![]()
.
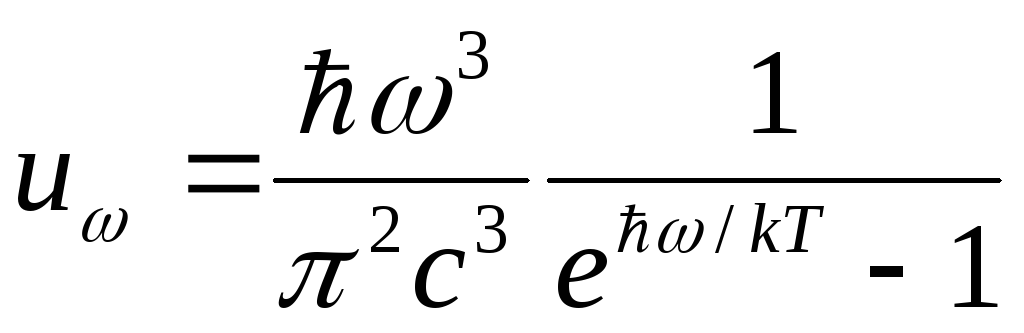
Вернемся
к формуле (1.9), графики которой при разных
температурах
представлены на рис.1.4, где T
<
Т2
< Т3.
Площадь
под каждой из этих кривых равна полной
плотности энергии u
при
соответствующей температуре. Выясним,
как эта величина
зависит от Т.
Для
этого представим
(1.9) в виде:
,
где
F
—
функция, вид
которой
до открытия Планка был неизвестен.
В таком виде формула была получена
Вином
и получила название формулы Вина. Тогда:
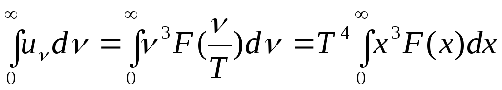
u=
,
здесь введена новая временная х = /T. Последний интеграл представляет собой некоторую постоянную a , и мы приходим к выводу, что
u=aT
.
Вместо
плотности энергии излучения
u
удобнее
пользоваться понятием энергетической
светимости
,
которая
выражает поток энергии излучения с
единицы
поверхности по всем направлениям в
пределах телесного
угла 2.
Можно показать, что обе эти величины
связаны соотношением
Тогда
.
Эта
формула и выражает закон Стефана-Больцмана.
Здесь
- постоянная Стефана-Больцмана, знак
означает, что величина вычисляется для
абсолютно черного тела. С помощью формулы
Планка
можно найти ее зависимость от постоянных
с,
h,
k
и
ее числовое
значение:
=
5.6710![]()
Вт/(м
K
)
.
Если в стенках полости с равновесным тепловым излучением (фотонным газом) сделать небольшое отверстие, то можно экспериментально исследовать спектральный состав выходящего через это отверстие излучения. Это было проделано для разных температур полости. Результаты оказались в прекрасном соответствии с формулой Планка и законом Стефана-Больцмана.
При
теоретических исследованиях спектральный
состав излучения удобнее характеризовать
по частотам,
в экспериментальных же - по длинам волн.
Имея в
виду соотношение ud
=-u
d,
и
= с/,
запишем:
u
=
- u![]()
=
F(λT)
=
.
Наличие
знака минус в исходной формуле связано
с тем, что с ростом
частоты (d>0)
длина волны уменьшается (
).
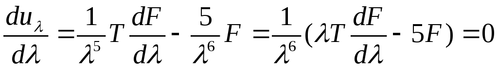
Найдем
теперь длину волны т,
соответствующую
максимуму
функции
Это
значит, надо решить уравнение
.
Выражение в скобках есть некоторая функция Ф(Т). При длине волны т
соответствующей
максимуму функции u
,
функция Ф(Т)
должна
обратиться в нуль: Ф(тТ)
= 0.
Решение последнего
уравнения приводит к некоторому значению
b
величины
тТ
. Таким
образом, можно записать, что Tт=b
. Это
и есть закон смещения Вина.
Значение
постоянной b
можно
найти экспериментально или с помощью
формулы Планка:
b=0,29
смK
.
С ростом температуры длина волны т уменьшается, а значит, частота m увеличивается, как показано на рис.1.4. Заметим только, что m с/т , поскольку m соответствует распределению по частотам, а т - по длинам волн.
Закон Кирхгофа
(2.1)
п
озволяет
найти спектральную лучеиспускательную
способность серого тела
,
если известен его материал, а, следовательно,
известна спектральная лучепоглощательная
способность
(определяется экспериментально в
светотехнических лабораториях и
указывается в таблицах или графиках
(рис.2.2). Такая постановка задачи имеет
практическую целесообразность.
Решение
ряда научных и практических задач
связано с измерением температуры
нагретых тел методами пирометрии.
Информацию о величине температуры
получают из анализа светового потока
нагретых тел. Для решения задачи требуется
надежная связь между температурой
нагретых тел и распределением энергии
в спектре их излучения. Излучательные
характеристики тел зависят не только
от материала, но и от состояния его
поверхности. К настоящему времени
накоплен большой фактический материал
об излучательных свойствах различных
материалов. Для практических целей
широкое применение нашел вольфрам. Для
видимой и ближней инфракрасной области
спектра надежной аналитической формулы
для
в литературе не приведено, поэтому надо
пользоваться экспериментальными данными
. Значения
для вольфрама приведены на рис. 2.2 и в
приложениях П.1 и П.2. Для вольфрама. в
справочных таблицах приводится не
спектральная лучепоглощательная
способность, а спектральный коэффициент
излучения
.
