МИНИСТЕРСТВО ОБРАЗОВАНИЯ И НАУКИ РОССИЙСКОЙ ФЕДЕРАЦИИ ФЕДЕРАЛЬНОЕ ГОСУДАРСТВЕННОЕ АВТОНОМНОЕ ОБРАЗОВАТЕЛЬНОЕ УЧРЕЖДЕНИЕ ВЫСШЕГО ОБРАЗОВАНИЯ
«Национальный исследовательский ядерный университет «МИФИ»
Обнинский институт атомной энергетики –
филиал федерального государственного автономного образовательного учреждения высшего
образования «Национальный исследовательский ядерный университет «МИФИ»
Индивидуальное домашнее задание
По дисциплине: «Теория Автоматического управления»
Выполнил: Петровский В.Б. Группа: ИВТ-Б17
Проверил: Нахабов А.В.
г.Обнинск, 2019 г.
Дано:
Система
автоматического управления представляет
собой соединение двух типовых динамических
звеньев с передаточными функциями W1(s)
и W2(s). С помощью ПО Scilab необходимо решить
нижеперечисленные задачи (в скобках
приведены названия функций Scilab,
необходимые для каждого пункта).

![]()
![]()
![]()
![]()
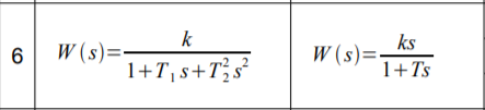
1. Изобразить структурную схему САУ и записать ее передаточную функцию W(s) (poly, syslin).

Задание W1(s)
k1=3 k2=2 T1=2 T2=4 T=3

Задание W2(s)

Задание W(s)

2. Записать дифференциальное уравнение, определяющее функционирование САУ.
+
0.458
+ 0.104+0.146Y(t)
= 0.0625X(t)+0.1875
Построить вместе графики следующих функций для W(s), W1(s) и W2(s) (plot):
3. Построить график переходной функции h(t) (csim).
Переходная функция (характеристика) h(t) - реакция звена на ступенчатое единичное воздействие 1(t)


4. Построить график импульсно-переходной функции w(t) (csim).
ОПР:
импульсная или весовая функция w (t)
реакция звена на дельта-функцию Дирака
(t).
ОПР:
-функция
Дирака или единичная импульсная функция
позволяет записать пространственную
плотность физической величины (масса,
заряд, интенсивность источника тепла,
сила и т. п.), сосредоточенной или
приложенной в одной точке.

5.
Построить логарифмические частотные
характеристики (диаграммы Боде) (bode).
ОПР: Логарифмические частотные характеристики (ЛЧХ) включают в себя построенные отдельно на одной плоскости логарифмическую амплитудную характеристику (ЛАЧХ) и логарифмическую фазовую характеристику (ЛФЧХ). Построение ЛАЧХ и ЛФЧХ производится по выражениям: (дБ) и (рад)
ОПР: Логарифмическая амплитудно-фазовая частотная характеристика (ЛАФЧХ или диаграмма Боде) -- представление частотного отклика линейной стационарной системы в логарифмическом масштабе. ЛАФЧХ строится в виде двух графиков: логарифмической амплитудно-частотной характеристики и фазо-частотной характеристики

6. Построить ЛАЧХ (gainplot).
![]()

7. Построить амплитудно-фазовую характеристику (частотный годограф Найквиста) (nyquist).
ОПР: Амплитудно-фазовая частотная характеристика (АФЧХ иначе диаграмма Найквиста) -- удобное представление частотного отклика линейной стационарной динамической системы в виде графика в полярных координатах. На таком графике частота выступает в качестве параметра кривой, фаза и амплитуда системы на заданной частоте представляется углом и длиной радиус-вектора каждой точки характеристики. По сути такой график объединяет на одной плоскости амплитудно-частотную и фазо-частотную характеристики.
--> nyquist (S)

--> nyquist (S1)

--> nyquist (S2)

