Материал: Создание холодильного предприятия для хранения мяса вместимостью 340 тонн

Внимание! Если размещение файла нарушает Ваши авторские права, то обязательно сообщите нам

в) Коридор;

г) Камера 3;

д) Рампа;

·        Проверочный расчет;

 = 500 Вт/м2 - удельный теплоприток на площадь м2 помещения;

[2, прил. 35]

·        Суммирование Q4;

а) На оборудование;

Полностью включаются эксплуатационные теплопритоки;

Q4об = ∑ Q4;

б) На общий компрессор;

Принимают одновременно возникающие эксплуатационные теплопритоки;

Q - на камере, в коридоре, в рампе;

 - от всех помещений;

 - от двух погрузчиков;

Q4осв - на камере, в коридоре, в рампе;

Q4двери - на камере, в рампе;

Q для общего компрессора;

Стены;

С=> 0;

В=> Qmax = 199,45 Вт;

Ю=> Qmax = 352,7 Вт; - берем по южной стене при суммирование;

З=> Qmax = 239,23 Вт;



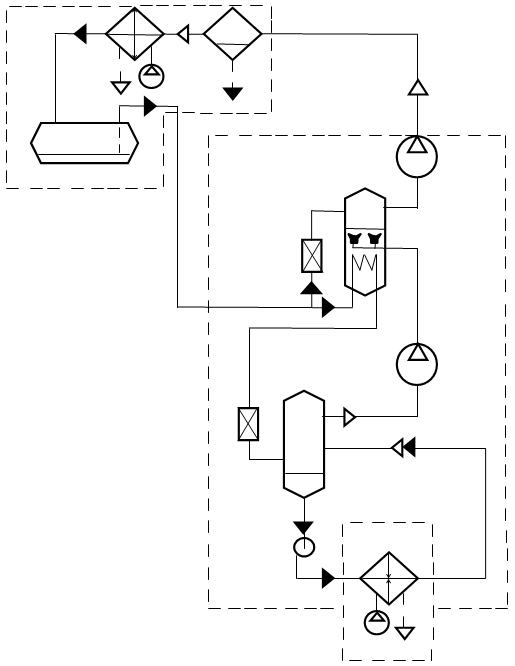
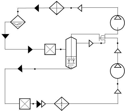
4. Расчет двухступенчатого холодильного цикла


Принимаем цикл с двухступенчатым сжатием, промежуточным охлаждением в промсосуде и однократным дросселированнием хладагента.

Рисунок 7 Схема двухступенчатой холодильной установки

Рисунок 8 Цикл двухступенчатой холодильной установки

·        Выбираем параметры цикла;

= θ = (3 ÷ 5) К;

оС;

 = (7÷10) К;

 оС;

 оС;  = (5÷7) К;

 оС;

pк = 15,8 МПа; pо = 1,2 МПа;


π > 8 => следовательно перейдем к двухступенчатому циклу;

tm = 0 оС;

 = (5÷10) К при

 = (10÷15) К при

оС;

оС;

оС;

оС;

·        Удельная холодопроизводительность;

 

 

·        Удельная теплота конденсации;

 


·        Удельные работы на сжатие;


·        Холодильный коэффициент;

·       


·        Степень сжатия;

·       


 1 Параметры точек цикла


1

2

3

4

5

6

6’

7

8

P,МПа

0,12

0,44

0,435

1,58

1,58

0,435

0,435

1,58

0,12

t, оС;

-20

68

10

103

38

0

0

5

-30

i,кДж/кг

1440

1625

1490

1675

375

375

200

230

230

1

0,42

0,3

0,11

0,04

0,001566

0,001583

0,125


Строим цикл в p-i диаграмма состояния аммиака.Параметри точек цикла сводим в таблицу 3(см.Приложения А1)

 

 

. Подбор оборудования


5.1 Подбор компрессоров


Выбираем сальниковые (открытые) компрессоры;

·        Определяем расчётную холодопроизводительность компрессора;


 - общая тепловая нагрузка на компрессоре;

 = 1,02 ÷ 1,12 - коэффициент, учитывающий потери во всасывающем трубопроводе (нагрев, гидравлические потери и расширение пара в трубе);

b - коэффициент рабочего времени;

b = 0,76 ÷ 0,95 - для крупных установок;

·        Массовый расход хладагента;


·        Объемный расход хладагента;

     = ;

·        Теоретическая объемная подача компрессора;


·        Выбираем поршневой компрессор; [4]

Марка: RCU412E;

Фирма: Grasso;

Количество: 2 - 1 рабочий, 1 для резервирования;

 = 768 м3/ч при n = 1450 об/мин;

Длина: L = 2900 мм;

Высота: Н = 1700 мм;

Ширина: В = 1400 мм;

·        Рассчитаем компрессор для второй ступени;

·       

     = ;

Выбираем поршневой компрессор; [4]

Марка: RCU212E;

Фирма: Grasso;

Количество: 2 - 1 рабочий, 1 для резервирования;

 = 310 м3/ч при n = 1171 об/мин;

Длина: L = 2350 мм;

Высота: Н = 1400 мм;

Ширина: В = 1300 мм;

·        Проверка подобранных компрессоров;

а) Баланс на промсосуде;


Баланс промсосуда строго не выполняется.

