Материал: Технологический процесс обработки вала-шестерни

Внимание! Если размещение файла нарушает Ваши авторские права, то обязательно сообщите нам

lвр = tctg 45°+ (0,5…2) = 4,25 мм.

lпер = 1…3, принимаем =1мм.

Тус - время. Затраченное на установку и снятие детали, мин;

Туп - время на приемы управления станком, мин;

Тиз - время на измерение деталей, мин;

Тус = 1,32 мин;

Туп =0,20 мин;

Тиз = 0,13 мин.

Тв = (1,32+0,20+0,13) 1,85 = 3,05 мин.

Оперативное время определяем по формуле:


Время на обслуживание рабочего места и отдых

Норма штучного времени

.

Норма штучно-калькуляционного времени на операцию



3. КОНСТРУКТОРСКИЙ РАЗДЕЛ

.1 Описание и расчет режущего инструмента

При выборе режущего инструмента руководствуемся следующими правилами:

·        Отдаем предпочтение стандартным и нормализованным инструментам;

·        Инструментальный материал должен выполнить требования максимальной стойкости инструмента с одной стороны, а с другой - его минимальный стоимости;

·        Выбираем инструмент, оснащенный пластинами из твердого сплава.

На операции 005 центровально-подрезной используются пластина Т15К6 ГОСТ 19043-82 и сверла центровочные тип А ГОСТ 14952-75.

На операции 010 и 015 токарной применяются резцы проходные упорные с пластинами Т5К10 для черного точения и Т15К6 для чистого ГОСТ 18881-73.

На операции 020 токарной применяются резец канавочный для точения канавки и резьбовый резец для нарезки резьбы.

На операции 025 фрезерной используется фреза концевая из Р6М5 ГОСТ 17025-71.

На операции 030 зубофрезерной используется червячная фреза тип 2 из быстрорежущей стали Р6М5 ГОСТ 9324-80.

На операции 035 шлифовальная головка EW 10х25 ГОСТ 2447-82 34А20СТ16К5.

На операции 040 применяется шлифовальный круг ЗП 300х20х127, на 045 ПВК 300х20х127. 25А25С112К7 по ГОСТ 2424-83.

На операции 050 зубошлифовальной применяется шлифовальный круг по ГОСТ 2424-83 2П 300х20х127 25А25С112К7.

В качестве инструмента для точения канавки под выход резьбы используем фасонный канавочный резец с пластиной из твердого сплава.

Материал пластины Т15К6 ГОСТ 2209-82;

Материал державки резца Сталь 45 ГОСТ 1050-88

Геометрические параметры резца:

Передний угол γ=12˚;

Задний угол α =10˚;

Ширина пластины b=10 мм;

Описание канавочного резца.

Канавочный (прорезной) резец - это специальный инструмент, форма режущих кромок которого определяется формой профиля обрабатываемой канавки.

Канавочные (прорезные) резцы применяются для обработки поверхностей вращения цилиндрических поверхностей на токарных и револьверных станках, автоматах и полуавтоматах. В процессе обработки заготовка вращается вокруг своей оси, а резец совершает поступательное движение подачи.Резцы с таким направлением подачи называют радиальными.

Расчет канавочного резца

Т.к. режимы резания уже рассчитаны в пункте 2.4.2 данной работы перейдем к расчету размеров державки канавочного резца.

Определяем изгибающий момент, действующий на резец по формуле:


где:

PZ - вертикальная составляющая силы резания.

Р = 1,5·h - максимальный вылет резца.

Выбираем марку твердого сплава режущей пластины, величины подачи и скорость резания:

Марка твердого сплава: Т15К6

Подача: S = 0,2 мм/об- так как врезная подача при точении

Определим скорость резания по формуле:


где: Vтабл - табличное значение скорости резания, = 80 м/мин;

К1 - коэффициент, учитывающий обрабатывающий материал, = 0,75;

К2 - коэффициент, учитывающий поверхность обрабатываемой заготовки, =1;

К3 - коэффициент, учитывающий твердость пластины, =0,8;

К4 - коэффициент, учитывающий главный угол в плане, = 1.

 м/мин

Определяем силу резания по формуле:


где:  - табличное значение силы резания, =8600Н;

К1 - коэффициент, учитывающий зависимость от твердости обрабатываемого материала, = 0,85;

К2 - коэффициент, зависящий от скорости резания и переднего угла, = 1,0

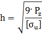
Определим высоты державки по формуле:



где: - допускаемое значение изгибающих напряжений в державке резца из Стали 45, =110 МПа.

Принимаем державку с размерами h=25, b=16 по ГОСТ 18884 - 85, ближайшую к расчётной.

Р = 1,5·25 = 37,5 мм.

В соответствии с ГОСТ выбираем основные размеры державки:


h=25 мм; b=16 мм; L=140 мм.

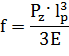
Проверяем допускаемую стрелу прогиба державки резца:


где: E- модуль упругости обрабатываемого материала, =1,9…2,15 105 МПа

f - допускаемая величина прогиба, = 0,05мм.

Следовательно, прогиб резца не будет влиять на процесс резания.

3.2 Описание и расчет мерительного инструмента

При выборе средств контроля размеров. Формы и расположения обработанных поверхностей будем руководствоваться следующими принципами:

·        Точность измерительных средств должна составлять ¼ допуска на измеряемый размер.

·        Выбирать и применять в основном контрольные средства общего назначения.

