МИНИСТЕРСТВО ОБРАЗОВАНИЯ И НАУКИ РОССИЙСКОЙ ФЕДЕРАЦИИ
ГОСУДАРСТВЕННОЕ ОБРАЗОВАТЕЛЬНОЕ УЧРЕЖДЕНИЕ
ВЫСШЕГО ПРОФЕССИОНАЛЬНОГО ОБРАЗОВАНИЯ
Финансовый университет при Правительстве РФ
Кафедра статистики
РАСЧЕТНО-АНАЛИТИЧЕСКАЯ РАБОТА
по дисциплине "Статистика"
Тема: Сводка и группировка
статистических данных. Построение и анализ рядов распределения
Москва
|
Организация |
Степень износа основных фондов, % |
Объем произведенной продукции, млн. руб. (f (i)) |
|
1 |
42 |
20 |
|
2 |
15 |
15 |
|
3 |
23 |
10 |
|
4 |
18 |
50 |
|
5 |
24 |
68 |
|
6 |
35 |
75 |
|
7 |
17 |
80 |
|
8 |
10 |
49 |
|
9 |
18 |
36 |
|
10 |
13 |
49 |
|
11 |
14 |
43 |
|
12 |
19 |
56 |
|
13 |
8 |
71 |
|
14 |
18 |
22 |
|
15 |
16 |
65 |
|
16 |
30 |
32 |
|
17 |
25 |
26 |
|
18 |
15 |
68 |
|
19 |
17 |
54 |
|
20 |
43 |
|
|
21 |
24 |
21 |
|
22 |
13 |
68 |
|
23 |
14 |
54 |
|
24 |
18 |
43 |
|
25 |
14 |
25 |
На основе данных 10% механической бесповторной выборки о деятельности 25 нефинансовых организаций:
построить группировку организаций по степени износа основных фондов в виде интервалов
N=25 - число единиц совокупности
Xmax=42 - максимальное значение признака в совокупности
Xmin=8 - минимальное значение признака в совокупности
Определим число групп, применив формулу Стерджесса:
Получим:
n=6 - число групп.
Применим равные интервалы, рассчитаем их величину по
следующей формуле:
Получим:
Таблица 1.
Степень износа
основных фондов, %
Количество
организаций (k) (номера организаций)
Средний объем
продукции на одну организацию 8-14,8
8 (8, 10, 11,
13, 14, 22, 23, 25)
47,625
14,8-21,6
10 (2, 4, 7, 9,
12, 14, 15, 18, 19, 24)
48,9
21,6-28,4
4 (3, 5, 17,
21)
31,25
28,4-35,2
2 (6, 16)
53,5
35,2-42
1 (1)
42
Итого:
25
По каждой группе определить
) количество предприятий
см. Таблица 1
) средний объем продукции на одну организацию
Рассчитаем по формуле:
где k - количество организаций.
Все расчеты произведены в программе Excel и приложены к работе.
Представить графическое изображение ряда
Графическое изображение представлено в виде гистограммы и сделано
при помощи программы Excel.
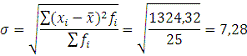
Рассчитать среднее значение, модальное и медианное значение ряда
Таблица 2. Расчет средней арифметической в интервальном
вариационном ряду.
Степень износа
основных фондов, %
Число
организаций
Середина
интервала 8-14,8
8
11,4 8
14,8-21,6
10
18,2
182
18
21,6-28,4
4
25
100
22
28,4-35,2
2
31.8
63,2
24
35,2-42
1
38,6
38,6
25
Итого:
25
475
Используем следующую формулу для расчета среднего значения
ряда:
Найдем:
В интервальном вариационном ряду с равными интервалами мода
исчисляется по формуле:
где По данным Таблицы 2 рассчитаем моду ряда распределения:
В данной совокупности больше всего организаций со степенью износа
основных фондов 16,5 %.
Расчет медианы в интервальном вариационном ряду проводится по
следующей формуле:
где
По данным Таблицы 2 имеем:
Следовательно медианный интервал - "14,8-21,6".
Рассчитаем медиану по приведенной выше формуле.
Таким образом, среди данной совокупности организаций половина
имеет степень износа основных фондов не более, чем на 17, 86 %.
