Материал: Технология производства портвейна

Внимание! Если размещение файла нарушает Ваши авторские права, то обязательно сообщите нам

Спиртование

Спиртование проводят с добавления 77% винного спирта. При добавлении винного спирта, температура сусла повышается на 4-5ºC. Во избежании этого повышения температуры, виноградный спирт добавляется охлажденным. Таким образом, прерывание ферментации происходит более эффективно и сохраняются первичные (фруктовые) ароматы.

Снятие с дрожжей

После добавления спирта-ректификата необходимо снять сусло с дрожжей. Процесс осуществляется с помощью насоса, после чего дрожжевая гуща направляется на фильтрование, где образуется плотный осадок, который отправляют на утилизацию.

После снятия сусла с дрожжей получаем осветленный виноматериал, который затем отправляется на хранение.

Хранение до отгрузки

Хранение готового виноматериала осуществляется в горизонтальных металлических резервуарах объемом 5000 дал.

Отгрузка

Отгрузка виноматериала из хранилища осуществляется с помощью мерников. В данном курсовом проекте используем: ВИЦ-1000-; ВИЦ-250; ВМА.

.4 Технохимический и микробиологический контроль производства

Технохимический и микробиологический контроль (ТХМК) виноделия, всесторонний контроль за всеми технологическими процессами производства, начиная с поступления сырья и кончая выпуском готовой продукции. Осуществляется лабораторией технохимического и микробиологического контроля. Дает возможность вести технологический процесс в оптимальном варианте, следить за качеством продукции, вовремя устранять недостатки, обеспечивать выпуск стандартной продукции высокого качества. ТХМК подвергаются: сырье, полуфабрикаты, основные и вспомогательные материалы и готовая продукция; внешнее оформление продукции, упаковка, маркировка. Лаборатория осуществляет также наблюдение за направленностью микробиологических процессов, контроль за соблюдением установленных режимов, кондиций, рецептур, за санитарным состоянием производственных помещений, тары, инвентаря. При осуществлении ТХМК пользуются методиками, описанными в ГОСТах и технологических инструкциях, или апробированными экспресс-методами и тестами.

Для контроля качества винограда и сусла рекомендуется определять следующие показатели: количество гнилых и поврежденных ягод, содержание сахаров, фенольных веществ, азотистых веществ, технологический запас красящих веществ, титруемую кислотность, величину рН. В сусле определяют также количество SO2 (общего и свободного). Контроль качества молодых виноматериалов, кроме определения основных показателей (спирт, сахар, титруемая и летучая кислотность, SO2), включает также проверку на содержание металлов, особенно железа, меди; винной, яблочной и молочной кислот; экстракта (общего и приведенного); альдегидов.

Микробиологический контроль позволяет выявить очаги инфекции и вовремя ликвидировать их, дает возможность обнаружить начало заболевания вина до появления в нем химически и дегустационно уловимых изменений. Включает отбор проб, микроскопирование, определение систематических групп микрофлоры по микроскопической картине (ориентировочно), количества микроорганизмов, физиологического состояния клеток (ориентировочно по микроскопической картине и методом посева на питательные среды), дифференциацию живых и мертвых клеток, почкующихся клеток. Для микробиологические характеристики исследуемого объекта очень важно правильно отобрать среднюю пробу и сразу же сделать анализ, т. к. количественный и качественный состав микрофлоры быстро меняется. Объектами микробиологического контроля являются: виноград, сусло после отстаивания (микроскопирование, контроль режима сульфитации); разводка чистой культуры дрожжей (микроскопирование и подсчет количества клеток); процесс брожения (микроскопирование, измерение температуры и изменение плотности среды). Виноматериал, направляемый на хранение и выдержку, отгружаемый с завода первичного виноделия, и вина, подготовленные к розливу, микроскопируют. Для оценки санитарного состояния оборудования и емкостей проводят микроскопирование мазков и смывных вод. Результаты проверки заносятся в соответствующие журналы ТХМК: контроль за созреванием винограда, контроль за приемкой винограда, контроль за переработкой винограда, контроль за брожением, контроль спиртования сусла; химический контроль, контроль за разливостойкостью; контроль за обработкой ЖКС и другими оклеивающими веществами; контроль за технологической обработкой вин; контроль за розливом и полнотой налива; контроль за температурой и влажностью воздуха. Ответственность за выполнение функций контроля возлагается на зав. лабораторией, который имеет право запретить выпуск продукции, не соответствующей требованиям ГОСТа или установленным органолептическим признакам.

2. Расчетная часть

.1 Расчет основного сырья

. Контрольная фильтрация

.

у=1002,3-1000=2,3 дал.

.Отдых

у=1002,6-1002,3=0,3 дал.

. Холодная фильтрация

у=1004,81-1002,6=2,21 дал

. Выдержка на холоде с обработкой

у= 1009,05-1004,81=4,24

. Обработка теплом

у= 1013,31-1009,05=4,26 дал

. Снятие с клея через фильтр

у= 1017,58-1013,31=4,27 дал

. Прессование клеевых осадков

Жидкие клеевые осадки составляет: 0,2*3=0,6 %

. Выдержка на клею

у= 1017,88-1017,58=0,30 дал

. Купаж с оклейкой

.2 Выбор, обоснование и расчет технологического оборудования

. Автовесы для цехов первичного виноделия

Автомобильные весы, располагаемые при въезде на территорию завода, служат для учета количества сырья, поступающего на завод.

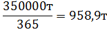
Данные для расчета: производительность цеха - 350000 т в год.