Для контроля наружных диаметров назначаем калибры-скобы, для внутренних диаметров назначаем калибры-пробки и калибры для измерения расположения поверхностей.

Описание калибра-скобы.

Различают калибры однопредельные (с проходной или с непроходной стороной) и двупредельные (сочетающие проходную и непроходную стороны). Среди двупредельных калибров различают односторонние (проходная и непроходная стороны последовательно расположены друг за другом на одном конце калибра) и двусторонние (проходная и непроходная стороны расположены на противоположных сторонах калибра).

Калибры - скобы бывают нерегулируемые и регулируемые, последние позволяют в известных пределах перенастраивать свой размер для контроля несколько отличных предельных размеров или же для компенсации износа измерительных поверхностей скобы.

К калибрам предъявляют ряд метрологических, конструктивных, технологических и эксплуатационных требований. Метрологические требования сводятся к соблюдению принципа Тейлора, согласно которому калибр ПР должен быть по возможности полным, а НЕ, наоборот, должен иметь точечный контакт с контролируемой деталью. Для калибров - скоб особенно важно сочетание минимального веса с максимальной жесткостью.

Важное метрологическое и эксплуатационное значение имеет усилие введения пробки в деталь или надевания скобы на нее. Чрезмерное усилие вызывает проникновение бракованных деталей в годные, а кроме этого ускоренный износ калибров, используемых при этом как обрабатывающий инструмент. Практическое правило введения калибра под действием его силы тяжести для скоб - при горизонтальной оси контролируемой детали пригодно лишь в первом приближении и только для средних размеров. Для малых размеров сила тяжести калибра недостаточна, для больших - чрезмерна. Поэтому рекомендуется регламентировать это усилие и обучать рабочих и персонал ОТК обеспечивать его с достаточной точностью на ощупь. Погрешность контроля калибрами связана с их тепловыми деформациями. При нагревании скоб руками контролера возникает погрешность, составляющая существенную часть в общей погрешности контроля. При обеспечении надежной изоляции от тепла рук происходит заметное уменьшение погрешности. У стандартных скоб для диаметров, начиная с 10 мм, предусмотрены пластмассовые накладки.

Измерительные поверхности калибров изготавливают из инструментальной стали (хромистой или иной), закаленной до высокой твердости, подвергают хромовому износоустойчивому покрытию; используют и твердосплавные вставки. Оснащение рабочих поверхностей калибров твердым сплавом марки ВК6 или ВК6М повышает их износостойкость в десятки раз. Основная причина снижения износостойкости калибров - истирание измерительных поверхностей в процессе их эксплуатации.

Расчет калибра-скобы.

Калибр-скоба для контроля диаметра шейки вала)

Отклонения калибра отсчитываем от соответствующих предельных размеров изделия.

Определяем предельные размеры нужного нам диаметра:


В качестве исполнительного размера калибра-скобы берется наименьший предельный размер с положительным отклонением, равным допуску на изготовление калибра.

Определяем предельные размеры калибра-скобы по формулам:


Где Z1 - отклонение середины поля допуска на изготовление проходного калибра для вала относительно наибольшего предельного размера вала, =5мкм;

Y1 - допустимый выход размера изношенного проходного калибра для вала, за границу поля допуска изделия. =4 мкм;

 - величина для компенсации погрешности контроля калибрами валов, = 0 мкм;

Н1 - допуск на изготовление калибров для вала, = 6 мкм.

=

Считаем износ по формуле:



ЗАКЛЮЧЕНИЕ

В данном проекте разработан технологический процесс обработки вала-шестерни.

Поставленные задачи были решены в полном объеме, результаты работы представлены в графической части проекта.

Получение заготовок на ГКМ, нормирование режимов резания, минимальные припуски, большой коэффициент использования материала, использование станков с ЧПУ - все это позволяет получить прогрессивный технологический процесс обработки детали.

Парк оборудования подобран образом, что практически не отличается от оснащения металлообрабатывающих цехов любого предприятия, занимающегося выпуском серийной продукции.

Проведенные расчеты режимов резания и норм времени выполнены в полном объеме.

Имеющиеся графические документы (чертежи) могут быть тем самым необходимым минимумом для постановки техпроцесса на производство. В целом же техпроцесс отвечает требованиям серийного производства как по глубине проработки, так и по объему выполненных работ.

СПИСОК ЛИТЕРАТУРЫ

1.      Горбацевич А.Ф. Курсовое проектирование по технологии машиностроения. Мн.; Высшая школа, 1983г.

.        Добрыднев И.С. Курсовое проектирование по предмету технологии машиностроения М.; Машиностроение, 1984г.

.        Нефедов Н.А., Осипов К.А. Сборник задач и примеров по резанию металлов и режущего инструмента -М.; Машиностроение, 1990г.

.        Методические указания для учащихся средних специальных учебных заведений. Курсовое проектирование по предмету «Технология машиностроения», части 1, 2, 3. Орск 2011г.

.        Режимы резания металлов; Справочник; /Под ред. Барановского Ю.В./М.: Машиностроение, 1975г.

.        Справочник технолога машиностроителя. /Под ред. Косиловой Л. Г./т.1 М: машиностроение. 1985г.

.        Справочник технолога машиностроителя. /Под ред. Косиловой Л.Г./т.2 М.: Машиностроение, 1973г.

.        ГОСТ 24853-81 «Калибры гладкие ля размеров до 500мм»