Материал: Создание алгоритма поиска высокоинформативных диагностических признаков заболеваний молочных желез и построение на их основе алгоритма классификации

Внимание! Если размещение файла нарушает Ваши авторские права, то обязательно сообщите нам

Исследование больной проводится в горизонтальном положении, обнаженной по пояс с целью охлаждения кожных покровов, руки под головой. Кожные покровы пациентки охлаждаются естественным путем, за то время когда заполняется регистрационная карта.

Обследование начинается с измерения глубинных температур в опорных точках Т1 и Т2.

Т1 - точка, находящаяся в центре грудной клетки сразу под и между молочными железами. Важная точка, температура в которой должна быть выше или равна средней температуре по обеим молочным железам, если в молочных железах нет патологических изменений.

Т2 - точка, находящаяся непосредственно под мечевидным отростком [12].

Далее измерения проводились в 10 точках на каждой железе, включая аксиллярную область. Схема измерений представлена на рис. 1.

Рисунок 1 - Схема обследования молочных желез.

         - центральный отдел;

         - граница верхних квадрантов;

         - верхний внутренний квадрант;

         - граница внутренних квадрантов;

         - нижний внутренний квадрант;

         - граница нижних квадрантов;

         - нижний внешний квадрант;

         - граница внешних квадрантов;

         - верхний внешний квадрант.

Данные по температуре обрабатываются и могут быть отображены на мониторе или принтере в следующих видах: в виде термограммы, в виде полей температур.

Температура воздуха в помещении влияет на температуру кожи. Поэтому в помещении должна поддерживаться температура 20-25єС, а желательным диапазоном является 21-23єС. Перед началом обследования температура кожи пациента должна принять стабильное значение, для этого пациент должен некоторое время (ориентировочно 10 минут) адаптироваться к окружающей температуре. При исследовании внутренней температуры нет необходимости в применении каких-либо веществ, улучшающих контакт рабочей поверхности антенны с кожей, как это принято при ультразвуковых исследованиях. Достаточно, чтобы антенна прилегала к коже всей рабочей поверхностью.

В ходе исследований и анализе данных специалистами был выявлены характерные признаки рака молочной железы [1]:

.        повышенная величина термоасимметрии между одноименными точками молочных желез;

.        повышенный разброс температур между отдельными точками в пораженной молочной железе;

.        повышенная дисперсия разности температур между железами;

.        разница температур сосков;

5.      повышенная температура соска в пораженной молочной железе по сравнению со средней температурой молочной железы с учетом возрастных изменений температуры;

.        соотношение кожной и глубинной температур;

.        повышенное значение осцилляции температур в областях;

.        повышенная разница температур опорной точки Т1 и точек молочной железы.

Важно, также отметить характерные проявления разных форм рака молочной железы при РТМ-диагностике [1]. Для внутрипротоковой формы рака характерно значительное (1-1,5°С) повышение температуры соска и значительная (1°С) термоасимметрия в одной из точек (см. Рис.2).

Рисунок 2 - Карта температур молочных желез при внутрипротоковой формы

При отечно-инфильтративной форме рака характерно повышение температуры большей части пораженной молочной железы на 1-1,5°С (см. Рис. 3).

Рисунок 3 - Карта температур молочных желез при отечно-инфильтративной форме рака

Этот признак сходен с РТМ - признаками, проявляющимися при остром мастите, однако безвредность РТМ-обследования позволяет при подозрении на острый мастит провести консервативное лечение последнего и сравнить результаты РТМ - обследований в динамике (см. Рис. 4).

а) до лечения

Рисунок 4 - б) после лечения

Для женщин с преобладанием жировой ткани в молочной железе, свойственна пониженная средняя температура молочной железы по сравнению со средней температурой для женщин данного возраста и рак характеризуется существенной термоасимметрией (более 1,0°С) и значительным повышением температуры соска. Для женщин с повышенной температурой молочных желез рак в 37% случаев характеризуется незначительной термоасимметрией (около 0,50С). Это наиболее сложные случаи для диагностики [1].

Глава 3. Экспертная база данных


В результате исследований, проведенных в течение последних нескольких лет, была создана база термометрических данных пациенток. На ее основе формировалась обучающая выборка (экспертная база данных).