За сутки:

Продолжительность приемки винограда рассчитывается в соответствии с длительностью светового периода суток, т. е. 10 часов. Следовательно, за 1 час на переработку поступает:

Грузоподъемность автотранспорта 5 т, коэффициент использования грузоподъемности 0,75, отсюда грузоподъемность по винограду:

Неравномерность поступления винограда в течение рабочего дня учитывается с поправочным коэффициентом 1,4, следовательно, за 1 час будет принято:

Время взвешивания одной машины принимается 2 минуты, значит за 1 час можно осуществить 30 взвешиваний, а учитывая, что каждая машина взвешивается 2 раза (брутто и нетто), число взвешиваний в час составит 72.

Необходимое количество весов:

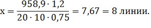
. Линии непрерывной переработки винограда

Количество линий непрерывной переработки винограда ведется на основании расчета ведущей машины (в нашем случае это дробилки).

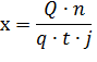
Расчет выполняется с использованием данных материального баланса и суточной производительности по формуле:


где Q - количество продукта, поступающего на данную технологическую операцию, т;

j -коэффициент неравномерности использования оборудования по времени (0,75 - 0,9);

t - время работы оборудования;

n - коэффициент неравномерности поступления сырья (1,2 - 1,4).

Необходимо рассчитать, сколько линий непрерывной переработки винограда потребуется при поступлении винограда в объеме 3900 т в сезон 20 дней.

В сутки на переработку поступает 958,9 т. Выбираем дробилку ЦДГ-20 как ведущую машину, тогда находим:

В состав линии непрерывной переработки винограда входит следующее оборудование:

.        бункер-питатель ВБШ-20 - 20 т/ч;

.        ударно центробежная дробилка-гребнеотделительЦДГ-20 - 20 т/ч;

.        мезгонасос ПМН-28 - 32 м3/ч;

.        насос для перекачки сусла ВЦН-20 - 20 м3/ч;

.        ВССШ-20

.        ДПО-20А

Насосы применяются для перемещения сусла, виноматериалов, мезги, осадков внутри цеха. Расчет насосов ведется с учетом тех насосов, которыми укомплектована поточная линия. Насосы, входящие в комплект поточной линии, используются на следующих технологических операциях:

·        мезгонасосы - для перекачивания мезги на стекание (насос марки ПМН-28);

·        насосы для сусла - для перекачивания сусла на осветление. Эти же насосы можно использовать после окончания сезона виноделия, т. е. для первой переливки, подачи виноматериалов на хранение, отгрузке виноматериалов (ВЦН-20).

Так как количество поточных линий переработки винограда по расчетам равно 2, следовательно, принимаем 2 мезгонасоса ПМН-28 и 3 насоса для перекачки сусла ВЦН-20 (1 - в запас).

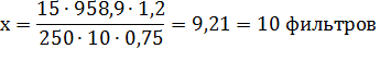
. Фильтры для фильтрации осадков

Для фильтрации осадков фильтры рассчитываются по сусловой гуще на основании их суточного количества.

Производительность вакуумного фильтра Taylo Lux-15 - 250 дал/ч.

Фильтрация сусловых осадков в объеме 15 дал, с учетом продолжительности рабочего дня 8 часов.

Расчет установок БРК-3М:

Принимаем 16 установки БРК-3М

2.3 Расчет количества емкостей

В цехах для переработки винограда могут применяться емкости для следующих технологических операций: для настоя мезги, осветления сусла, подбраживания и спиртования сусла, дображивания и хранения виноматериалов.

.        Отстойные и настойные емкости

Число отстойных и настойных емкостей определяется по формуле:


где Q -суточная производительность, дал;

,2 - коэффициент оборачиваемости емкости;

E - объем емкости, дал;

K -коэффициент заполнения - 0,9.

Необходимо рассчитать количество отстойных емкостей, если в цех поступает 195 тонн винограда, выход сусла из 1 тонны 75 дал.

.        Емкости для подбраживания, спиртования и последующего хранения

Расчет потребного количества емкостей для подбраживания, спиртования и последующего хранения ведется согласно материальному балансу на каждый виноматериал отдельно. Причем для этой операции могут использоваться уже имеющиеся емкости с коэффициентом заполнения 1, такие, закрытые отстойные емкости и др.

При таких условиях расчет ведется по формуле:


Q - количество виноматериала, поступающего на хранение, дал;

n1, n2- количество имеющихся резервуаров;

E1, E2 - вместимость имеющихся резервуаров;

E - вместимость одной емкости для хранения, дал;

K - коэффициент заполнения емкости - 1.

Вместимость одной цистерны 5000 дал.

Принимаем комплект мерников:

ВИЦ-1000, ВИЦ-250, ВМА-75.

Список использованной литературы

а) Основная литература:

.Технологическое оборудование предприятий бродильной промышленности : учеб.-метод. пособие / Е. А. Сосюра [и др.] ; СтГАУ. - Ставрополь : АГРУС, 2009. - 104 с.

. Привалова, Е. А. Технологические расчеты в бродильных производствах : учебное пособие / Е. А. Привалова. - Уфа : УГАЭС, 2009. - 79 с.

.ЭБС Университетская библиотека ONLINE: Экспертиза свежих плодов и овощей. Качество и безопасность: учебной пособие. - Новосибирск : Сибирское университетское издательство, 2009. - 312 с.

б) Дополнительная литература

.Зайчик, Ц.Р. Технологическое оборудование винодельческих предприятий/ Ц.Р.Зайчик.- М.: Де Ли принт, 2004.

. Косюра, В.Т. Основы виноделия/ В.Т. Косюра, Л.В. Донченко, В.Д. Надыкта. - М.: Де Ли принт, 2004.

. Соболев Э.М. Технология натуральных и специальных вин.- Майкоп: ГУРИПП «Адыгея», 2004.- 400с.: ил.

. Фараджева Е.Д. Общая технология бродильных производств/ Е.Д. Фараджева, В.А. Федоров. - М.: Колос, 2002.