8. Построить АЧХ и ФЧХ (repfreq, dbphi).
ОПР: АЧХ в теории линейных стационарных систем означает зависимость модуля передаточной функции системы от частоты. АЧХ показывает во сколько раз амплитуда сигнала на выходе системы отличается от амплитуды входного сигнала на всём диапазоне частот.
На графике АЧХ по оси абсцисс откладывается частота, а по оси ординат отношение амплитуд выходного и входного сигналов системы. Обычно для частоты используется логарифмический масштаб, так как исследуемый диапазон частот может изменяться в достаточно широких пределах (от единиц до миллионов Гц или рад/с). В случае, когда логарифмический масштаб используется и на оси ординат, АЧХ превращается в логарифмическую амплитудно-частотную характеристику. АЧХ получила широкое распространение в теории автоматического управления в связи с простотой построения и наглядностью при исследовании систем управления.
ОПР: В теории управления ФЧХ звена определяется из равенства её тангенса отношению мнимой части АФЧХ к действительной:
АЧХ:
![]()
ФЧХ:
![]()
Где: V действительная часть, U мнимая часть;



По графикам можем наблюдать, что фаза будет после короткого периода времени приобретать устойчивое значение, в то время как амплитудное значение сигнала будет продолжать убывать с увеличением частоты.
9.Для W(s) определить вид установившегося выходного сигнала при подаче на вход сигнала x1 (t)=2 sin(10t) . Представить оба сигнала на одном графике (repfreq, dbphi).
Выходной сигнал при подаче на систему синусоидального сигнала 2sin(10t)





10.Проверить устойчивость САУ с помощью критерия Гурвица (det)
ОПР: Критерий устойчивости Рауса-Гурвица -- один из способов анализа линейной стационарной динамической системы на устойчивость, разработанный немецким математиком Адольфом Гурвицем. Наряду с критерием Рауса является представителем семейства алгебраических критериев устойчивости, в отличие от частотных критериев, таких как критерий устойчивости Найквиста. Достоинством метода является принципиальная простота, недостатком - необходимость выполнения операции вычисления определителя, которая связана с определенными вычислительными тонкостями (например, для больших матриц может оказаться значительной вычислительная ошибка).
Для устойчивости линейной САУ по критерию Гурвица необходимо и достаточно, чтобы были положительными n главных определителей матрицы коэффициентов характеристического уравнения заданной системы
![]()
Необходимое условие выполнено: все коэффициенты больше нуля. Проверим достаточное условие.
Для того чтобы динамическая система была устойчива, необходимо и достаточно, чтобы все n диагональных миноров определителя Гурвица были положительны. Эти миноры называются определителями Гурвица.
Теперь вычислим определители Гурвица.
Scilab:
С
учетом выше сказанного можно сделать
вывод, что САУ неустойчива.
11. Проверить устойчивость САУ с помощью критерия Михайлова (и следствия из него) (deff, plot2d).
ОПР: Критерий базируется на поведении кривой, которую описывает конец вектора (X(ω),Y(ω)) замкнутой системы при изменении частоты от 0 до +∞.
Чтобы САР была устойчивой, необходимо и достаточно, чтобы вектор D(jω) при изменении частоты от 0 до +∞ начал движение с точки, лежащей на положительной вещественной оси, и, вращаясь только против часовой стрелки и нигде не обращаясь в нуль, прошел последовательно n квадрантов комплексной плоскости, повернувшись на угол n*р/2, где n - степень характеристического уравнение D(jω)=0. Другими словами требуется, чтобы кривая Михайлова проходила последовательно n квадрантов против часовой стрелки, все время огибая начало координат и уходила в ∞ в том квадранте, номер которого соответствует показателю степени полинома. Если это условие не выполняется, то система является неустойчивой.



(


Исходя из графика, движение вектора не удовлетворяет условию огибания начала координат, значит система неустойчива.
Следствие из критерия устойчивости Михайлова гласит: для устойчивости системы необходимо и достаточно, чтобы корни полиномов X(ω)и Y(ω) чередовались по величине и их общее число (включая ω = 0) было равно степени характеристического уравнения САУ.

