Материал: Технология судоремонта

Внимание! Если размещение файла нарушает Ваши авторские права, то обязательно сообщите нам

Технология судоремонта

ФЕДЕРАЛЬНОЕ АГЕНТСТВО МОРСКОГО И РЕЧЕГО ТРАНСПОРТА

ФЕДЕРАЛЬНОЕ ГОСУДАРСТВЕННОЕ БЮДЖЕТНОЕ ОБРАЗОВАТЕЛЬНОЕ УЧРЕЖДЕНИЕ ВЫСШЕГО ПРОФЕССИОНАЛЬНОГО ОБРАЗОВАНИЯ

«ГОСУДАРСТВЕННЫЙ УНИВЕРСИТЕТ МОРСКОГО И РЕЧНОГО ФЛОТА ИМЕНИ АДМИРАЛА С.О. МАКАРОВА»

Кафедра судового технологии судоремонта






Курсовой проект

«Технология судоремонта»


Выполнила

Тиунов И.Ю.





Санкт-Петербург 2014 г.

Содержание

Введение

. Основы старения и расчёты износов деталей судовых механизмов

. Обнаружение усталостных повреждений коленчатых валов магнитопорашковым методом

. Восстановление работоспособности коленчатых валов среднеоборотных дизелей нанесением покрытий

. Ремонт коленчатого вала механической обработкой

. Сборка коленчатого вала с подшипниками после ремонта

. Анализ точности сборки кривошипно-шатунного механизма судовых дизелей при ремонте

. Центровка валопровода по изломам и смещениям

. Расчет гидропрессового соединения валов валопровода

Библиографический список

Введение

Курсовой проект по дисциплине «Технология судоремонта» направлен на закрепление теоретических знаний, полученных в процессе изучения дисциплины.

Проект построен на анализе процессов старения, восстановления и обеспечения точности сборки отдельных узлов судовых дизелей и элементов судовых энергетических установок.

В процессе эксплуатации детали, узлы и в целом механизмы под действием различных факторов теряют свои первоначальные свойства и качества, приданные им при изготовлении и ремонте.

Вследствие этого ухудшаются его технико-эксплуатационные показатели СЭУ и для их восстановления необходимо проводить различные виды ремонта.

В настоящее время капитальный ремонт судовых дизелей производится в специализированных цехах, технологический процесс ремонта двигателей предусматривает выполнение операций: демонтажа навесных агрегатов и приборов с проведением их ремонта, общей мойки дизеля, разборки его на детали, мойки и очистки деталей, их дефектации различными методами, восстановления работоспособности изношенных деталей, узловой и общей сборки дизеля, его испытания и окраски.

Ремонт судового валопровода начинается с разборки и дефектации его элементов. После ремонта деталей валопровода в цеховых условиях производится его сборка на судне и центровка одним из методов: по изломам и смещениям или по нагрузкам на подшипники.

В процессе ремонта валопровода может производиться его конструкторско-технологическая модернизация, например замена шпоночного соединения гребного винта с валом на безшпоночное гидропрессовое.

К основным видам износов, приводящих к выбраковке коленчатых валов судовых дизелей, относится изменение формы и размеров шеек, нарушение параллельности осей шатунных и коренных шеек, возникновение трещин.

В процессе дефектации определяется техническое состояние коленчатого вала. По результатам дефектации принимается решение о восстановлении работоспособности коленчатого вала. Восстановление валов с размерным износом может быть осуществлено механической обработкой шеек на ремонтный размер или наращиванием металла плазменным напылением, хромированием с последующей механической обработкой до требуемого диаметра шеек. Работоспособность коленчатых валов с трещинами в отдельных случаях обеспечивается выборкой их специальным инструментом.

1. Основы старения и расчёты износов деталей судовых механизмов

Основными причинами образования износов деталей судовых механизмов является трение и усталость металла. Изнашиванию от трения подвергаются в процессе эксплуатации сопряжённые поверхности деталей. Под воздействием различных процессов, возникающих в пятнах касания (микрорезание, упругое и пластическое деформирование, схватывание окисных пленок и чистых металлов) происходит разрушение металла, изменяется форма и размеры деталей. размерный износ определяется микрометрированием с помощью измерительного инструмента, обеспечивающего точность измерения от 0,002 до 0,010 мм. На основании данных, полученных при измерениях, рассчитывают фактические износы, скорости изнашивания и сроки службы деталей, а также ресурсы машин.

Таблица 1.1. Исходные данные для расчета диаметра изношенной шейки коленчатого вала

Марка дизеля

Диаметр шейки коленвала, dн ,мм

Наработка t, тыс.ч.

Ресурс до среднего ремонта T, тыс. ч.

