Федеральное агентство по образованию
ГОУ ВПО Рыбинская государственная авиационная
технологическая академия им. П. А. Соловьева
Кафедра Общей и технической физики
Лаборатория «Статистическая физика и термодинамика»
на заседании методического
семинара кафедры физики
« » _________ 2007 г.
Зав.каф. Пиралишвили Ш.А.
ЛАБОРАТОРНЫЕ РАБОТЫ
ПО СТАТИСТИЧЕСКОЙ ФИЗИКЕ И ТЕРМОДИНАМИКЕ
ЛАБОРАТОРНАЯ РАБОТА №CТ-3
Изучение спектра излучения нагретого вольфрама
Методическое руководство
разработано доц. Суворовой З.В.,
ассистентом Попковой Е.А. Рецензент Шувалов В.В.
Рыбинск, 2007 г.
УКАЗАНИЯ ПО
ТЕХНИКЕ БЕЗОПАСНОСТИ
К работе с прибором допускаются лица, ознакомленные с устройством, принципом работы и прошедшие инструкцию по технике безопасности.
Прибор имеет подключение к электрической сети. Соблюдайте формы электробезопасности и требования инструкции №4 по технике безопасности. Не включайте прибор в сеть, пока не ознакомитесь с его конструкцией и основными требованиями к работе с ним.
Цель работы: исследование распределения по энергиям фотонов (бозе-частиц) в спектре нагретого тела.
В квантовой физике, как и в статистической, закономерности имеют вероятностный, статистический характер. Однако есть и принципиальное отличие: в квантовой физике статистический (вероятностный) подход лежит в самой природе микрочастиц, в их волновых свойствах.
Согласно квантовой теории все микрочастицы подразделяют на два класса, которым соответствуют различные квантовые статистики:
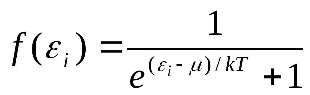
- частицы с полуцелым спином называются фермионами и подчиняются статистике Ферми-Дирака;
- частицы с целым спином — бозоны подчиняются статистике Бозе-Эйнштейна.
Других возможностей квантовая теория не допускает. Нет частиц, подчиняющихся классической статистике Больцмана. Последняя является приближенным предельным случаем, в который переходят при определенных условиях эти две квантовые статистики. Физическая природа различия этих двух квантовых статистик вытекает из принципа неразличимости тождественных частиц, согласно которому существуют два типа волновых y -функций, описывающих состояние тождественных частиц, — симметричные и антисимметричные.
Во всех трех статистиках (классической, Бозе -Эйнштейна и Ферми-Дирака) допустимые микросостояния считаются равновероятными. Но различие их — в способах определения микросостояний и статистических весов. В статистике Больцмана считается, что даже тождественные частицы принципиально различимы. В квантовых же статистиках, наоборот, считается, что тождественные частицы принципиально неразличимы.
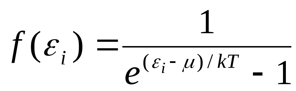
В статистике Ферми-Дирака в каждом квантовом состоянии может находиться не более одной частицы (принцип Паули), а в статистике Бозе - Эйнштейна - любое число частиц.
Различие статистик поясняет табл.1.1, где показано как в каждой из них размещаются две тождественные частицы а и b по трем квантовым состояниям (клеткам). Видно, что в статистике Больцмана всех микросостояний девять и вероятность каждого из них равна 1/9.В статистиках же Бозе-Эйнштейна и Ферми-Дирака состояния в первых трех парах распределения Больцмана неразличимы, и каждая пара рассматривается как одно состояние. Частицы а и b принципиально неразличимы, поэтому они обозначены просто точками. Для бозонов число
микросостояний равно шести, и вероятность каждого из них 1/6. Для фермионов последние три распределения статистики Бозе -Эйнштейна невозможны (принцип Паули). Остается только три микросостояния, и вероятность каждого из них равна 1/3.
Основная задача квантовых статистик - это нахождение соответствующих им функций распределения частиц по тем или иным параметрам (например, по энергиям), а также определение средних значений этих параметров, характеризующих наиболее вероятное макросостояние всей системы частиц.
Таблица
1.1

Для описания состояния системы частиц рассматривают воображаемое шестимерное пространство, каждая точка которого характеризуется шестью координатами: х, у, z, рх, рy, рz. Это так называемое фазовое пространство. Состояние системы определяется тем, как распределены в этом пространстве точки, изображающие состояния всех N частиц системы. При этом нужно учесть присущий частицам корпускулярно-волновой дуализм, согласно которому неопределенности координаты х и соответствующей проекции импульса рх могут быть определены только с неопределенностью dx и dрх, произведение которых, согласно принципу неопределенностей Гейзенберга, dxdpx³ h. Аналогично и для других пар: y и ру, z и рz. Поэтому естественно считать, что данному состоянию частицы в фазовом пространстве соответствует не точка, а фазовая ячейка, объем которой
.
(1.1)
Распределение частиц по таким фазовым ячейкам есть предельно подробное квантовое описание состояния системы.
