте реологических характеристик бурового раствора его удерживающая способность повышается. Однако при этом увеличиваются энергетические затраты и затраты времени на циркуляцию, возникают значительные колебания давления в скважине при спускоподъем-ных операциях, что может стать причиной возникновения различных осложнений.

При промывке должны быть обеспечены отделение и сброс шлама на вибрационных ситах, в гидроциклонах, отстойниках и т.д. В противном случае шлам будет поступать в скважину, засорять ее и ухудшать условия работы долота. Для удовлетворительного отделения шлама от бурового раствора следует стремиться к минимизации показателей реологических свойств бурового раствора, однако при этом не должна ухудшаться его удерживающая способность.

Буровой раствор должен обладать смазывающей способностью. Смазывая поверхность труб, опоры долота, гидравлическое оборудование, раствор способствует уменьшению энергетических затрат на бурение, сокращению аварий с бурильными колоннами, что особенно важно при роторном бурении. Поэтому желательно увеличивать содержание смазочных добавок в буровом растворе. Однако при большом содержании этих добавок заметно снижается механическая скорость проходки, особенно при бурении долотами истирающего типа. Следовательно, содержание смазочных добавок в буровом растворе должно быть также оптимальным.

Охлаждение долота, бурильных труб, гидравлического оборудования способствует увеличению их долговечности и поэтому является также важной функцией промывки. Известно, что охлаждение омываемых деталей тем лучше, чем больше скорость циркуляции, ниже вязкость бурового раствора и выше его теплоемкость и теплопроводность. Однако регулирование этих показателей с целью улучшения условий охлаждения бурового инструмента и оборудования ограничено необходимостью выполнения предыдущих, иногда более важных, функций промывки скважин.

iLovePDF

2. Требования к режиму промывки скважин.

Для обеспечения высоких скоростей бурения скважин к буровым растворам можно предъявить следующие основные требования:

жидкая основа растворов должна быть маловязкой и иметь небольшое поверхностное натяжение на границе с горными породами;

концентрация глинистых частиц в твердой фазе раствора должно быть минимальной, а средневзвешенное по объему значение плотности твердой фазы — максимальным;

буровые растворы должны быть недиспергирующими под влиянием

изменяющихся термодинамических условий в скважинах и иметь стабильные показатели;

буровые растворы должны быть химически нейтральными по отношению к разбуриваемым породам, не вызывать их набухание;

буровые растворы не должны быть многокомпонентными системами, а используемые для регулирования их свойств химические реагенты, наполнители и добавки должны обеспечивать направленное изменение каждого технологического показателя при неизменных других показателях;

смазочные добавки должны составлять не менее 10 %.

Выполнение на практике сформулированных общих требований к буровому раствору — необходимое, но не достаточное условие для достижения высоких показателей работы породоразрушающего инструмента и наилучших показателей бурения. Надо выполнять также общие требования к основным показателям бурового раствора.

3. Расчет режимов промывки скважин.

ГИДРАВЛИЧЕСКИЙ РАСЧЕТ ПРОМЫВКИ СКВАЖИНЫ НЕСЖИМАЕМОЙ ЖИДКОСТЬЮ

Точность гидравлического расчета процесса промывки скважины зависит в первую очередь от достоверности исходной информации.

Некоторые исходные данные к расчету могут быть определены приближенно. К таким данным относятся: диаметр необсаженного ствола скважины, реологические свойства промывочной жидкости, шероховатость стенок труб и скважины и т.д. Поэтому при расчете следует пользоваться оценками, позволяющими удовлетворить всем технологическим и геологическим условиям бурения. Так, оценкой снизу для гидродинамического давления в кольцевом пространстве скважины, исходя из условий создания противодавления на продуктивные пласты, является гидростатическое давление столба промывочной жидкости. Для оценки сверху распределения давлений, исходя из условия недопущения гидроразрыва (поглощения) пластов, и при определении давления в насосе целесообразно применять расчетные соотношения и исходные данные, дающие несколько завышенные значения перепада (потерь) давления в различных элементах циркуляционной системы.

При определении расхода промывочной жидкости, обеспечивающего очистку забоя и транспорт шлама в кольцевом пространстве, необходимо знать среднюю скорость течения жидкости в затрубном

iLovePDF

пространстве УК, обеспечивающую вынос выбуренной породы из скважины. При промывке первых скважин на площади скорость ук выбирают по расчету. По мере разбуривания площади и накопления опыта значение УК может уточняться с учетом других факторов (тип разбуриваемых пород, способ бурения, конструкция долот и т.п.). Обычно эта скорость находится в диапазоне 0,7 — 1,4 м/с.