Для первой ступени;

холодильник теплоизоляционный конденсатор компрессор

 

·        Проверка установленной мощности;

Nдв > Nе; Nдв > 54,28 кВт;


Nдв > Nе; Nдв > 60,4 кВт;

5.2 Подбор воздухоохладителей


·        Выбираем тип воздухоохладителей;

Потолочные подвесные;

·        Выбираем материалы для хладагента;

Вещество: аммиак (R717);

Материалы: стальные трубы;

·        Выбор количество воздухоохладителей;

4 - для большой камеры;

по 2 - для маленьких камер;

- для рампы;

- для коридора;

·        Выбор шаг оребрения;

t0 < -20, тогда шаг принимаем больше 10 мм;

Шаг принимаем 12 мм; [5]

·        Площадь воздухоохладителя для камеры 3;

 = 7÷10 К;  = 49855,3 Вт;

 - рассчитывается из каталога [4] по формуле:

Принимаем типоразмер GHP 065B/116

= 10 К

 =46,1 м2

 = 12,9 кВт


·        Требуемая расчетная площадь для камеры 3;

·       

 

·        Выбираем воздухоохладитель для камеры 3; [5]

Типоразмер: GHP080C/116;

Номинальная мощность: Q = 27,2 кВт;

Поверхность: 96,4 м2;

Производительность по воздуху: 16600 м3/ч;

Длина факела вентилятора: 33 м;

Количество вентилятора: 1;

Длина: L = 1960 мм;

Ширина: В = 1236 мм;

Высота: Н = 1263 мм;

Объем труб: V = 64,1 л;

Вес: М = 482 кг;

·        Площадь воздухоохладителя для камеры 1, 2;

Типоразмер: GHP065C/112;

Δtм = 10 К;

F = 73,9 м2;

Q = 19,4 кВт;



·        Требуемая расчетная площадь для камеры 1, 2;


·        Выбираем воздухоохладитель для камеры 1, 2; [5]

Типоразмер: GHP080С/112;

Номинальная мощность: Q = 34,0 кВт;

Поверхность: 123,5 м2;

Производительность по воздуху: 16200 м3/ч;

Длина факела вентилятора: 32 м;

Количество вентилятора: 1;

Длина: L = 1960 мм;

Ширина: В = 1236 мм;

Высота: Н = 1263 мм;

Объем труб: V = 64 л;

Вес: М = 526 кг;

·        Площадь воздухоохладителя для коридора;

Шаг оребрения принимаем 5мм; [5]

Типоразмер: GHP045E/15;

Δtм = 10 К;

F = 56,5 м2;

Q = 12,7 кВт;


·        Требуемая расчетная площадь для коридора;

 

·        Выбираем воздухоохладитель для коридора; [5]

Типоразмер: GHP065A/15;

Номинальная мощность: Q = 22,5 кВт;

Поверхность: 98,8 м2;

Производительность по воздуху: 8700 м3/ч;

Длина факела вентилятора: 21 м;

Количество вентилятора: 1;

Длина: L = 1660 мм;

Ширина: В = 762 мм;

Высота: Н = 1005 мм;

Объем труб: V = 22,4 л;

Вес: М = 342 кг;

·        Площадь воздухоохладителя для рампы;

Типоразмер: GHP065А/15;

Δtм = 10 К;

F = 98,8 м2;

Q = 22,5 кВт;


·        Требуемая расчетная площадь для рампы;

 

·        Выбираем воздухоохладитель для рампы; [5]

Типоразмер: GHP080A/15;

Номинальная мощность: Q = 39,7 кВт;

Поверхность: 165,1 м2;

Производительность по воздуху: 17100 м3/ч;

Длина факела вентилятора: 34 м;

Количество вентилятора: 1;

Длина: L = 1960 мм;

Ширина: В = 1006 мм;

Высота: Н = 1245 мм;

Объем труб: V = 38,6 л;

Вес: М = 515 кг;

·        Определяем общую вместимость по хладагенту;

Для камеры 3;


Для камеры 1, 2;


Для коридора;


Для рампы;


·        Проверяем допустимые рабочие параметры;

Tmin < Tраб <Tmax; Tраб = -40 ÷ 45 оС;

Pmax = 25 Бар;

Способ оттайки: горячими парами хладагента.