Квантовые
распределения представляют
собой функции
,
определяющие
средние числа частиц в одной
фазовой
ячейке с энергией
,
или
функции заполнения ячеек:
для
фермионов
,
(1.2)
для
бозонов
. (1.3)
Здесь m - так называемый химический потенциал (некоторая характерная энергия, значение которой можно найти из условия нормировки: суммарное число частиц во всех фазовых ячейках должно быть равно полному числу N частиц макросистемы).
Остановимся подробнее на особенностях этих распределений.
Для
фермионов функция
не
может быть больше единицы,
а для бозонов ее значение может быть
любым (
³0).
Если
<<1,
то в знаменателях обоих распределений
можно пренебречь
единицей, и формула переходит в
,
(1.4)
т.е.
в распределение Больцмана (А
— нормировочный коэффициент).
Значит, классическое распределение
Больцмана справедливо лишь тогда,
когда малы «числа заполнения» фазовых
ячеек,—
при условии <
>
<<
1. В этом случае речь
идет о совпадении формул,
а
отнюдь не о том, что изменяется
поведение частиц (фермионы остаются
фермионами, бозоны
— бозонами).
В
макросистеме уровни энергии
частиц
квазинепрерывны
(расположены очень плотно). Поэтому
индекс i
у
можно
опустить.
Для
бозонов значения m
в (1.3) не могут быть положительными,
иначе при
<
m
окажется, что
< 0,
а это лишено физического смысла.
Таким образом, для бозонов m
<
0. У макросистем с переменным числом
бозонов (к числу которых относятся,
например, фотоны) m
= 0, и формула (3) переходит в
.
(1.5)
Для фермионов подобного ограничения не существует.
До
сих пор мы имели дело с функцией
,
характеризующей
среднее число частиц с энергией
e
в
одной фазовой ячейке. Для дальнейших
целей необходимо
найти число
фазовых
ячеек, в интервале энергий
.
Чтобы
определить
,
найдем
сначала соответствующий объем
dL
фазового шестимерного пространства.
Для этого в импульсной
части фазового пространства выделим
шаровой слой радиусом,
равным импульсу p
частицы,
и толщиной
.
Его объем
равен
.
Умножив его на объем
координатной
части
фазового пространства (это объем
макросистемы), получим искомый
элемент объема
фазового
пространства:
.
(1.6)
Число
фазовых
ячеек в этом элементе объема получим,
разделив
на объем одной фазовой ячейки, равный
согласно
(1.1). Кроме того, в дальнейшем нас будет
интересовать число
фазовых ячеек, приходящихся на единицу
объема обычного пространства,
поэтому будем считать, что
= 1.
Таким образом,
число фазовых ячеек в расчете на
единицу объема, занимаемого
газом, будет равно
.
(1.7)
Эта
величина имеет размерность м![]()
Переход от импульсов к энергиям зависит от природы частиц. Это будет конкретизировано в дальнейшем.
Зная
число
фазовых
ячеек в интервале
энергий
и
среднее число частиц в каждой ячейке,
т.е. функцию заполнения f,
мы можем найти число частиц
dn
в данном интервале энергий (в расчете
на единицу объема
газа):
(1.8)
где g — числовой коэффициент порядка единицы, связаный со спецификой частиц идеального газа.
Равновесное тепловое излучение в замкнутой полости представляет собой совокупность стоячих электромагнитных волн с дискретными частотами. Попытки теоретически объяснить наблюдаемое распределение спектральной плотности излучения по частотам с классической точки зрения оказались несостоятельными и породили так называемую «проблему теплового излучения». В 1900 г. она была решена Планком путем введения в процесс взаимодействия излучения с веществом идеи квантования.
Э
йнштейн
сделал следующий шаг. Он предположил,
и это подтвердилось экспериментом, что
само излучение представляет
собой фотонный
газ, газ
идеальный. У фотонов спин равен единице.
Значит это бозоны, а они подчиняются
статистике Бозе-Эйнштейна.
Число фотонов в полости не сохраняется, оно зависит от температуры. А для систем с переменным числом бозонов химический потенциал = 0, и функция (1.3) принимает вид (1.5), т.е.
.
Для фотонов = h и р=h/c, поэтому число квантовых состояний (фазовых ячеек) в интервале частот (, +d) в расчете на единицу объема фотонного газа равно согласно (1.7)
.
Графики функций f и dZ/d для фотонного газа представлены на рис. 1.1 и 1.2. Следует обратить внимание на то, что обе функции ведут себя с ростом частоты взаимно противоположно: f убывает, a dZ/d растет.
В соответствии с формулой (1.8) число фотонов с частотами в интервале (, + d) равно
![]()
.
Коэффициент 2 появился в связи с двумя независимыми поляризациями излучения во взаимно перпендикулярных плоскостях. Другими словами, он указывает на две возможные поперечные поляризации фотона. Напомним, что в случае электронов этот коэффициент учитывал две возможные «ориентации» спина электрона.
График распределения фотонов по частотам, т.е. dn/d, показан на рис.1.3.
П
лощадь
под кривой равна полному числу n
фотонов в расчёте на единицу объёма
фотонного газа.
Теперь перейдем к спектральной плотности энергии излучения (фотонного газа): u = du/d, где du = h dn. В результате получим формулу Планка:
.
(1.9)
При переходе от и h к циклической частоте = 2 и надо учесть, что ud = ud. Тогда формула Планка приобретает вид: