Материал: Сравнительный статистический анализ динамики цен на рынке первичного и вторичного жилья в России

Внимание! Если размещение файла нарушает Ваши авторские права, то обязательно сообщите нам

Существуют различные виды временных рядов. Их можно классифицировать по следующим признакам:

. По способу выражения уровней ряда:

·        ряды абсолютных величин;

·        ряды относительных величин;

·        ряды средних величин.

. По способу представления хронологии:

·        моментные ряды;

·        интервальные ряды.

В моментных временных рядах уровни ряда выражают состояние явления на определенный момент времени (начало месяца, квартала, года и т.п.). Например, численность населения Российской Федерации на 1 января каждого года. В интервальных временных рядах уровни ряда выражают состояние явления за определенные интервалы времени (за месяц, за квартал, за год и т.п.). Например, ежемесячная выручка от реализации туристического продукта. Отдельные уровни интервального временного ряда можно суммировать. Отдельные уровни моментного временного ряда содержат элементы повторного счета, поэтому их суммирование бессмысленно.

. По расстоянию между уровнями:

·        временные ряды с равноотстоящими уровнями во времени;

·        временные ряды с неравноотстоящими уровнями во времени;

Ряды динамики следующих друг за другом периодов или следующих через определенные промежутки дат называют равноотстоящими. Если же в рядах даются прерывающиеся периоды или неравномерные промежутки между датами, то ряды называются неравноотстоящими.

. По наличию основной тенденции в ряду:

·        стационарные временные ряды;

·        нестационарные временные ряды.

Стационарным называется временной ряд, если математическое ожидание значения признака и дисперсия постоянны, не зависят от времени.

Нестационарные временные ряды имеют некоторую тенденцию развития.

. По числу показателей:

·        изолированные временные ряды;

·        многомерные временные ряды (комплексные).

Если ведется анализ во времени одного показателя, то ряд динамики изолированный. В многомерном ряду представлена динамика нескольких показателей, характеризующих одно явление.

Анализ рядов динамики начинается с определения того, как именно изменяются уровни ряда (увеличиваются, уменьшаются или остаются неизменными) в абсолютном и относительном выражении. Чтобы проследить за направлением и размером изменений уровней во времени, для рядов динамики рассчитывают показатели изменения уровней ряда динамики:

абсолютное изменение (абсолютный прирост);

относительное изменение (темп роста);

темп изменения (темп прироста).

Все эти показатели могут определяться базисным способом, когда уровень данного периода сравнивается с первым (базисным) периодом, либо цепным способом - когда сравниваются два уровня соседних периодов.

Базисное абсолютное изменение представляет собой разность конкретного и первого уровней ряда, определяется по формуле


Оно показывает, на сколько (в единицах показателей ряда) уровень одного (i-того) периода больше или меньше первого (базисного) уровня, и, следовательно, может иметь положительное значение (при увеличении уровней) или отрицательное (при уменьшении уровней).

Цепное абсолютное изменение представляет собой разность конкретного и предыдущего уровней ряда, определяется по формуле


Оно показывает, на сколько (в единицах показателей ряда) уровень одного (i-того) периода больше или меньше предыдущего уровня, и может иметь положительное или отрицательное значение.

Базисное относительное изменение (базисный темп роста или базисный индекс динамики) представляет собой соотношение конкретного и первого уровней ряда, определяясь по формуле:


Цепное относительное изменение (цепной темп роста или цепной индекс динамики) представляет собой соотношение конкретного и предыдущего уровней ряда, определяясь по формуле:


Относительное изменение показывает во сколько раз уровень данного периода больше уровня какого-либо предшествующего периода (при t>1) или какую его часть составляет (при t<1). Относительное изменение может выражаться в виде коэффициентов, то есть простого кратного отношения (если база сравнения принимается за единицу), и в процентах (если база сравнения принимается за 100 единиц) путем домножения относительного изменения на 100%.

Темп прироста показывает, на какую долю (или процент) данный уровень ряда больше (или меньше) предыдущего или базисного.