5.3 Подбор конденсатора


Выбираем воздушные конденсаторы.

·        Тепловая нагрузка на конденсатор;


·        Выбираем два конденсатора для обеспечения резервирования;



·        Расчетная тепловая нагрузка на конденсатор; [6]


 = 0,75 при tk = 40 оС; tн.р = tв1 = 29 оС; берем с каталога [6]

 = 0,99;

 = 0,96 при tгор.пара = t4 = 103 оС;

1,2 - 20 процентов запаса для частичного резервирования;

·        Выбираем конденсатор; [6]

Фирма: Güntner;

Типоразмер: AGVH080.1B/3L;

Номинальная мощность: Q = 230,9 кВТ;

Расход воздуха: 48000 м3/ч;

Общее потребление электроэнергии: 2,8 кВт;

Уровень звукового давления - 54 дБА;

Количество секции - 22;

Количество ножек - 4

Исполнения - 3;

Длина: L= 6900 мм;

Ширина: В = 1141 мм;

Высота: Н = 1480 мм;

5.4 Подбор линейного ресивера


·        Определяем вместимость ресивера для крупных аммиачных установок по формуле, учитывая 25 % запаса;


 - суммарная вместимость испарительной системы

+


·        Выбираем линейный вертикальный аммиачный ресивер; [7]

Типоразмер: AGBV250;

Фирма: Güntner;

Объем: V = 250 л;

Длина: L = 2140мм

Ширина: В=295 мм;

Вес: М = 240 кг;

Смотровые стекла - 3;

Расположения - 1, 2, 3;

Сварное соединения;

5.5 Расчет трубопроводы


Трубопроводы холодильной установки рассчитываем по рекомендуемой скорости движения среды.

а) Всасывающая аммиачная паровая труба (низкого давления) компрессора первой ступени;

·        Массовый расход в трубе;

·        Объемный расход в трубе;

 

 =

·        Диаметр трубы;


 - скорость движения в трубе; [1, таблица 6.1]

·        Выбираем стальную бесшовную трубу диаметром; [2, прил. 62]

 108 х 4 мм;

·        Действующая скорость движения в трубе;


б) Нагнетательная аммиачная паровая труба (высокого давления) компрессора первой ступени;

·        Массовый расход в трубе;

·        Объемный расход в трубе;

 

 =

·        Диаметр трубы;

·        Выбираем стальную бесшовную трубу диаметром;

 76 х 3,5 мм;

·        Действующая скорость движения в трубе;


в) Всасывающая аммиачная паровая труба (низкого давления) компрессора второй ступени;

·        Массовый расход в трубе;

·        Объемный расход в трубе;

 

 =

·        Диаметр трубы;

·        Выбираем стальную бесшовную трубу диаметром;

·        76х 3,5 мм;

·        Действующая скорость движения в трубе;

г) Нагнетательная аммиачная паровая труба (высокого давления) компрессора второй ступени;

·        Массовый расход в трубе;

·        Объемный расход в трубе;

 

 =

·        Диаметр трубы;

·        Выбираем стальную бесшовную трубу диаметром;

 38 х 2,0 мм;

·        Действующая скорость движения в трубе;

д) Жидкостная аммиачная труба (высокого давления) после конденсатора;

·        Массовый расход в трубе;

·        Объемный расход в трубе;

 

 =  = 1,583 10-3 м3/кг; [3]

·        Диаметр трубы;

·        Выбираем стальную бесшовную трубу диаметром;

 38 х 2,0 мм;

·        Действующая скорость движения в трубе;


е) Жидкостная аммиачная труба (низкого давления) после насоса в испаритель;

·        Массовый расход жидкости в трубе;

 = 6 ÷ 12;

·        Объемный расход в трубе;

 =  = 1,459 10-3 м3/кг; [3]

·        Диаметр трубы;

·        Выбираем стальную бесшовную трубу диаметром;

 57 х 3,5 мм;

·        Действующая скорость движения в трубе;


ж) Аммиачная парожидкостная труба возврата из испарителя в циркуляционный ресивер (низкого давления); [1, страница 219]

·        Массовый расход жидкости в трубе;

 = 6 ÷ 12;

·        Находим величину Х по формуле; [1]

·       


 [3]

Δpсм/Δpп = 5,43 при Х = 0,276;

·        Диаметр трубы двухфазной смеси (парожидкостной смеси);

 - диаметр трубы, что предположительно по трубе протекает только пар;


·        Выбираем стальную бесшовную трубу диаметром;

 273х 8 мм;

·        Действующий диаметр ;


·        Действующая скорость движения в трубе;



6. Описание схемы холодильной установки

Данная холодильная установка предназначена для поддержания определенных низких температур. Холодильная установка включает в себя испарительную систему, где необходимо поддерживать температуру кипения to и низкое давление ро для определенного хладагента. Получение наиболее низкой температуры приводит к увеличению значения отношения рк0 и к трем нежелательным явлениям: увеличению температуры нагнетания компрессора, возрастанию объемных потерь в компрессоре и увеличению дроссельных потерь в регулирующем вентиле, что вызывает уменьшение холодопроизводительности установки.