Охарактеризовать форму распределения на основе показателей
асимметрии и эксцесса
Асимметрия распределения возникает вследствие того, что какие-либо факторы действуют в
одном направлении сильнее, чем в другом, или процесс развития явления таков,
что доминирует какая-то причина. Кроме того, природа некоторых явлений такова,
что имеет место асимметричное распределение. Наиболее простой мерой асимметрии
является разность между средней арифметической, модой и медианой:
Проверим данные по коэффициенту асимметрии:
n - численность выборки
Степень износа основных фондов, % Число организаций 8-14,8
8
11,4
57,76
462,08 14,8-21,6
10
18,2
0,64
6,4
-5,12
21,6-28,4
4
25
36
144
864
28,4-35,2
2
31,8
163,84
327,68
4194,3
35,2-42
1
38,6
384,16
384,16
7529,5
Итого:
25
1324,32
9070,9
Степень износа основных фондов, % Число организаций 8-14,8
8
11,4
26689,74
14,8-21,6
10
18,2
4,096
21,6-28,4
4
25
5184
28,4-35,2
2
31,8
53687,09
35,2-42
1
38,6
147578,9
Итого:
25
233143,826
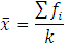
Определить степень однородности распределения
Для определения степени однородности рассчитаем коэффициент
вариации:
На основе полученных данных следует сделать вывод, что
распределение близко к однородному.
определить степень зависимости объема произведенной продукции
от степени износа основных фондов;
Найдем эмпирическое корреляционное отношение:
где Все значения найдены в программе Excel.
Степень износа основных фондов, % Число организаций Средний объем продукции на одну организацию 8-14,8
8 47,62
29,0322
14,8-21,6
10
18,2
48,9
101,124
21,6-28,4
4
25
31,25
837,5236
28,4-35,2
2
31,8
53,5
121,0568
35,2-42
1
38,6
42
13,8384
Итого:
25
1102,575
Сделать выводы
В данной совокупности больше всего организаций со степенью
износа основных фондов 16,5 %.
На основе полученных данных следует сделать вывод, что
распределение близко к однородному.
Таким образом, среди данной совокупности организаций половина
имеет степень износа основных фондов не более, чем на 17, 86 %.
Cтепень зависимости объема произведенной продукции от степени
износа основных фондов умеренная.
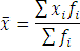
Для изучаемых значений группировочного признака первого
задания рассчитать:
среднее значение выборочной средней
интервал износ основной фонд
Степень износа основных фондов, % Число организаций Середина
интервала 8-14,8
8
11,4
91,2
129,96
1039,7
14,8-21,6
10
18,2
182
331,24
3312,4
21,6-28,4
4
25
100
625
2500
28,4-35,2
2
31,8
63,2
1011,24
2022,5
35,2-42
1
38,6
38,6
1489,96
1490
Итого:
25
475
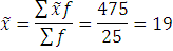
10365 Определим по формуле:
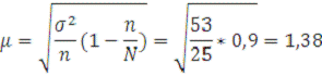
Определим дисперсию признака в выборочной совокупности
предельную ошибку выборки с уровнем вероятности 0,954
P=0,954, тогда t=2
То есть с вероятностью 0,954 величина генеральной средней не
более чем на +-2,76 % будет отклоняться от выборочной средней.
предельные значения генеральной средней
Сделайте выводы
С вероятностью 0,954 величина генеральной средней не более
чем на +-2,76 % будет отклоняться от выборочной средней.
В 954 случаях из 1000 средний уровень степени износа основных
фондов будет не ниже 16,24% и не выше 21,949%.
![]()
![]()
- объем произведенной продукции, млн. руб.;
![]()
Произведение вариантов на частоты ![]()
Накопленные частоты ![]()
![]()
- средний износ основных фондов (%) в расчете на одну
организацию.
![]()
- нижняя граница модального интервала;
![]()
- величина интервала;
![]()
- частота интервала, предшествующего модальному;
![]()
- частота модального интервала;
![]()
, ![]()
, ![]()
![]()
- правосторонняя асимметрия
![]()
(взвешенное)
Середина интервала ![]()

3,320155-3=0,32
Середина интервала ![]()

=0,33 - связь между признаками умеренная.
![]()
- межгрупповая дисперсия
![]()
; ![]()
![]()
;
Середина интервала ![]()
![]()
Задание 2.
Выборочный метод
![]()
Произведение вариантов на частоты ![]()
![]()
,