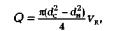
По известному значению УК определяется расход О промывочной жидкости, необходимый для выноса шлама:

(6.1)

где с1с диаметр скважины, м; йн — минимальный наружный диаметр труб бурильной колонны, м.

Полученное значение О уточняется проверкой условия, обеспечивающего очистку забоя от шлама:

(6.2)

где а = 0,35+0,5 м/с при роторном способе и электробурении; а = 0,5+ -ИЗ,7 м/с при бурении гидравлическими забойными двигателями.

При выборе диаметра цилиндровых втулок насоса значение О подбирают, ориентируясь на вынос шлама, а диаметры цилиндровых втулок бурового насоса окончательно выбирают из справочных таблиц. Суммарную подачу насосов определяют по формуле

где т — коэффициент заполнения; п — число насосов; Он — подача насоса при данном диаметре втулок, м3/с.

Коэффициент т выбирается в зависимости от условий всасывания жидкостей. При наличии подпора на всасывание т = 1. Если всасывание осуществляется из емкостей в грунте, то при промывке водой т = 0,9 и глинистым раствором т = 0,8.

При выборе плотности промывочной жидкости, применяемой при раз-буривании заданного интервала, необходимо учитывать следующие два условия: создание противодавления, препятствующего притоку в скважину пластовых флюидов, и предотвращение гидроразрыва.

Первое условие имеет вид

(6.3)

где р — плотность промывочной жидкости, кг/м3; кр — коэффициент резерва; Рид — пластовое давление, Па; д — ускорение силы тяжести, м/с2; 1к — глубина залегания кровли пласта с максимальным градиентом пластового давления, м; Лрр - потери давления.

Согласно существующим правилам рекомендуются следующие значения .кр и Лрр:

кр = 1,1 + 1,15; Лрр = 1,5 МПа при Lк< 1200 м;

кр = 1,05 + 1,1; Лрр = 2,5 МПа при 1200 м < Lк < 2500 м;

кр = 1,04 + 1,07; Лрр =3,5 МПа при. Lк > 2500 м.

iLovePDF

Рассчитанную по формуле (6.3) плотность р необходимо проверить на соответствие второму условию, из которого следует, что давление промывочной жидкости в затрубном пространстве против каждого пласта должно быть меньше давления гидроразрыва данного пласта. Второе условие записывается следующим образом:

(6.4)

где рг — давление гидроразрыва (поглощения) пласта, Па; — потери давления при движении промывочной жидкости в затрубном пространстве на пути от подошвы рассматриваемого пласта до устья скважины, Па;

— содержание жидкости в шламожидкостном потоке без

учета относительных скоростей; рш — плотность шлама, кг/м3; 1„ — глубина залегания подошвы рассматриваемого пласта, м; ум — механическая скорость бурения, м/с.

Поскольку значения и ф зависят от расхода промывочной жидкости, то проверить второе условие можно только после установления подачи насосов.

При выборе турбобура расход промывочной жидкости О, кроме очистки забоя и выноса шлама, должен обеспечить работу турбобура с заданным для разрушения породы моментом Мр. Поэтому по справочнику необходимо подобрать турбобур такого типа, который удовлетворяет следующим условиям: диаметр корпуса меньше диаметра долота более чем на 10 мм; расход жидкости при номинальном режиме работы О^ близок к принятой подаче насоса; крутящий момент Мт не менее чем на 20 % больше заданного Мр, необходимого для разрушения породы.

Крутящий момент турбобура при работе на жидкости плотностью р и подаче насоса О определяется из соотношения

где — соответственно тормозной момент на валу турбобура, плотность и расход жидкости при номинальном режиме его работы.

Контрольные вопросы:

1. Назовите основные функции промывки скважины?

2.Какие существуют режимы промывки скваижны?

3. Как определяется расход промывочной жидкости для выноса шлама?

Литература

1. Басарыгин Ю.М., Булатов А.И., Проселков Ю.М. Заканчивание скважин: Учеб. пособие для

вузов. — М: ООО «Недра-Бизнесцентр», 2000. — 670 с.