Темп прироста базисный:


Темп прироста цепной:


Одна из задач анализа временных рядов состоит в выявлении сезонности. К сезонным относят все явления, которые обнаруживают в своем развитии отчетливо выраженную закономерность внутригодичных изменений, т.е. устойчиво повторяющиеся из года в год колебания уровней. К задачам исследования сезонности относят следующие:

·        определение наличия сезонных колебаний;

·        выявление их силы и характера в различных фазах годичного цикла;

·        характеристика факторов, вызывающих сезонные колебания;

·        математическое моделирование сезонности;

·        оценка экономических последствий, к которым приводит наличие сезонных колебаний.

Наиболее распространенным методом изучения сезонности является расчет индексов сезонности. Индексы сезонности являются показателями, характеризующими результаты сравнения фактических уровней данного месяца или квартала с расчетными уровнями. На практике используются различные методики расчета индексов сезонности, например, в качестве расчетного уровня может быть использовано среднее значение.

Индивидуальные индексы сезонности характеризуют сезонность в границах конкретного года:


где

Isi - индивидуальный индекс сезонности i-го месяца или квартала в t-м

году;ti - фактические уровни ряда;

 - средний уровень ряда.

Общие ( средние) индексы сезонности характеризуют устойчивую

тенденцию сезонности для нескольких лет. Для каждого месяца или квартала рассчитывается средняя величина уровня за ряд лет ( рекомендуется для анализа брать не менее трех лет).

Затем рассчитывается средняя величина для всего ряда. В заключении определяется процентное отношение средних для каждого месяца или квартала к общему среднему уровню ряда:

 - общий индекс сезонности;tin -среднее значение для каждого месяца или квартала за анализируемый период;

 - общий средний уровень за анализируемый период.

Одной из важнейших задач статистического анализа рядов динамики является выявление и описание основной тенденции развития изучаемого явления.

Тенденция - это объективно существующее свойство того или иного процесса, которое лишь приближенно описывается трендом определенного вида.

Тренд - это представление тенденции развития в форме той или иной монотонной кривой.

Для выявления и измерения общей тенденции развития изучаемого явления необходимо абстрагироваться от влияния на уровень ряда несуществующих факторов. Достичь этого позволяют приемы сглаживания или выравнивания динамического ряда.

Существует около десятка критериев проверки наличия тренда. Рассмотрим некоторые из них.

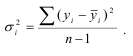
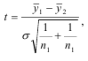
Ряд динамики разбивается на две равные или почти равные части. Проверяется гипотеза о существовании разности средних : Н0: у1 = у2 . Так как число членов анализируемого ряда, как правило, мало, то для проверки гипотезы воспользуемся теорий малой выборки. За основу проверки берется tα - критерий Стьюдента. При t ≥ tα гипотеза об отсутствии тренда отвергается и наоборот при t < или = tα гипотеза (Н0) принимается. Здесь t - расчетное значение, найденное для анализируемых данных. tα - табличное значение критерия при уровне вероятности ошибки, равном α. В случае равенства или при несущественном различии дисперсий двух исследуемых совокупностей (σ12 =σ22 ) определение расчетного значения t производится по зависимости

,

где у1 и у2 средние для первой и второй половины ряда динамики;и n2 - число наблюдений в этих рядах;

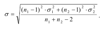
σ - среднеквадратическое отклонение разности средних, определяемое по зависимости


Дисперсии для первой и второй частей ряда рассчитываются по зависимости


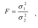
Проверка гипотезы о равенстве дисперсий осуществляется с помощью F -критерия, основанного на сравнении расчетного отношения с табличным. Расчетное значение критерия определяется по формуле


Если расчетное значение F меньше табличного, при заданном уровне значимости то гипотеза о равенстве дисперсий принимается.

Если F больше, чем табличное значение, то гипотеза о равенстве дисперсий отклоняется и зависимость для расчета t не пригодна для использования.

При выполнении условия о равенстве дисперсий, определяется значение tα и проверяется гипотеза (Н0). При этом теоретическое значение tα определяется с числом степеней свободы равным n1 + n2 -2

Рассмотренный метод дает положительные результаты для рядов с монотонной тенденцией. Когда же ряд динамики меняет общее направление развития, то точка поворота тенденции оказывается близкой к середине ряда. Поэтому средние двух отрезков будут близки, а проверка может не показать наличие тенденции.