Расчетный диаметр шейки dрасч, мм

НВД-36

Шатунная dн= 144,985

40

15


Радиальный износ W ,мм, шейки коленчатого вала за время наработки t в тыс.ч.:


где dН - первоначальный диаметр шейки коленчатого вала, мм;

d1 - диаметр шейки после наработки t ,мм.

При анализе износов деталей судовых машин различают фактическую xф , среднюю xср и нормативную xн скорости изнашивания в мм/тыс.ч. Их определяют пл следующим формулам :


Cредняя скорость изнашивания :


N - число измеряемых деталей (шеек);

Таблица 1.2. Расчет средней скорости изнашивания

Диаметр шейки после наработки d1, мм

Радиальный износ  W, мм

Фактическая скорость изнашивания ξф, мм/т.ч.

Средняя скорость изнашивания ξср, мм/т.ч.

144,805

0,0900

0,0060

0,0046

144,815

0,0850

0,0057


144,814

0,0855

0,0057


144,825

0,0800

0,0053


144,826

0,0795

0,0053


144,827

0,0790

0,0053


144,824

0,0805

0,0054


144,823

0,0810

0,0054


144,835

0,0750

0,0050


144,835

0,0750

0,0050


144,836

0,0745

0,0050


144,837

0,0740

0,0049


144,834

0,0755

0,0050


144,834

0,0755

0,0050


144,835

0,0750

0,0050


144,837

0,0740

0,0049


144,836

0,0745

0,0050


144,845

0,0700

0,0047


144,845

0,0700

0,0047


144,845

0,0700

0,0047


144,846

0,0695

0,0046


144,846

0,0695

0,0046


144,846

0,0695

0,0046


144,847

0,0690

0,0046


144,847

0,0690

0,0046


144,844

0,0705

0,0047


144,844

0,0705

0,0047


144,855

0,0650

0,0043


144,855

0,0650

0,0043


144,856

0,0645

0,0043


144,854

0,0655

0,0044


144,856

0,0645

0,0043


144,854

0,0655

0,0044


144,855

0,0650

0,0043


144,853

0,0660

0,0044


144,857

0,0640

0,0043


144,865

0,0600

0,0040


144,865

0,0600

0,0040


144,866

0,0595

0,0040


144,867

0,0590

0,0039


144,864

0,0605

0,0040


144,875

0,0550

0,0037


144,876

0,0545

0,0036


144,885

0,0500

0,0033


144,887

0,0490

0,0033



Для определения средне квадратичного отклонения  производят статистическую обработку скоростей изнашивания N деталей в следующем порядке (табл. 1.3).

Таблица 1.3. Результаты статической обработки скоростей изнашивания шеек коленчатого вала

№ интервала

ξmin=0,0033мм/тыс.ч

ξmax= 0,0060 мм/тыс.ч

Δξ=0,0046 мм/тыс.ч


Скорость изнашивания, мм/тыс.ч

Количество значений скоростей изнашивания nξi

Вероятность появления значений скоростей изнашиввания в каждом интервале Pi


наименьшая ξ'min*10-4

наибольшая ξ'max*10-4

средняя ξ'ср*10-4



1

33,0

35,6

34,3

2

0,044

2

35,7

38,3

37,0

2

0,044

3

38,4

41,0

39,7

5

0,111

4

41,1

43,7

42,4

6

0,133

5

43,8

46,4

45,1

8

0,178

6

46,5

49,1

47,8

7

0,156

7

49,2

51,7

50,5

7

0,156

8

51,8

54,4

53,1

5

0,111

9

54,5

57,1

55,8

2

0,044

10

57,2

60

58,6

1

0,022


По массиву полученных расчетом скоростей изнашивания выбирают наименьшее  и наибольшее  их значение;

Определяют полигон рассеяния значений скоростей изнашивания


Разбивают полигон рассеяния скоростей изнашивания на десять равных интервалов ;

Вычисляют средние значения скоростей изнашивания в каждом интервале  и количество значений скоростей , попадающих в каждый интервал;

Для каждого интервала скоростей изнашивания рассчитывают вероятность рi появления значений скоростей изнашивания данного интервала в общей совокупности N по формуле:


По данным таблицы 1.3.строим гистограмму распределения скоростей изнашивания.

Рисунок 1.1

Расчет основных параметров распределения производится по следующим формулам:

Математическое ожидание:

Среднее квадратическое:


Все вычисления удобно производить в табличной форме (табл.1.4).