При рк0 >8 приходится применять многоступенчатое сжатие, в нашем случае двухступенчатое, в котором участвуют два поршневых компрессора. Для того чтобы ограничить роста температуры нагнетания, первой ступени сжатия дополнительно охлаждается в промсосуде. После испарителя и перед компрессором первой ступени устанавливают циркуляционный ресивер, как показано на схеме, что позволяет в первую очередь обеспечивать подачу хладагента в испаритель и к тому защищает компрессор от гидравлического удара.

После сжатия в компрессоре первой ступени, пар поступает в промсосуд, где дополнительно охлаждается, барботируя через слой жидкости. Выходя из промсосуда, пар перегревается во всасывающем трубопроводе перед компрессором второй ступени (высокого давления) и в перегретом состоянии поступает в него. После сжатия в компрессоре второй ступени до давления конденсации рK, пар конденсируется в конденсаторе , после чего жидкость высокого давления разделяется на два потока . Основной поток поступает в змеевик промсосуда, где переохлаждается, отдавая теплоту жидкости, и в состоянии переохлаждения поступает через регулирующий вентиль РВ2 в испаритель. Другой поток жидкости дросселируется в РВ1 от рK до промежуточного давления рпр и поступает в промежуточный сосуд.

Маслоотделители предназначены для отделения масла, уносимого холодильным агентом из компрессора. Масло увлекается агентом, как в виде капель, так и в парообразном состоянии. Уменьшение масляной пленки приводит к повышению эффективности теплообменных аппаратов. Линейные ресиверы предназначены для компенсации различия в заполнении испарительного оборудования жидкостью при изменении тепловой нагрузки. Они освобождают конденсатор от жидкости и создают равномерный поток жидкого агента к регулирующему вентилю. Линейный ресивер устанавливают между конденсатором и регулирующим вентилем. Постоянно поддерживаемый уровень жидкого холодильного агента является гидравлическим затвором, который препятствует перетеканию пара высокого давления в испаритель. Линейный ресивер является хорошим сборником воздуха и масла. Насосы холодильных установок предназначены для циркуляции охлаждающей воды в оборотных системах водоснабжения, промежуточного хладоносителя (рассол или ледяная вода), а также жидкого аммиака в насосно-циркуляционных системах. Для жидкого аммиака применяют специальные аммиачные бессальниковые насосы.

Заключение

В результате проведенной работы было рассмотрено камерное оборудова-ние для охлаждения и хранения рыбы. Произведены расчеты, по которым было выбрано оборудование для создания и поддержания заданных усло-вий:

Компрессоры: фирмы Grasso марка RCU412E и RCU212E

Воздухоохладители: фирмы GUNTNER тип GHP 080С/112 ,GHP 080D/112 и GHP065A/15

Конденсаторы: фирмы GUNTNER тип AGVH090.1B/2N

Линейный ресивер: фирмы Güntner тип Z0434/1:L

 

Список использованной литературы


1.      Курылев Е.С., Оносовский В.В., Румянцев Ю.Д. “ Холодильные установки” - СПб: Политехника, 1999. - 576 с.

.        Бараненко А.В., Калюнов В.С., Румянцев Ю.Д. “Практикум по холодильным установкам”. - СПб: Профессия, 2001. - 272 с.

.        Богданов С.Н., Бурцев С.И., Иванов О.П., Куприянова А.В. ”Холодильная техника. Кондиционирование воздуха: Справ./ Под ред. С.Н. Богданов. 4-е изд., перераб. и доп. - СПб.: СПбГАХПТ, 1999. - 320 с.

.        Каталог фирмы Grasso «Компрессоры поршневые»;

.        Каталог фирмы GUNTNER «Конденсаторы воздушные аммиачные »;

.        Каталог фирмы GUNTNER «Ресиверы аммиачные»;

.        СП 109.13330.2012. Холодильники;

.        131.13330.2012. Строительная климатология;

Приложения


Холодильная установка с двухступенчатым сжатием, промежуточным охлаждением в промсосуде и однократным дросселированнием хладагента. Схема функцанальная