База данных включает в себя следующую информацию о пациентах:

·        возраст;

·        номер протокола, дата обследования;

·        анамнез;

·        диаметр молочной железы;

·        данные о менструальном цикле (менопауза, нет менструального цикла, длительность цикла);

·        молочная железа (левая, или правая);

·        температуры молочных желез и опорных точек, снятые датчиками ИК и РТМ в положении лежа на спине руки под головой.

В процессе исследования происходило постоянное пополнение и уточнение базы данных и, соответственно, обучающей выборки.

База данных включает в себя информацию о молочных железах пациенток в возрасте от 17 до 88 лет. Она была разделена на два класса:

·        класс "Здоровые" - молочные железы здоровых пациенток;

·        класс "Больные" - молочные железы больных пациенток.

Последний в свою очередь делится в соответствии с наличием той или иной патологии следующим образом:

·        данные здоровых молочных желез больных пациенток;

·        данные молочных желез с наличием раковой опухоли стадии 0-1;

·        данные молочных желез с наличием раковой опухоли стадии 2;

·        данные молочных желез с наличием раковой опухоли стадии 3-4;

·        данные молочных желез с наличием фиброаденомы;

·        данные молочных желез с наличием фибросклероза;

·        данные молочных желез с наличием фиброзно-кистозной мастопатии;

·        данные молочных желез с наличием прочих нарушений таких, как гематома, гинекомастия, фиброаденоматоз.

Проверка базы данных проходила в три этапа. На первом этапе база данных была проверена экспертами, и были удалены недостоверные данные. На втором этапе была осуществлена проверка на наличие, так называемых, "орфографических" ошибок. Данные проверялись:

·        на неправильный ввод числового значения (число не должно содержать буквы и символы);

·        на неправильный формат вводимого числа (то есть число должно иметь формат "00.0");

Третьим этапом, осуществлялась проверка на допустимость значений, в частности соответствие техническим требованиям аппаратной части диагностического комплекса.

После уточнения всех показателей, была окончательно сформирована обучающая выборка. На май 2014 года она включала в себя информацию о 550 молочных железах пациенток в возрасте от 17 до 88 лет. Выборка была разделена на два контрольных класса: здоровые (80 молочных желез) и молочных желез больных пациенток (470 молочных желез). Последние делятся на следующие классы:

·        данные здоровых молочных желез больных пациенток (126 молочных желез);

·        данные больных молочных желез больных пациенток (140 молочных желез) и данные пациенток группы риска (206 молочных желез), которые в свою очередь делятся в соответствии с преобладанием того или иного нарушения следующим образом:

•        данные молочных желез с наличием раковой опухоли стадии 0-1 (35 молочных желез);

•        данные молочных желез с наличием раковой опухоли стадии 2 (71 молочных желез);

•        данные молочных желез с наличием раковой опухоли стадии 3-4 (25 молочных желез);

•        данные молочных желез с наличием фиброаденомы (58 молочных желез);

•        данные молочных желез с наличием фибросклероза (28 молочных желез);

•        данные молочных желез с наличием фиброзно-кистозной мастопатии (80 молочных желез);

•        данные молочных желез с наличием прочих нарушений таких, как гематома, гинекомастия, фиброаденоматоз (47 молочных желез).

Глава 4. Влияние физиологических факторов на данные комбинированной термометрии


Цель исследования - сравнение влияния возраста, количества беременностей и родов, возраста на момент первых родов, продолжительности менструальных циклов на значение ИК и РТМ температур молочной железы. А также определить степень зависимости температурных изменений в молочной железе от диаметра железы, температуры в аксиллярной области и в опорных точках на теле пациентки, которые программа обследования предлагает измерить перед обследованием собственно железы (табл. 1).