Таблица 1.4. Расчет математического ожидания и среднего квадратического отклонения.10-6

№ интервала

1

1,28

2

2,560

0,830

0,6889

1,3778

2

1,39

2

2,780

1,050

1,1025

2,205

3

1,50

5

7,500

5,770

33,2929

166,4645

4

1,61

9

14,490

12,760

162,8176

1465,358

5

1,72

10

17,200

15,470

239,3209

2393,209

6

1,83

7

12,810

11,080

122,7664

859,3648

7

1,94

4

7,760

6,030

36,3609

145,4436

8

2,05

3

6,150

4,420

19,5364

58,6092

9

2,16

2

4,320

2,590

13,4162

10

2,27

1

2,270

0,540

0,2916

0,2916


Параметр распределения скоростей изнашивания вычисляется по формуле:


Нормативная (предельная) скорость изнашивания:

где - минимальная скорость изнашивания в партии контролируемых деталей, мм/тыс.ч.;

=3,2 - коэффициент 80 %-го ресурса, определяемый в зависимости от m, принимаем согласно указаниям.[1].

Диаметр шейки коленчатого вала, подлежащей восстановлению до номинального размера:


2. Обнаружение усталостных повреждений коленчатых валов магнитопорошковым методом

Усталостный износ возникает при работе деталей в условиях переменных напряжений. Если значения действующих напряжений в локальном объеме металла превышают определенный уровень, называемый пределом усталости или пределом выносливости, то в металле накапливаются повреждения, возникают трещины, развитие которых в конечном итоге приводит к разрушению детали.

Усталостный износ на стадии микротрещин и начального развития микротрещин может быть обнаружен с использованием физических неразрушающих методов контроля: магнитопорошкового, капиллярных, вихретокового и ультразвукового. Наибольшее распространение для контроля деталей дизелей из ферромагнитных материалов имеет магнитопорошковый метод.

Магнитопорошковый метод контроля предназначен для обнаружения дефектов типа трещин в деталях из ферромагнитных металлов.

Магнитопорошковым методом выявляются в основном поверхностные дефекты, но в отдельных случаях могут быть обнаружены и подповерхностные, залегающие на глубине не более 2 мм от контролируемой поверхности.

Магнитопорошковый контроль заключается в создании магнитного рассеивания над дефектом и выявления этого поля при помощи магнитного порошка, напряженность поля рассеивания над дефектом, а, следовательно, и его выявляемость, зависит в основном от трех факторов:

-           ориентации плоскости дефекта к направлению магнитного потока;

-           глубины залегания дефекта;

-           напряженности намагничивающего поля.

Наилучшая выявляемость дефекта будет в том случае, когда его плоскость расположена перпендикулярно направлению магнитного потока.

Для направления магнитного потока перпендикулярно плоскостям предполагаемых дефектов, применяют продольный, циркулярный и комбинированный способы намагничивания.

Выбор способа намагничивания детали определяется ориентацией предполагаемых дефектов. При неопределенном расположении дефекта контроль производится дважды по двум взаимно перпендикулярным направлениям или при использовании комбинированного намагничивания. В курсовом проекте был использован комбинированный способ намагничивания, поскольку нам не известны расположения предполагаемых дефектов.

Различают два вида контроля:

·        контроль в приложенном поле, при котором нанесение магнитного порошка производится в присутствии намагничивающего поля. Этот вид контроля более чувствителен при выявлении подповерхностных дефектов и обязателен при неизвестных магнитных характеристиках материала деталей;

·        контроль по остаточной намагниченности, при котором нанесение магнитного порошка производится после прекращения действия приложенного поля. Такой вид контроля возможен только в том случае, если металл детали обладает значительной коэрцитивной силой и рекомендуется для выявления поверхностных дефектов.

После проведения магнитопорошкового контроля детали нужно размагничивать. Детали, подвергаемые после магнитного контроля нагреву выше 600-700 °С, размагничиванию не подвергаются.

Контроль деталей магнитопорошковым методом состоит из четырех основных операций:

)        намагничивание;

)        нанесение на поверхность детали магнитной суспензии;

)        осмотр поверхности детали;

)        размагничивание.

Таблица 2.1. Исходные данные

Марка дизеля

Наименование шейки

Расчетный диаметр

Длина шейки,lд, м

Расположение дефекта на шейке

Режим намагничивания

НВД-36

шатунная

144,555

0.122

Сетка трещин

комбинированный


Поскольку расположение дефекта на шейке вала имеет продольную и поперечную направленность, был выбран комбинированный режим намагничивания.

Магнитные характеристики материала детали неизвестны, поэтому выбираем контроль шейки вала в приложенном поле.

Рисунок 2.1

Комбинированное намагничивание детали

В зависимости от размеров выявляемых поверхностных дефектов установлены 3 уровня чувствительности (таблица 2.2).

Таблица 2.2. Уровни чувствительности при магнитопорошковом контроле

Условный уровень чувствительности

Размеры выявляемых дефектов, мкм


Раскрытие

Глубина

А

2,5

25

В

10

100

С

25

250


При неизвестных магнитных характеристиках металла контролируемой детали напряженность намагничивающего поля может быть определена по таблице 2.3.