это обозначение в команде параметра «-2»
это
обозначение в команде параметра «-3»


Число корней = степени уравнения. Корни полиномов X(j ω) и Y(j ω) перемежаются, значит согласно следствию из критерия Михайлова, данная замкнутая система неустойчива.
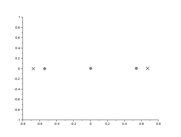
12.Найти полюса и нули передаточной функции разомкнутой системы W(s) и представить их графически (roots, plzr, evans).
--> plzr(S)

Система неустойчива, так как есть корни справа от вещественной оси.
13.Проверить устойчивость САУ с помощью критерия Найквиста (nyquist, mcircle).
ОПР: Данный критерий относится к частотным критериям. Как и критерий Михайлова, критерий Найквиста базируется на АФЧХ разомкнутой системы и дает правила, согласно которым, по виду АФЧХ разомкнутой системы можно судить об устойчивости замкнутой системы. Соответственно существует две формулировки критерия Найквиста, в зависимости от поведения системы в разомкнутом состоянии.
1) Система устойчива в разомкнутом состоянии.
Правило: Если разомкнутая САУ устойчива, то для устойчивости замкнутой системы необходимо и достаточно чтобы АФЧХ разомкнутой системы не охватывала точку с координатами (-1,j0).
2) Система с неустойчивой разомкнутой цепью
Пусть характеристическое уравнение разомкнутой системы имеет n корней с положительной вещественной частью. Тогда для устойчивости замкнутой системы необходимо и достаточно, чтобы АФЧХ разомкнутой системы охватывала критическую точку с координатами (-1,j0) против часовой стрелки на угол nр.
САУ в разомкнутом состоянии не устойчива. Для устойчивости замкнутой системы необходимо и достаточно, чтобы АФЧХ разомкнутой системы охватывала критическую точку с координатами (-1,j0) против часовой стрелки на угол nр.
--> nyquist(S);

Наш график не охватывает данную точку, поэтому наша система неустойчива.
14.Проверить устойчивость САУ с помощью логарифмического критерия устойчивости (bode, g_margin, p_margin).
Определим запасы по амплитуде и по фазе.
ОПР: Логарифмические критерии устойчивости являются следствием критерия Найквиста, поэтому так же позволяют судить об устойчивости замкнутой системы управления по логарифмическим частотным характеристикам разомкнутой системы. Следовательно, здесь так же рассматриваются два случая:
1) Если САР в разомкнутом состоянии устойчива
Для устойчивости замкнутой САР необходимо и достаточно, чтобы точка пересечения фазовой характеристики разомкнутой системы с линией -180° лежала правее частоты среза (точки пересечения ЛАЧХ с осью в 0 дБ).
2) Если САР в разомкнутом состоянии не устойчива
Для устойчивости замкнутой САР необходимо и достаточно, чтобы сумма переходов логарифмической фазовой характеристики разомкнутой системы через критический отрезок была равна n/2 где n - число корней с положительной вещественной частью в знаменателе передаточной функции разомкнутой системы W(p).
--> bode(S)


САУ
в разомкнутом состоянии неустойчива.
Число корней с положительной вещественной
частью в знаменателе передаточной
функции разомкнутой системы n=2
и сумма переходов логарифмической
фазовой характеристики разомкнутой
системы через критический отрезок равна
-1 то по формуле
n/2=1 ≠ -1
Следовательно, САУ неустойчива и в замкнутом состоянии.
15.Определить, при каком значении параметров заданная САУ окажется на границе устойчивости.
Как можно видеть из корневого критерия устойчивости (п.12), ни один из корней нашей системы не равен нулю. Это означает, что наша система с заданными нами коэффициентами неустойчива. Для того, чтобы система стала устойчивой, необходимо подобрать коэффициенты так, чтобы корни из правой части лежали на вещественной оси.