Является одним из наиболее простых методов непосредственного выявления основной тенденции. При использовании этого метода ряд динамики, состоящий из мелких интервалов, заменяется рядом, состоящим из более крупных интервалов.

Так как на каждый уровень исходного ряда влияют факторы, вызывающие их разнонаправленное изменение, то это мешает видеть основную тенденцию. При укрупнении интервалов влияние факторов нивелируется, и основная тенденция проявляется более отчетливо. Расчет среднего значения уровня по укрупненному интервалу осуществляется по формуле простой средней арифметической.

Недостатком этого способа является то, что сокращается число уровней ряда, а это не позволяет учитывать изменения внутри укрупненного интервала. К его преимуществам можно отнести сохранение природы явления.

Заключается в том, что вычисляется средний уровень из определенного числа первых по порядку уровней ряда, затем - средний уровень из такого же числа уровней, начиная со второго, далее - начиная с третьего и т. д.

Таким образом, при расчетах среднего уровня как бы «скользят» по ряду динамики от его начала к концу, каждый раз отбрасывая один уровень в начале и добавляя один следующий. Отсюда название - скользящая средняя.

Основное отличие от предыдущего метода состоит в том, что уровни, входящие в интервал усреднения суммируются с различными весами, так как аппроксимация в пределах интервала сглаживания осуществляется с использованием уровней, рассчитанных по полиному n -го порядка


где i - порядковый номер уровня интервала сглаживания.

Кривые роста, описывающие закономерности развития явлений во времени, получают путём аналитического выравнивания динамических рядов. Выравнивание ряда с помощью тех или иных функций (то есть их подгонка к данным) в большинстве случаев оказывается удобным средством описания эмпирических данных, характеризующих развитие во времени исследуемого явления. Это средство при соблюдении ряда условий можно применить и для прогнозирования. Процесс выравнивания состоит из следующих основных этапов:

выбора типа кривой, форма которой соответствует характеру изменения динамического ряда;

определения численных значений (оценивание) параметров кривой;

апостериорного контроля качества выбора тренда.

Найденная функция позволяет получить выровненные, или, как их иногда называют, теоретические значения уровней динамического ряда, то есть те уровни, которые наблюдались бы, если бы динамика явления полностью совпадала с кривой. Эта же функция с некоторой корректировкой или без неё, применяется и для экстраполяции.

Вопрос о выборе типа кривой является основным при выравнивании ряда. При всех прочих равных условиях ошибка в решении этого вопроса оказывается более значимой по своим последствиям (особенно для прогнозирования), чем ошибка, связанная со статистическим оцениванием параметров.

Весьма распространенным приемом выявления формы тренда является графическое изображение временного ряда. Но при этом весьма велико влияние субъективного фактора, даже при отображении выровненных уровней. Наиболее надежные методы выбора уравнения тренда основаны на свойствах различных кривых, применяемых при аналитическом выравнивании. Такой подход позволяет увязать тип тренда с теми или иными качественными свойствами развития явления.

Итак, рассмотрим следующие типы уравнений тренда:

1.      Линейная форма:

;

2.      Параболическая (полином 2-ой степени):

;

3.      Логарифмическая форма тренда:

=a0 +a1 lnt ,

4.      Мультипликативная (степенная) форма:

;

5.      Полином 3-ей степени:

;

где  - уровень ряда, полученный в результате выравнивания по прямой,

 - начальный уровень тренда;

, ,  - константы тренда.[10]

2. Применение статистических методов для анализа динамики развития цен на первичном и на вторичном рынках жилья РФ за 2000 - 2014 г.г.

.1 Визуализация данных

Перед тем как переходить непосредственно к анализу данных, необходимо предварительно выбрать факторы, которые на первый взгляд могут оказывать влияние на цены на жилье. Для исследования были взяты данные Росстата[9]. Для исследования были выбраны следующие обозначения:

Price (Y) -Средняя цена на первичном рынке жилья по Российской Федерации на конец периода, рублей за 1 квадратный метр общей площади

Nedostr (X1) - количество недостроенных зданий на конец года

Postr (X2) - всего построено, млн м^2