Тогда выражение (2.1) принимает вид:
.
(2.2)
При
проведении учебного эксперимента
возможна постановка обратной задачи,
когда по измеряемой спектральной
лучеиспускательной способности тела
и известной его спектральной
лучепоглощательной способности
согласно закону Кирхгофа определяют
спектральную лучеиспускательную
способность черного тела
.
Таким образом, измеряя спектральную
лучеиспускательную способность вольфрама
несложно определить спектральную
лучеиспускательную способность черного
тела, т.е. «проверить» формулу Планка
(1.9).
Спектральная
лучеиспускательная способность
нагретого
тела может быть измерена методами
спектроскопии с помощью экспериментальной
установки, изображенной на рис.2.3.
Включить установку в сеть тумблером 1 «Сеть».
Включить лампу тумблером 2 «Лампа».
Тумблер
3 «Накал» установить в положение 0.
Установить переключатель светофильтров
4 в положение 1 соответствующее первому
светофильтру (
).
Установить предел измерений мультиметра
20В по шкале DCV.
Убедиться, что мультиметр 5 показывает
0.
Поставить
тумблер 3 в положение 1, снять показания
мультиметра 5, соответствующее значению
для
данной температуры нагретого тела
(вольфрамового волоска лампы). Показания
занести в табл.1.
Вращением переключателя 4 установить следующий светофильтр, повторить измерения.
Поставить тумблер 3 в следующее положение. Снять показание мультиметра для всех светофильтров и занести их в табл. 1.
Повторить
п.4 – 6 не менее 3-х раз, рассчитать
среднее значение
.
Выставить последовательно напряжение питания лампы ( 0 – 0 В, 1 – 2 В, 2 – 4 В, 3 – 6 В, 4 – 8 В, 5 – 10 В и измерить показания мультиметра для всех положений светофильтра. Показания занести в таблицу 1.
Таблица 1.
|
Длина волны Напряжение Лампы |
№ оп |
600 нм
|
1000 нм
|
1300 нм
|
1600 нм
|
2000 нм
|
Нейтр. С/Ф |
|
12 В |
1 |
|
|
|
|
|
|
|
2 |
|
|
|
|
|
|
|
|
3 |
|
|
|
|
|
|
|
|
ср |
|
|
|
|
|
|
|
|
10 В |
1 |
|
|
|
|
|
|
|
2 |
|
|
|
|
|
|
|
|
3 |
|
|
|
|
|
|
|
|
ср |
|
|
|
|
|
|
|
|
И т.д |
|
|
|
|
|
|
|

Рис.2.3. Блок-схема установки
3-фотоприемник, 4-мультиметр.
Интерференционный светофильтр из всего спектра излучения выделяет узкую область спектра, определяемую его полосой пропускания. Фотоприемник преобразует оптический сигнал в электрический. При исследовании спектров излучения нагретых тел необходимо проводить измерения не только в видимой области спектра, но и в инфракрасной. Тогда можно использовать тепловой приемник РТН, в котором температура приемной площадки измеряется набором термопар. Мультиметр измеряет термо-ЭДС приемника. Показания мультиметра пропорциональны величине светового потока, прошедшего через интерференционный светофильтр, т.е. зависят как от полуширины спектрального пропускания , так и коэффициента спектрального пропускания светофильтра . Перепишем (2.1) в виде :
.
(2.3)
Для проведения
абсолютных метрологических измерений
величин световых потоков такая установка
должна быть откалибрована в метрологической
лаборатории по эталонной лампе с
известными излучательными характеристиками.
Часто в качестве эталонной лампы
используется лампа с ленточным телом
накаливания, изготовленным, например,
из вольфрама.
Рис.2.4. Зависимость интегрального коэффициент излучения вольфрама от температуры.
Экспериментальная установка УКЛО – 4Б снабжена необходимыми электроизмерительными приборами. На передней панели (рис.2.5) расположены мультиметр 1, переключатель «накал» 2, осуществляющий регулировку режимов вольфрамовой лампы (позиции «0» соответствует выключенная лампа, тумблер включения лампы 3 – «лампа» с индикацией, тумблер включения установки «сеть» 4 с индикацией, в прорезь видна регулируемая диафрагма со светофильтрами 5, позиции 1 соответствует интерференционный светофильтр с длиной волны 600 нм, позиции 2 - интерференционный светофильтр с длиной волны 1000 нм, позиции 3 - интерференционный светофильтр с длиной волны 1300 нм , позиции 4- интерференционный светофильтр с длиной волны 1600 нм, позиции 5 - интерференционный светофильтр с длиной волны 2000 нм, позиции 6 - нейтральный светофильтр . В установке используется вольфрамовая лампочка номинальным напряжением питания 12В и мощностью 50Вт. Предусмотрено уменьшение напряжения питания ступенями по 2В.