Таблица 2.3 Напряженность магнитного поля при магнитопорошковом контроле

Способ контроля

Напряженность поля для уровня чувствительности, А/м


А

В

С

Приложенное поле

6000-7000

3500-4500

2500-5500

После остаточной намагниченности

12000-15000

8000-10000

6000-7000


Расчет значения тока при циркуляционном способе намагничивания производится по формуле:


где =3,14 - постоянное число;

Н - напряженность поля, А/м. Принимаем равным из табл. 2.3 H=6500 А/м;

D - диаметр детали, м.

Значение тока продольного (полюсного) намагничивания рассчитывается с учетом конструктивных параметров магнитопровода конкретного дефектоскопа по следующей формуле:


где =1,25.10-6- магнитная постоянная;

=200 - относительная магнитная проницательность материала детали и магнитопровода;

W=6000 - число витков катушки электромагнита ;

Sм=0,02 м2 - площадь сечения магнитопровода;

=4,5 - длина магнитопровода,м;

=0,122 -длина шейки коленчатого вала ,м ;

 - площадь сечения коленчатого вала, м2 ;



. Восстановление работоспособности коленчатых валов среднеоборотных дизелей нанесением покрытий

Ремонт коленчатых валов с шейками, износ которых достиг предельного значения, осуществляется наращиванием металла с последующей обработкой до номинальных размеров или только механической обработкой по системе ремонтных размеров.

Нанесение металла на изношенные поверхности шеек может производиться хромированием или плазменным напылением.

На выбор процесса наращивания покрытия влияют толщина и физико-механические свойства (твердость, прочность сцепления материала восстановленного слоя с основой, внутренние напряжения и т.д.).

Толщину S слоя металла, наносимого на шейки коленчатого вала, можно рассчитать по следующему выражению:


где Zу=0,15- толщина слоя металла, удаляемого с восстанавливаемой поверхности для обеспечения ее правильной геометрической формы, мм;

Z=0,2- припуск на механическую обработку после нанесения покрытия, мм.

Численные значения Zш и Z условно можно принять по табл.4.1.[1].

W- радиальный износ шейки на сторону для расчетного диаметра dpaсч мм:


Так как S>0,5 мм для восстановления изношенных шеек вала в качестве основного метода следует принять плазменное напыление.

Восстановление коленчатых валов плазменным напылением

Плазменное напыление является одним из наиболее перспективных методов восстановления изношенных деталей. Существо процесса заключается в плавлении и переносе частиц расплавленного металла на поверхность детали.

Восстановление деталей плазменным напылением осуществляется промышленными серийно выпускаемыми установками отечественного производства УПУ и УМП, применяются также установки зарубежного производства.

Универсальная плазменная установка УПУ - ЗД предназначена для нанесения покрытий на поверхности деталей методом плазменного напыления порошковых материалов, а также в виде проволоки. Схема установки для плазменного напыления представлена на листе 1 формата А1.

Технологический процесс восстановления деталей плазменным напылением включает следующие операции: подготовка исходного материала и поверхности детали, напыление и механическая обработка напыленных поверхностей.

Исходные данные для выбора параметров восстановления шеек вала плазменным напылением

Таблица 3.1

Материал напыления     Дистанция напыления Н, мм        Значение сцепления ц

в зависимости от пористости

сц=f ()Отношение силы тока к расходу газа I/Q 102 ,Ас/чЗначение сцепления в зависимости от толщины покрытия Среднее значение сцепления покрытия с основным металлом, МПа




 

Проволока

120

4,5

3,2

43

38,1


Определение пористости покрытия:

По графику рис.4.1 [1] для заданного значения дистанции напыления определяем пористость покрытия:

При Н=120 мм - =4,5 %

Определение прочности сцепления покрытия с металлом:

Прочность сцепления определяется по графикам рис. 4.11, 4.12, 4.13 [1] в зависимости от пористости, отношения I/Q и расчетной толщины покрытия.

При =4,5 % сц1=35 МПа

При I/Q .102 =3,2 Ас/ч - сц2=36,5 МПа

При S=0,565 мм - сц3=43 МПа


Технологическое время плазменного напыления:


где dрасч=144,555 мм - расчетный диаметр восстанавливаемой детали, мм (табл.1.1);

l=122 мм - длина восстанавливаемой шейки, мм (табл.2.1);

=7.103 кг/м3 - плотность материала нанесенного покрытия;

G=3,5 кг/ч - производительность установки плазменного напыления;

=0,5 - коэффициент использования материала при напылении.