Таблица 1 - Вопросы и дополнительные измерения, предшествующие измерению температуры собственно молочной железы

Анамнестические вопросы

Дополнительные измерения

возраст пациентки

диаметр молочной железы

количество беременностей

ИКТ в аксиллярной области

количество родов

РТМ в аксиллярной области

возраст на момент первых родов

ИКТ в контрольных точках (Т1 и Т2)

продолжительность менструального цикла

РТМ в контрольных точках (Т1 и Т2)


Материалы и методы исследования. Для достижения цели мы провели обследование молочных желез здоровых женщин (40 женщин (80 молочных желез)), женщин с доброкачественными заболеваниями молочных желез, в так называемых группах риска (103 женщины (206 молочных желез)), и пациенток со злокачественными онкологическими заболеваниями. Причем в последней группе был проведен анализ данных как по больной железе (133 женщины (140 молочных желез)), так и по здоровой железе больных пациенток (126 женщин (126 молочных желез)). Все женщины были обследованы с использованием радиотермометрического компьютеризированного комплекса РТМ-01-РЭС (ООО "Фирма РЭС"), принцип действия которого основан на измерении собственного электромагнитного излучения тканей в микроволновом диапазоне (глубинная температура) и инфракрасном диапазоне (температура кожи).

Все женщины перед термометрическим обследованием прошли УЗ обследование и маммографию. Для подтверждения диагноза злокачественного образования проводилось гистологическое исследование.

В основе исследования связи между признаками лежат статистические методы, основанные на вычислении выборочного коэффициента корреляции и на проверке гипотез о его значимости. При этом большинство параметрических критериев проверки статистических гипотез предполагает нормальность распределения выборочных данных. Поэтому первым шагом при изучении взаимосвязи исследуемых признаков является проверка нормальности распределения исходных числовых данных: это температурные измерения радиотермометрического обследования в девяти точках, расположенных на молочной железе, а также измерение температуры в аксиллярной области и в контрольных точках на теле пациентки. При этом для проверки выборочных распределений на принадлежность к нормальному распределению были использованы как приближенный метод, основанный на вычислении выборочных коэффициентов асимметрии и эксцесса, так и более точный метод проверки согласованности - критерий согласия Пирсона [7].

Критерий согласия Пирсона вычисляется по следующей формуле:


где n - число элементов выборки (в нашем случае n=550), k - число интервалов разбиения выборки, mi - число значений выборки, попавших в i-й интервал, pi - теоритическая вероятность попадания значения случайной величины в i-й интервал.

Число интервалов находится по формуле Стерджесса:


где n - число элементов выборки (в нашем случае n=550).

Величина χ2 имеет распределение χ2 с k-3 степенями свободы. Значение χ2 сравнивалось с критическими значениями, и на оснавании этого делалось заключение о вероятности события [7].

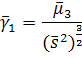
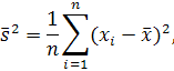
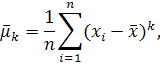
Другой метод проверки выборочных распределений на принадлежность нормальному распределению основан на свойстве равенства нулю коэффициентов асимметрии и эксцесса нормально распределенных случайных величин. Приближенными значениями коэффициента асимметрии  и коэффициента эксцесса  выборки являются значения, найденные по следующим формулам:


где n - число элементов выборки (в нашем случае n=550), xi - значение выборки.

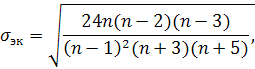
В качестве допустимых границ отклонения приближенных значений от нуля обычно используют средние квадратические отклонения, вычисляемые по формулам:


где n - число элементов выборки.

Таким образом, если найденное значение  принадлежит интервалу (-σас; σас), то можно считать, что теоритическая величина γ1=0; если найденное значение  принадлежит интервалу (-σэк; σэк), то можно считать, что теоритическая величина γ2=0.

Равенство нулю коэффициентов асимметрии и эксцесса γ1 и γ2 подтверждает справедливость гипотезы о нормальном распределении случайной величины, а отличие от нуля γ1, γ2 - высказанную гипотезу опровергает [7].

На втором шаге для непосредственного изучения взаимосвязи признаков был выбран метод исследования ранговой корреляции Спирмена. В основе его лежит вычисление коэффициентов ранговой корреляции Спирмена  по формуле:

,

где , а xi и yi () - ранги исходных объектов, записанные по исследуемым признакам [4].

Результаты и их обсуждение. В результате проверки полученных измерений радиотермометрического обследования при помощи критерия согласия Пирсона получили следующие результаты:

Таблица 2 - Диапазон измерения - РТМ

№ точки

0

1

2

3

4

5

6

7

8

9

χ2

39,6

20,8

17,1

16,9

12,1

17,7

23,6

11,1

11,2

23,2

Степень свободы

8

17

14

14

13

15

16

16

13

12

Вероятность события

0

0,2

0,25

0,25

0,55

0,25

0,1

0,8

0,55

0