Процесс восстановления коленчатого вала завершается контролем на магнитопорошковом дефектоскопе с целью выявления шлифовочных трещин. Технологическая схема ремонта коленчатого вала плазменным напылением представлена в табл. 3.2.

Таблица 3.2. Технологическая схема восстановления изношенных шеек коленчатых валов методом плазменного напыления

Наименование операции

Оборудование

Материалы

Режимы

005

Очистка и мойка детали

Моечная ванна

Моечный препарат лобомид

Т=343…353 К

010

Размерная дефектация

Микрометр



015

Контроль МПД

Магнитопорошковый дефектоскоп ДМ-76

Магнитная суспензия

IП=4 А IЦ=2951 А

020

Механическая обработка (шлифовальная)

Круглошлифовальный станок

Абразивный круг ЭБ40СМ

Vкр=30 м/с

025

Пескоструйная обработка поверхностей шеек

Пескоструйный аппарат

Электрокорунд грануляция 0,6-0,8 мм

РВ=0,4 Мпа t=20-120 c дистанция 40-90 мм

030

Обезжиривание поверхности шеек

Кисть

Органические растворители (ацетон)


035

Изоляция щек кривошипа


Лакоткань


040

Установка вала на токарном станке

Подъёмный кран токарный станок



045

Плазменное напыление

Установка УПМ-3Д Плазмотрон ПМ-25

Проволока  ПХ20Н80

I=440 A U=75 B H=120 мм t=0,125 ч V=4-5 мм/об n=1 c-1

050

Демонтаж вала

Подъемный кран



055

Осмотр и обмер шеек

Микрометр



060

Шлифование черновое

Круглошлифовальный станок

Абразивный круг ЭБ40СМ

Vкр=30 м/с Vд=0,5 м/с Sпр=6 мм/об t=0,02 мм

065

Шлифование чистовое

Круглошлифовальный станок

Абразивный круг ЭБ40СМ

Vкр=30 м/с Vд=0,5 м/с Sпр=3 мм/об t=0,005 мм

070

Дефектация

Микрометр



075

Контроль МПД

Магнитопорошковый дефектоскоп ДМ-76

Магнитная суспензия

Iц = 2951 А,  Iп = 4 А

080

Контроль качества




085

Сдача ОТК





4. Ремонт коленчатого вала механической обработкой

Существо метода ремонта механической обработкой состоит в том, что восстановление работоспособности деталей осуществляется путем дополнительной обработки без нанесения каких-либо покрытий.

Для многих деталей судовых дизелей (блоки цилиндров, фундаментные рамы, поршни, шатуны, коленчатые валы и т.д.) по отдельным изнашивающимся поверхностям установлены ремонтные размеры.

Ремонтные размеры - совокупность установленных размеров с предельными отклонениями, технологическое обеспечение точности которых обуславливает требуемое качество и характер сопряжения отремонтированных деталей.

Количество ремонтных размеров детали определяется следующими факторами:

o   эксплуатационными - значением предельного радиального износа - Wnp;

o   технологическим - припуском на механическую обработку Z;

o   браковочным размером детали.

Таблица 4.1. Расчет ремонтных размеров шеек коленчатых валов

Номинальные размеры шеек вала dн, мм

Срок службы коленчатого вала до кап ремонта Tк, тыс. ч

Нормативная скорость изнашивания шейки вала ξн, мм/1000*ч

Припуск на мех обработку Z, мм

Ремонтный интервал γ, мм

Количество ремонтных размеров, n

Ремонтные размеры изношенной шейки dpi, мм

шатунная 200-0,029

36

5,4

0,15

0.58

3

199,32







198,64







197,96


Значение предельного радиального износа шейки вала:


- нормативная скорость изнашивания шейки вала, мм/1000*ч из табл. 4.1.;

Tк - срок службы коленчатого вала до кап. ремонта, тыс.ч из табл.4.1.

Ремонтный интервал:


 - припуск на механическую обработку из табл.4.1.

Значение любого диаметрального ремонтного размера шейки коленчатого вала:


где  - значение предшествующее i-му ремонтному размеру, мм.

;

;

.

5. Сборка коленчатого вала с подшипниками после ремонта

Сбрка узла шейка вала-подшипник осуществляется по принципу полной взаимозаменяемости.

Для обеспечения полной взаимозаменяемости деталей сборочной единицы необходимо при изготовлении или восстановлении обрабатывать и шейку коленчатого вала и подшипник с определеонными квалитетами точности, определяющими поля допусков деталей.

Если при обработке партии деталей инструментом, настроенным на размер отклонения размера от формируются под влиянием большого количества независимых или слабо зависимых случайных факторов, то кривая их распределения соответствует нормальному закону или кривой Гаусса. Для нормального закона распределения из условий полной взаимозаменяемости допуск принимают равным ±3σ, г.е. 6σ (σ - среднее квадратическое отклонение).

Таблица 5.1. Исходные данные для расчета сборки коленчатого вала с подшипниками

Марка дизеля

Ремонтный диаметр вала dр , мм

Предельные отклонения размера шейки вала, мм

Предельные отклонения погрешности К

Значение монтажного зазора, мм

Предельные отклонения диаметра подшипника, мм



Верхнее es(dр)

Нижнее ei(dр)


Smax

Smin

ES(Dр)

EI(Dр)

НВД-36

Шатунная

0

-0,025

±2,0

+0,12

+0,09

+0,2

+0,1


Определим число шеек коленчатого вала в партии 200 штук, отклонения которых находятся в пределах .

По таблице 6.1 [1] находим, что Ф(2,0)=0,4772, а так как кривая Гаусса симметрична относительно среднего арифметического размера, то 2Ф(2,0)=0,9544. Отсюда следует, что 95,44% шеек имеют заданные пределы отклонений.

Число их будет равно:

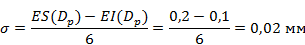
Допуск на обработку шеек:


Откуда

Поскольку кривая симметрична, средний арифметический размер:


Значения отклонений диаметра деталей в пределах  :


Таким образом, у 190 деталей из партии 200 штук размеры будут в пределах  с допуском 0,016 мм.

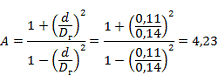
Предельные отклонения диаметра подшипника, обеспечивающие сборку узла по принципу полной взаимозаменяемости:


EI и ei - нижние предельные отклонения подшипника и шейки вала, мм;

ES и es - верхние предельные отклонения подшипника и шейки вала, мм ;

Smax(М) и Smin(М) - максимальное м минимальное значения монтажного зазора, мм.

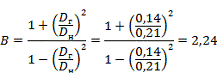
Расчет количества подшипников, удовлетворяющих требованиям сборки по условию полной взаимозаменяемости

Средний арифметический диаметр:


Средне квадратическое отклонение:


Коэффициент распределения:


где  и  - значения отклонений диаметров подшипников, мм:

Значение интеграла:

По таблице6.1[1] находим, что Ф(К1)=0,4938 и Ф(К2)=0,4993

Вычитание дает относительное число деталей в партии с отклонениями от К1 до К2 .

Число подшипников, обеспечивающих требуемые условия сборки с шейками вала:


. Анализ точности сборки кривошипно-шатунного механизма судовых дизелей при ремонте

Сборка КШМ дизелей, как и сборка любых других механизмов, представляет собой процесс, сочетающий в полной мере выполнение чисто технических процедур последовательного соединения деталей в узлы и механизмы в целом, а также решение ряда принципиальных вопросов, связанных с выбором методов и средств оценки точности сборки, разработкой предложений по уменьшению суммарных погрешностей сборки и т.п.

Из всего многообразия погрешностей, влияющих на вид и характер математической модели технологической операции узловой сборки и центровки поршня КШМ в цилиндре, примем в рассмотрение следующие:

-       отклонение от взаимной перпендикулярности осей цилиндровой втулки, вставленной в блок цилиндров двигателя, и коленчатого вала, уложенного во вкладыши коренных подшипников фундаментной рамы, ;


-       отклонение от идеального взаимного расположения осей коренной и шатунной шеек коленчатого вала.

 

где  и  - не параллельность и перекрещивание осей коренных и шатунных шеек соответственно.

-       отклонение от идеального взаимного расположения осей подшипников шатунов


где  и  - не параллельность и перекрещивание осей подшипников поршневой и кривошипной головок шатуна соответственно.


С учетом известных геометрических соотношений в кривошипно-шатунных механизмах:


где  - геометрическая характеристика механизма;

r - радиус кривошипа, мм;

L - длина шатуна, мм;

-       отклонение от взаимной перпендикулярности осей отверстия под поршневой палец и тронка поршня, .

Под математической моделью понимается изменение рассматриваемых величии в функции от первичных погрешностей, влияющих качественно на эти изменения.

Применительно к оценке точности сборки КШМ дизелей по перекосам поршня в цилиндре математическая модель представляет собой выражение, описывающее траекторию перемещения образующей тронка поршня проходящей через ось коленчатого вала и поршневого пальца, в зависимости от производственных погрешностей во взаимном расположении базовых поверхностей основных деталей и углов поворота коленчатого вала.

При некотором угле поворота коленчатого вала будем иметь для перекосов поршня в цилиндре:


Таблица 6.1. Исходные данные для анализа точности сборки КШМ

Радиус мотыля r , мм

Длина шатуна L , мм

I1, мм

I2, мм










мм/100мм

135

572

-0,25

-0,030

 0,003

0,012

-0,040

0,048

0,042


По полученным данным строим графические зависимости перекосов поршня в цилиндре, вызванных каждой отдельной погрешностью, и суммарных перекосов в зависимости от угла поворота коленчатого вала.

Минимальное значение перекоса поршня в цилиндре:

Максимальное значение перекоса поршня в цилиндре:

Допускаемое значение перекоса поршня в цилиндре, мм/100мм

Постоянная составляющая перекоса, мм/100мм

Основное условие качественной сборки .

Предельные условие, при котором технологическими приемами можно преобразовать механизм в качественный:


В нашем случае , т.е. компенсация суммарных перекосов поршня в цилиндре путем постановки этих же деталей не позволит полностью добиться положительного результата. Требуемое качество сборки по допустимым перекосам поршня в цилиндре возможно обеспечить дополнительными пригоночными работами.

Разворот поршня на 180°. Осуществим при выполнении следующего неравенства:


Неравенство выполнено, следовательно, механизм можно привести в работоспособное состояние разворотом поршня на 180°.

. Центровка валопровода по изломам и смещениям

Ось валопровода представляет собой прямую линию, соединяющую центр фланца коленчатого вала с центром диска винта.

В процессе эксплуатации судна из-за нормального физического износа антифрикционного слоя подшипников, шеек валов, деформации корпуса нарушается прямолинейность валопровода - возникает расцентровка, характеризуемая появлением смещений изломов осей валов.

Смещением называют такое положение валов, при котором их геометрические оси в пространстве пересекаются.

Излом - это положение валов, при котором их геометрические оси в пространстве пересекаются.

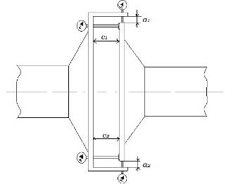
Эксплуатация валопровода с расценгровкой выше допустимых норм не разрешается вследствие появления дополнительных напряжений в валах и подшипниках. На практике наиболее широко используется метод центровки валопровода по изломам и смещениям, измеряемым на фланцах валов.

Для определения численных значений изломов и смещений на фланцах валов устанавливаются стрелы. Определение смещений валов в вертикальной плоскости осуществляется измерением зазоров а1 и в1, а изломы в этой же плоскости характеризуются зазорами с1 и d1. По значениям зазоров а2 и в2 после поворота валов на 90° оценивают смещение валов в горизонтальной плоскости, по зазорам с2 и d2- изломы в этой

Рисунок 7.1. Схема измерения зазоров

Измеренные зазоры заносят в таблицу, производят расчет смещения и излома каждого вала, определяют положение смещения и излома и на этом основании принимают решение об устранении расцентровок за счет шабровки нижней половины вкладыша подшипника или изменения высоты прокладок под корпусами подшипников.

Таблица 7.1. Данные для расчетов по центровке валопровода

Наименьшее расстояние между тремя опорами Lmin, м

Наружный диаметр валов d, м

Положение стрел

Значение зазоров, характеризующих

Расстояние между точками измерений 2R, м

Расстояние от фланца до подшипника, м




смещение, мм

излом, мм


кормового

носового

7,0

0,12

верх

2,5

0,8

0,8

0,30

3,0



низ

0,3

2,6






ПБ

1,4

3,4






ЛБ

2,9

1,4





Таблица 7.2. Результаты измерения зазоров на фланцах валов

№ фланцевого соединения

Положение стрел

Значение зазоров, характеризующих

Смещение, мм  δ=(ai-bi)/2

Излом, мм/м φ=(ci-di)/2*R

Положение



смещение, мм

излом, мм



Смещения

Раскрытия фланцев

 

верх

a1=2,5

c1=0,8

1,1

-2,25

низ

низ

 

низ

b1=0,3

d1=2,6





 

ПБ

a2=1,4

c2=3,4

-0,75

2,5

вправо

вправо

 

ЛБ

b2=2,9

d2=1,4






Значение перемещений того или иного конца вала рассчитывают в зависимости от его расстояния до опоры.

При центровке линии валопровода по стрелам за базу обычно принимают ось гребного вала, на фланце которого закрепляют охватывающую (Г- образную) стрелу. После устранения расцентровки проверенную пару валов скрепляют болтами. Базой для центровки следующего вала является ось отцентрованного вала, на носовом фланце которого устанавливают охватывающая стрелу.

Смешения проверяемого вала:


Изломы проверяемого вала:


где =0,8 м - расстояние между точками измерения;

Рисунок 7.2. Схема расположения валов

Сведения о положении проверяемого вала в вертикальном положении используем для построения расчетной схемы (см. графический материал).

Для упрощения расчетов разделим процесс центровки проверяемого вала на два этапа.

Сначала устраним излом проверяемого вала относительно базового.

Причем за центр разворота вала примем центр фланца проверяемого вала. Значения величины перемещений подшипников вала: кормового х и носового у можно определить из подобия треугольников 1 и 2, 1 и 3 соответственно.

Из треугольника 1:

 мм/м,

где U - абсолютное значение излома, мм;

 - излом проверяемого вала, мм/м;

 


Таким образом, для устранения излома необходимо кормовой и носовой подшипники опустить на величины x и y соответственно. Теперь проверяемый вал занимает положение, параллельное базовому, но его ось смещена вниз на величину =1,1 мм, поэтому для окончательной центровки поднимем кормовой подшипник на величину:

 


Центровкой добиваются такого положения валов, при котором выполняются следующие условия :

 мм

 мм/м

Для расчета допускаемых значений расцентровок валопровода (часть или все промежуточные валы установлены на одном подшипнике) используется зависимость:


среднее расстояние между опорами трех смежных пролетов, общая длина которых наименьшая для данного валопровода, м;


d и d0 - наружный и внутренний диаметр промежуточных валов, d=0,12 м.

Полагая в уравнении  =0 , определяем max , при =0 рассчитывается max .

 =0:

 =0:

По полученным значениям max и max строим номограмму допускаемых значений расцентровок валопровода (на листе формата А1).

8. Расчет гидропрессового соединения валов валопровода

Одним из способов соединения валов между собой при использовании для валопровода подшипников качения является муфтовое гидропрессовое соединение, конструкция которого показана на листе З формата А1.

Гидронрессовый бесшпоночный способ соединения валов 1 и 6 осуществляется после нагнетания масла через маслоподводящее отверстие 7 на сопрягаемые поверхности муфты 4 и тонкостенной гильзы 3. Перемещение муфты вдоль вала и обжим гильзы производится осевым домкратом 5. Положение гильзы 3 на валу фиксируется упором 2. Образующаяся при подаче масла пленка толщиной около 0,1 мм разъединяет соприкасающиеся поверхности и в значительной степени уменьшает осевое усилие, необходимое для сборки узла.

Передача крутящего момента при гидропрессовом муфтовом соединении валов осуществляется только за счет сил трения, возникающих при упругой деформации материалов валов, гильзы и муфты присоздании натяга.

Исходной величиной для расчета гидропрессовой посадки является момент, передаваемый соединением:


где Ne - передаваемая мощность, кВт;

n - частота вращения, c-1 .

Контактное давление на сопрягаемых конических поверхностях муфты и гильзы, обеспечивающее обжатие последней до устранения диаметрального зазора:


где  - зазор между валом и промежуточной гильзой, м;

E=2,1.105 МПа - модуль упругости материала промежуточной гильзы для стали;

Dг- средний наружный диаметр промежуточной гильзы, м;

d - диаметр шейки вала, м.

Значение диаметрального натяга между муфтой и гильзой, соответствующее контактному давлению :


где А и В - безразмерные коэффициенты, зависящие от диаметра вала, гильзы и муфты:


где DН - наружный диаметр муфты.

Контактное давление на сопрягаемых поверхностях вала и гильзы, обеспечивающего передачу крутящего момента:

гдеW=0,2d3 - момент сопротивления вала кручению, м3;

Lф- фактическая длина контакта сопрягаемых поверхностей, м;

=- коэффициент трения при круговом смещении (сталь по стали без смазки);

К=3 - коэффициент запаса несущей способности соединения по трению.

Диаметральный натяг между гильзой и валом, соответствующий контактному давлению q2:


Контактное давление на сопрягаемых конических поверхностях муфты и гильзы в рабочем состоянии:


Диаметральный натяг между гильзой и втулкой в рабочем состоянии:


Осевое перемещение муфты по конусу гильзы:


где К - конусность соединения.

Усилие установки муфты в начальное положение(до плотного соединения поверхностей):


где q0=1,5 МПа - контактное давление на сопрягаемых поверхностях;

 

f0=0,07 - коэффициент трения при осевом смещении (сталь по стали).

Приведенные напряжения на внутренней поверхности муфты:


из условия прочности ;

где =350 МПа - предел текучести материала муфты;

деталь судовой дизель износ

Напряжения на внутренней поверхности гильзы удовлетворяют условию прочности.

Библиографический список

1) Методические указания по выполнению курсового проекта - СПб.: СПБГУВК, 2005. - 85с.

) Журавлев В.П. Технология ремонта деталей судовых дизелей: учебное пособие. - СПБ: СПГУВК, 2010. - 137 с.

) Сумеркин Ю.В., Журавлев В.П., Кузьмин А.А. Технология судоремонта: учебник. - СПБ.: СПБГУВК, 2003. - 274 с.